20+ Bài tập trắc nghiệm Phép cộng các phân thức đại số lớp 8 (có đáp án)
Với bài tập trắc nghiệm Phép cộng các phân thức đại số lớp 8 có lời giải chi tiết sẽ giúp học sinh ôn tập, biết cách làm bài tập trắc nghiệm Phép cộng các phân thức đại số
20+ Bài tập trắc nghiệm Phép cộng các phân thức đại số lớp 8 (có đáp án)
(199k) Học Toán 8 KNTTHọc Toán 8 CTSTHọc Toán 8 CD
Bài 1: Với B ≠ 0, kết quả phép cộng là?
Lời giải
Quy tắc: Muốn cộng hai phân thức cùng mẫu thức ta cộng các tử thức với nhau và giữ nguyên mẫu thức.
Đáp án cần chọn là: B
Bài 2: Chọn khẳng định đúng?
Lời giải
Muốn trừ phân thức
với phân thức đối của
Đáp án cần chọn là: C
Bài 3: Phân thức đối của phân thức là?
Lời giải
Phân thức đối của phân thức .
Đáp án cần chọn là: A
Bài 4: Phân thức đối của phân thức là?
Lời giải
Phân thức đối của phân thức .
Đáp án cần chọn là: A
Bài 5: Kết quả thu gọn nhất của tổng là?
Lời giải
Đáp án cần chọn là: C
Bài 6: Thực hiện phép tính sau:
A. -x
B. 2x
C. x/2
D. x
Lời giải
Ta có: .
Đáp án cần chọn là: D
Bài 7: Phân thức là kết quả của phép tính nào dưới đây?
Lời giải
Đáp án cần chọn là: D
Bài 8: Biểu thức x - 2 là kết quả của phép tính nào dưới đây?
Lời giải
Ta có:
Đáp án cần chọn là: B
Bài 9: Kết quả của tổng là?
Lời giải
Đáp án cần chọn là: B
Bài 10: Kết quả của tổng là?
Lời giải
Đáp án cần chọn là: D
Bài 11: Phép tính có kết quả là?
Lời giải
Đáp án cần chọn là: A
Bài 12: Phép tính có kết quả là?
Lời giải
Đáp án cần chọn là: B
Bài 13: Kết quả gọn nhất của phép tính là một phân thức có tử thức là?
A. 2x2 + 5x - 4
B.
C. 2x2 - 4x - 4
D. 2x2 - 5x - 4
Lời giải
Đáp án cần chọn là: D
Bài 14: Điền vào chỗ trống: .
Lời giải
Phân thức cần tìm là:
Đáp án cần chọn là: C
Bài 15: Chọn câu đúng?
Lời giải
Đáp án cần chọn là: C
Bài 16: Chọn câu đúng?
Lời giải
Đáp án cần chọn là: D
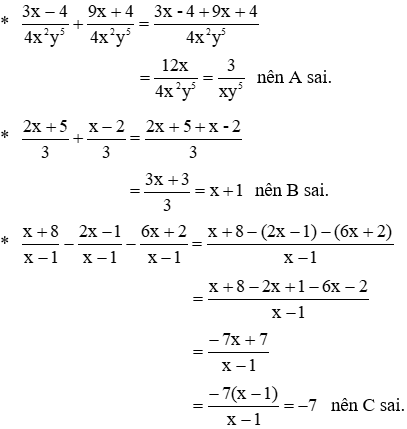
Bài 17: Chọn câu sai?
Lời giải
Đáp án cần chọn là: B
Bài 18: Chọn câu sai?
Lời giải
Đáp án cần chọn là: B
Bài 19: Thực hiện phép tính ta được kết quả gọn nhất là?
Lời giải
Đáp án cần chọn là: C
Bài 20: Thu gọn biểu thức ta được?
Lời giải
Đáp án cần chọn là: D
Bài 21: Thu gọn biểu thức ta được?
Lời giải
Điều kiện: x ≠ 1.
Đáp án cần chọn là: A
Bài 22: Cho . Sau khi thu gọn hoàn toàn thì B có tử thức là:
Lời giải
Ta có:
Đáp án cần chọn là: A
Bài 23: Cho . Sau khi thu gọn hoàn toàn thì D có tử thức là?
Lời giải
Đáp án cần chọn là: B
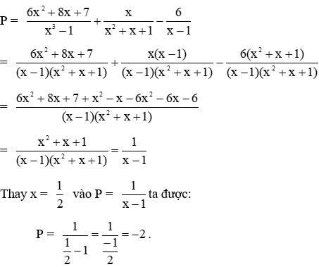
Bài 24: Giá trị của biểu thức với x = 2018 là?
Lời giải
Ta có:
Đáp án cần chọn là: B
Bài 25: Giá trị của biểu thức là?
Lời giải
Ta có:
Đáp án cần chọn là: A
Bài 26: Kết luận nào sau đây là đúng khi nói về giá trị của các biểu thức với x = -2?
A. B > 0.
B. B < -1.
C. B < 0.
D. B > 1.
Lời giải
Ta có:
Đáp án cần chọn là: C
Bài 27: Kết luận nào sau đây là đúng khi nói về giá trị của biểu thức
với x = -0,25?
A. M = 16.
B. M > 1.
C. M < 0.
D. 0 < M < 1.
Lời giải
Ta có:
Đáp án cần chọn là: D
Bài 28: Cho 3y - x = 6. Tính giá trị của biểu thức .
A. 3
B. 4
C. 1
D. 2
Lời giải
Ta có 3y - x = 6 ta suy ra x = 3y - 6. Thay x = 3y - 6 vào ta được
Đáp án cần chọn là: B
Bài 29: Cho 2a - b = 7; . Tính giá trị của biểu thức
A. 3
B. 4
C. 1
D. 2
Lời giải
Ta có 2a - b = 7 ta suy ra b = 2a - 7. Thay b = 2a - 7 vào ta được:
Đáp án cần chọn là: D
Bài 30: Tìm a, b sao cho .
Lời giải
⇒ ax - a + bx + b = 1 ⇔ x(a + b) - a + b - 1 = 0 với mọi x
Đáp án cần chọn là: D
Bài 31: Tìm a, b sao cho ?
A. a = 3, b = 1.
B. a = -3, b = 1.
C. a = 3, b = -1.
D. a = -3, b = -1.
Lời giải
Vậy a = 3, b = 1
Đáp án cần chọn là: A
Bài 32: Tìm a + b biết ?
A. -2.
B. 1.
C. -1.
D. 2.
Lời giải
Suy ra a + b = 1 + (-2) = -1
Đáp án cần chọn là: C
Bài 33: Cho . Số thích hợp điền vào chỗ trống là?
A. 16
B. 8
C. 4
D. 20
Lời giải
Vậy số cần điền là 16.
Đáp án cần chọn là: A
Bài 34: Kết quả của bài toán là?
Lời giải
Đáp án cần chọn là: A
Bài 35: Tìm P biết .
Lời giải
ĐK: x ≠ 1.
Đáp án cần chọn là: D
Bài 36:
Lời giải
ĐK: x ≠ {-2; 2; 3}.
Đáp án cần chọn là: B
Bài 37: Cho a, b, c thỏa mãn abc = 2017. Tính giá trị biểu thức sau:
A. Q = -1
B. Q = 0
C. Q = 2
D. Q = 1
Lời giải
Thay 2017 = abc vào biểu thức Q ta có:
Vậy Q = 1.
Đáp án cần chọn là: D
Bài 38: Cho x; y; z khác ± 1 và xy + yz + xz = 1. Chọn câu đúng?
Lời giải
Ta có:
Đáp án cần chọn là: C
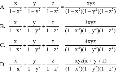
Bài 39: Cho = 0 và x + y + z ≠ 0.
Tính giá trị của biểu thức
?
A. 3
B. 0
C. 2
D. 1
Lời giải
Hay A = 1.
Đáp án cần chọn là: D
(199k) Học Toán 8 KNTTHọc Toán 8 CTSTHọc Toán 8 CD
Xem thêm các bài tập trắc nghiệm Toán lớp 8 có đáp án chi tiết hay khác:
- Trắc nghiệm Phép cộng các phân thức đại số
- Trắc nghiệm Phép nhân các phân thức đại số
- Trắc nghiệm Biến đổi các biểu thức hữu tỉ. Giá trị của phân thức
- Top 24 Bài tập Phân thức đại số (có lời giải)
Xem thêm các loạt bài Để học tốt Toán lớp 8 hay khác:
Tủ sách VIETJACK shopee lớp 6-8 (2025):
Đã có app VietJack trên điện thoại, giải bài tập SGK, SBT Soạn văn, Văn mẫu, Thi online, Bài giảng....miễn phí. Tải ngay ứng dụng trên Android và iOS.
Theo dõi chúng tôi miễn phí trên mạng xã hội facebook và youtube:Loạt bài Lý thuyết & 700 Bài tập Toán lớp 8 có lời giải chi tiết có đầy đủ Lý thuyết và các dạng bài có lời giải chi tiết được biên soạn bám sát nội dung chương trình sgk Đại số 8 và Hình học 8.
Nếu thấy hay, hãy động viên và chia sẻ nhé! Các bình luận không phù hợp với nội quy bình luận trang web sẽ bị cấm bình luận vĩnh viễn.
- Giải Tiếng Anh 8 Global Success
- Giải sgk Tiếng Anh 8 Smart World
- Giải sgk Tiếng Anh 8 Friends plus
- Lớp 8 - Kết nối tri thức
- Soạn văn 8 (hay nhất) - KNTT
- Soạn văn 8 (ngắn nhất) KNTT
- Giải sgk Toán 8 - KNTT
- Giải sgk Khoa học tự nhiên 8 - KNTT
- Giải sgk Lịch Sử 8 - KNTT
- Giải sgk Địa Lí 8 - KNTT
- Giải sgk Giáo dục công dân 8 - KNTT
- Giải sgk Tin học 8 - KNTT
- Giải sgk Công nghệ 8 - KNTT
- Giải sgk Hoạt động trải nghiệm 8 - KNTT
- Giải sgk Âm nhạc 8 - KNTT
- Lớp 8 - Chân trời sáng tạo
- Soạn văn 8 (hay nhất) - CTST
- Soạn văn 8 (ngắn nhất) - CTST
- Giải sgk Toán 8 - CTST
- Giải sgk Khoa học tự nhiên 8 - CTST
- Giải sgk Lịch Sử 8 - CTST
- Giải sgk Địa Lí 8 - CTST
- Giải sgk Giáo dục công dân 8 - CTST
- Giải sgk Tin học 8 - CTST
- Giải sgk Công nghệ 8 - CTST
- Giải sgk Hoạt động trải nghiệm 8 - CTST
- Giải sgk Âm nhạc 8 - CTST
- Lớp 8 - Cánh diều
- Soạn văn 8 Cánh diều (hay nhất)
- Soạn văn 8 Cánh diều (ngắn nhất)
- Giải sgk Toán 8 - Cánh diều
- Giải sgk Khoa học tự nhiên 8 - Cánh diều
- Giải sgk Lịch Sử 8 - Cánh diều
- Giải sgk Địa Lí 8 - Cánh diều
- Giải sgk Giáo dục công dân 8 - Cánh diều
- Giải sgk Tin học 8 - Cánh diều
- Giải sgk Công nghệ 8 - Cánh diều
- Giải sgk Hoạt động trải nghiệm 8 - Cánh diều
- Giải sgk Âm nhạc 8 - Cánh diều


Giải bài tập SGK & SBT
Tài liệu giáo viên
Sách
Khóa học
Thi online
Hỏi đáp

