15 Bài tập Đồ thị hàm số y = ax2 lớp 9 (có đáp án)
Với 15 Bài tập Đồ thị hàm số y = ax2 lớp 9 có lời giải chi tiết sẽ giúp học sinh ôn tập, biết cách làm bài tập Đồ thị hàm số y = ax2.
15 Bài tập Đồ thị hàm số y = ax2 lớp 9 (có đáp án)
(199k) Xem Khóa học Toán 9 KNTTXem Khóa học Toán 9 CDXem Khóa học Toán 9 CTST
Câu 1: Đồ thị hàm số y = 1/3 x2 đi qua điểm nào sau đây?
Lời giải:
Chọn đáp án B.
Câu 2: Tọa độ giao điểm của đồ thị hàm số y = x2 với đường thẳng y = 4x - 3 là?
A. (-1; 1), (3; 9)
B. (-1; 1), (-3; 9)
C. (1; 1), (3; 9)
D. (1; 1), (-3; 9)
Lời giải:
Phương trình hoành độ giao điểm là:
Do đó tọa độ giao điểm là (1; 1), (3; 9)
Chọn đáp án C.
Câu 3: Số giao điểm của đồ thị hàm số y = 4x2 với đường thẳng y = 4x - 3
A. 1
B. 0
C. 2
D. 3
Lời giải:
Phương trình hoành độ giao điểm:
Khi đó phương trình hoành độ giao điểm trên vô nghiệm.
Vậy không có giao điểm nào
Chọn đáp án B.
Câu 4: Trên mặt phẳng tọa độ cho điểm A( 1; 2) thuộc đồ thị hàm số y = ax2 (a ≠ 0).
Hỏi điểm nào thuộc đồ thị hàm số ?
A. M (2; 8)
B. N ( -2; 4)
C. P( - 3; 9)
D. Q( 4; 16)
Lời giải:
Vì điểm A(1; 2) thuộc đồ thị hàm số y = ax2 (a ≠ 0) nên:
2 = a.12 ⇒ a = 2
Vây hàm số đã cho là y = 2x2.
Trong các điểm đã cho chỉ có điểm M (2; 8) thuộc đồ thị hàm số .
Chọn đáp án A.
Câu 5: Biết đồ thị hàm số y = ax2 (a ≠ 0) đi qua điểm A(1; a). Hỏi có bao nhiêu giá trị của a thỏa mãn?
A. 1
B.2
C. 0
D. Vô số
Lời giải:
Do đồ thị hàm số y = ax2 (a ≠ 0) đi qua điểm A(1; a) nên:
a = a.12 ⇔ a = a ( luôn đúng với mọi a khác 0).
Vậy có vô số giá trị của a thỏa mãn.
Chọn đáp án D.
Câu 6: Cho đồ thị hàm số y = -2x2. Tìm các điểm thuộc đồ thị hàm số đã cho có tung độ - 8.
A. (2; -8)
B. (-2; -8)
C. Cả A và B đúng
D. Tất cả sai
Lời giải:
Các điểm thuộc đồ thị hàm số đã cho có tung độ bằng -8 thỏa mãn:
-8 = -2x2 ⇔ x2 = 4 ⇔ x = ±2
Vậy có 2 điểm thuộc đồ thị hàm số đã cho có tung độ bằng -8 là M (-2; - 8) và N(2; -8)
Chọn đáp án C.
Câu 7: Cho y = ax2 (a ≠ 0) đồ thị hàm số . Với giá trị nào của a thì đồ thị của hàm số đã cho nằm phía trên trục hoành.
A. a < 0
B. a > 0
C.
D. a > 2
Lời giải:
Đồ thị hàm số y = ax2 (a ≠ 0) là một đường cong đi qua gốc tọa độ và nhận trục tung làm đối xứng.
+ Nếu a > 0 thì đồ thị nằm phía trên trục hoành.
+ Nếu a < 0 thì đồ thị nằm phía dưới trục hoành.
Do đó, để đồ thị hàm số đã cho nằm phía trên trục hoành thì a > 0.
Chọn đáp án B.
Câu 8: Cho đồ thị của các hàm số sau:
(1): y = - 2x2 (2): y = x2 (3): y = -3x2 (4): y = -10x2
Hỏi có bao nhiêu đồ thị hàm số nằm phía dưới trục hoành?
A. 1
B. 2
C. 3
D. 4
Lời giải:
Đồ thị hàm số y = ax2 (a ≠ 0) là một đường cong đi qua gốc tọa độ và nhận trục tung làm đối xứng.
+ Nếu a > 0 thì đồ thị nằm phía trên trục hoành.
+ Nếu a < 0 thì đồ thị nằm phía dưới trục hoành.
Trong đồ thị các hàm số đã cho; các đồ thị nằm phía dưới trục hoành là”
(1): y = -2x2; (3): y = - 3x2 và (4):y = -10x2
Chọn đáp án C.
Câu 9: Cho đồ thị hàm số y = 3x2. Tìm tung độ của điểm thuộc parabol có hoành độ là số nguyên dương nhỏ nhất?
A. 0
B. 1
C. -3
D. 3
Lời giải:
Số nguyên dương nhỏ nhất là 1.
Do đó, tung độ của điểm thuộc parabol có hoành độ 1 là: y = 3.12 = 3
Chọn đáp án D.
Câu 10: Cho đồ thị hàm số y = x2 và y = 3x2. Tìm giao điểm của hai đồ thị hàm số đã cho?
A. O(0; 0)
B. A(1; 1)
C. O(0; 0) và A(1; 1)
D. O(0; 0) và B( 1; 3)
Lời giải:
Hoành độ giao điểm của hai đồ thị hàm số đã cho là nghiệm phương trình:
x2 = 3x2 ⇔ -2x2 = 0 ⇔ x = 0
Với x = 0 thì y= 02 = 0
Do đó,đồ thị hai hàm số đã cho cắt nhau tại điểm duy nhất là gốc tọa độ O(0; 0).
Chọn đáp án A.
Câu 11: Cho parabol (P): y = (m – 1)x2 và đường thẳng (d): y = 3 – 2x. Tìm m để đường thẳng d cắt (P) tại điểm có tung độ y = 5.
A. m = 5
B. m = 7
C. m = 6
D. m = −6
Lời giải:
Thay y = 5 vào phương trình đường thẳng d ta được 5 = 3 – 2x ⇔ x = −1
Nên tọa độ giao điểm của đường thẳng d và parabol (P) là (−1; 5)
Thay x = −1; y = 5 vào hàm số y = (m – 1)x2 ta được:
(m – 1). (−1)2 = 5 ⇔ m – 1 = 5 ⇔ m = 6
Vậy m = 6 là giá trị cần tìm
Đáp án cần chọn là: C
Câu 12: Cho parabol (P):
và đường thẳng (d): y = 5x + 4. Tìm m để đường thẳng d cắt (P) tại điểm có tung độ y = 9
A. m = 5
B. m = 15
C. m = 6
D. m = 16
Lời giải:
Thay y = 9 vào phương trình đường thẳng d ta được 9 = 5x + 4 ⇔ x = 1
nên tọa độ giao điểm của đường thẳng d và parabol (P) là 91; 9)
Thay x = 1; y = 9 vào hàm số ta được
Vậy m = 16 là giá trị cần tìm
Đáp án cần chọn là: D
Câu 13: Cho parabol (P): và đường thẳng (d): y = 2x + 2. Biết đường thẳng d cắt (P) tại một điểm có tung độ y = 4. Tìm hoành độ giao điểm còn lại của d và parabol (P)
Lời giải:
Thay y = 4 vào phương trình đường thẳng d ta được 2x + 2 = 4 ⇔ x = 1
Nên tọa độ giao điểm của đường thẳng d và parabol (P) là (1; 4)
Thay x = 1; y = 4 vào hàm số ta được:
Xét phương trình hoành độ giao điểm của d và (P):
Đáp án cần chọn là: A
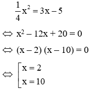
Câu 14: Cho parabol (P): và đường thẳng (d): y = 3x – 5. Biết đường thẳng d cắt (P) tại một điểm có tung độ y = 1. Tìm m và hoành độ giao điểm còn lại của d và parabol (P)
Lời giải:
Thay y = 1 vào phương trình đường thẳng d ta được 3x – 5 = 1 ⇔ x = 2
Nên tọa độ giao điểm của đường thẳng d và parabol (P) là (2; 1)
Thay x = 2; y = 1 vào hàm số ta được:
Xét phương trình hoành độ giao điểm của d và (P):
Vậy hoành độ giao điểm còn lại là x = 10
Đáp án cần chọn là: D
Câu 15: Cho đồ thị hàm số y = 2x2 (P) như hình vẽ. Dựa vào đồ thị, tìm m để phương trình 2x2 – m – 5 = 0 có hai nghiệm phân biệt.
A. m < −5
B. m > 0
C. m < 0
D. m > −5
Lời giải:
Ta có 2x2 – m – 5 = 0 (*) ⇔ 2x2 = m + 5
Số nghiệm của phương trình (*) là số giao điểm của parabol (P): y = 2x2 và đường thẳng d: y = m + 5
Để (*) có hai nghiệm phân biệt thì d cắt (P) tại hai điểm phân biệt. Từ đồ thị hàm số ta thấy:
Với m + 5 > 0 ⇔ m > −5 thì d cắt (P) tại hai điểm phân biệt hay phương trình (*) có hai nghiệm phân biệt khi m > −5
Đáp án cần chọn là: D
(199k) Xem Khóa học Toán 9 KNTTXem Khóa học Toán 9 CDXem Khóa học Toán 9 CTST
Xem thêm lý thuyết và các dạng bài tập Toán lớp 9 có lời giải hay khác:
- Lý thuyết Phương trình bậc hai một ẩn (hay, chi tiết)
- Trắc nghiệm Phương trình bậc hai một ẩn
- Lý thuyết Công thức nghiệm của phương trình bậc hai (hay, chi tiết)
- Trắc nghiệm Công thức nghiệm của phương trình bậc hai
- Lý thuyết Công thức nghiệm thu gọn (hay, chi tiết)
- Trắc nghiệm Công thức nghiệm thu gọn
Tủ sách VIETJACK luyện thi vào 10 cho 2k11 (2026):
Đã có app VietJack trên điện thoại, giải bài tập SGK, SBT Soạn văn, Văn mẫu, Thi online, Bài giảng....miễn phí. Tải ngay ứng dụng trên Android và iOS.
Theo dõi chúng tôi miễn phí trên mạng xã hội facebook và youtube:Loạt bài Chuyên đề: Lý thuyết - Bài tập Toán lớp 9 Đại số và Hình học có đáp án có đầy đủ Lý thuyết và các dạng bài được biên soạn bám sát nội dung chương trình sgk Đại số 9 và Hình học 9.
Nếu thấy hay, hãy động viên và chia sẻ nhé! Các bình luận không phù hợp với nội quy bình luận trang web sẽ bị cấm bình luận vĩnh viễn.
- Giải Tiếng Anh 9 Global Success
- Giải sgk Tiếng Anh 9 Smart World
- Giải sgk Tiếng Anh 9 Friends plus
- Lớp 9 Kết nối tri thức
- Soạn văn 9 (hay nhất) - KNTT
- Soạn văn 9 (ngắn nhất) - KNTT
- Giải sgk Toán 9 - KNTT
- Giải sgk Khoa học tự nhiên 9 - KNTT
- Giải sgk Lịch Sử 9 - KNTT
- Giải sgk Địa Lí 9 - KNTT
- Giải sgk Giáo dục công dân 9 - KNTT
- Giải sgk Tin học 9 - KNTT
- Giải sgk Công nghệ 9 - KNTT
- Giải sgk Hoạt động trải nghiệm 9 - KNTT
- Giải sgk Âm nhạc 9 - KNTT
- Giải sgk Mĩ thuật 9 - KNTT
- Lớp 9 Chân trời sáng tạo
- Soạn văn 9 (hay nhất) - CTST
- Soạn văn 9 (ngắn nhất) - CTST
- Giải sgk Toán 9 - CTST
- Giải sgk Khoa học tự nhiên 9 - CTST
- Giải sgk Lịch Sử 9 - CTST
- Giải sgk Địa Lí 9 - CTST
- Giải sgk Giáo dục công dân 9 - CTST
- Giải sgk Tin học 9 - CTST
- Giải sgk Công nghệ 9 - CTST
- Giải sgk Hoạt động trải nghiệm 9 - CTST
- Giải sgk Âm nhạc 9 - CTST
- Giải sgk Mĩ thuật 9 - CTST
- Lớp 9 Cánh diều
- Soạn văn 9 Cánh diều (hay nhất)
- Soạn văn 9 Cánh diều (ngắn nhất)
- Giải sgk Toán 9 - Cánh diều
- Giải sgk Khoa học tự nhiên 9 - Cánh diều
- Giải sgk Lịch Sử 9 - Cánh diều
- Giải sgk Địa Lí 9 - Cánh diều
- Giải sgk Giáo dục công dân 9 - Cánh diều
- Giải sgk Tin học 9 - Cánh diều
- Giải sgk Công nghệ 9 - Cánh diều
- Giải sgk Hoạt động trải nghiệm 9 - Cánh diều
- Giải sgk Âm nhạc 9 - Cánh diều
- Giải sgk Mĩ thuật 9 - Cánh diều


Giải bài tập SGK & SBT
Tài liệu giáo viên
Sách
Khóa học
Thi online
Hỏi đáp

