15 Bài tập Hàm số y = ax2 (a ≠ 0) lớp 9 (có đáp án)
Với 15 Bài tập Hàm số y = ax2 (a ≠ 0) lớp 9 có lời giải chi tiết sẽ giúp học sinh ôn tập, biết cách làm bài tập Hàm số y = ax2 (a ≠ 0).
15 Bài tập Hàm số y = ax2 (a ≠ 0) lớp 9 (có đáp án)
(199k) Xem Khóa học Toán 9 KNTTXem Khóa học Toán 9 CDXem Khóa học Toán 9 CTST
Câu 1: Cho hàm số y = ax2 với . Kết luận nào sau đây là đúng:
A. Hàm số nghịch biến khi a > 0 và x > 0
B. Hàm số nghịch biến khi a < 0 và x < 0
C. Hàm số nghịch biến khi a > 0 và x < 0
D. Hàm số nghịch biến khi a > 0 và x = 0
Lời giải:
Cho hàm số y = ax2 (a ≠ 0)
• Nếu a > 0 thì hàm số nghịch biến khi x < 0 và đồng biến khi x > 0
• Nếu a < 0 thì hàm số đồng biến khi x < 0 và nghịch biến khi x > 0
Chọn đáp án C.
Câu 2: Kết luận nào sau đây sai khi nói về đồ thị hàm số y = ax2 với a ≠ 0
A. Đồ thị hàm số nhận trục tung làm trục đối xứng.
B. Với a > 0 đồ thị nằm phía trên trục hoành và O là điểm cao nhất của đồ thị
C. Với a < 0 đồ thị nằm phía dưới trục hoành và O là điểm cao nhất của đồ thị
D. Với a > 0 đồ thị nằm phía trên trục hoành và O là điểm thấp nhất của đồ thị
Lời giải:
Đồ thị hàm số y = ax2 (a ≠ 0) là một parabol đi qua gốc tọa độ O, nhận Oy làm trục đối xứng (O là đỉnh của parabol).
• Nếu a > 0 thì đồ thị nằm phía trên trục hoành, O là điểm thấp nhất của đồ thị
• Nếu a < 0 thì đồ thị nằm phía dưới trục hoành, O là điểm cao nhất của đồ thị
Chọn đáp án B.
Câu 3: Giá trị của hàm số y = f(x) = -7x2 tại x0 = -2 là:
A. 28
B. 12
C. 21
D. -28
Lời giải:
Thay x0 = -2 vào hàm số y = f(x) = -7x2 ta được: f(-2) = -7.(-2)2 = -28
Chọn đáp án D.
Câu 4: Cho hàm số y = f(x) = (-2m + 1)x2 . Tính giá trị của m để đồ thị đi qua điểm A(-2; 4)
A. m = 0
B. m = 1
C. m = 2
D. m = -2
Lời giải:
Thay tọa độ điểm A(-2; 4) vào hàm số y = f(x) = (-2m + 1)x2 ta được:
(-2m + 1).(-2)2 = 4 ⇔ -2m + 1 = 1 ⇔ m = 0
Vậy m = 0 là giá trị cần tìm.
Chọn đáp án A.
Câu 5: Cho hàm số y = f(x) = -2x2. Tổng các giá trị a của thỏa mãn f(a) = -8 + 4√3 là:
A. 1
B. 0
C. 10
D. -10
Lời giải:
Chọn đáp án B.
Câu 6: Cho hàm số y = (m + 1)x2 + 2. Tìm m biết rằng với x = 1 thì y = 5.
A. m = 2
B. m = -2
C. m = - 3
D.m = 3
Lời giải:
Thay x = 1 và y = 5 vào y = (m + 1)x2 + 2 ta được:
5 = (m +1).12 + 2
⇔ m + 1 + 2 = 5 ⇔ m = 2
Chọn đáp án A.
Câu 7: Cho hàm số y= 2x2 . Tìm x khi y = 32 ?
A. x = 4
B. x = -4
C. x = 8 và x = -8
D. Đáp án khác
Lời giải:
Thay y = 32 vào y = 2x2 ta được:
32 = 2.x2 ⇔ x2 = 16 ⇔ x = ±4
Chọn đáp án D.
Câu 8: Diện tích hình tròn bán kính R được cho bởi công thức: S = π.R2 .
Hỏi nếu bán kính tăng lên 6 lần thì diện tích tăng hay giảm bao nhiêu lần?
A. Tăng 6 lần
B. Tăng 12 lần
C. Tăng 36 lần
D. Giảm 6 lần
Lời giải:
Diện tích hình tròn ban đầu là: S = π.R2
Khi tăng bán kính lên 6 lần thì bán kính mới là R’ = 6R.
Diện tích hình tròn mới là: S = π.R'2 = π.(6R)2 = 36πR2 = 36.S
Do đó, diện tích hình tròn mới tăng lên 36 lần.
Chọn đáp án C.
Câu 9: Cho các hàm số y = 2x2 và y = -3x2. Hỏi hàm số nào đồng biến khi x > 0.
A. y = 2x2
B. y = -3x2
C. Không có hàm số nào
D.Cả hai
Lời giải:
Xét hàm số y = ax2 (a ≠ 0)
* Nếu a > 0 thì hàm số nghịch biến khi x < 0 và đồng biến khi x > 0.
* Nếu a < 0 thì hàm số đồng biến khi x < 0 và nghịch biến khi x > 0.
Do đó,chỉ có hàm số y = 2x2 đồng biến khi x> 0.
Chọn đáp án A.
Câu 10: Cho các hàm số:
(1): y = 3x2 (2): y = - 4 x2 (3) y = 3x (4): y = - 4x .
Hỏi có bao nhiều hàm số đồng biến với x < 0?
A. 1
B.2
C. 3
D. 4
Lời giải:
* Hàm số bậc nhất y = ax + b đồng biến khi a > 0 và hàm số này nghịch biến khi a < 0 .
Do đó, hàm số y = 3x đồng biến trên R nên cũng đồng biến khi x < 0 .
Hàm số y = -4x nghịch biến trên R.
* Xét hàm số y = ax2 (a ≠ 0)
Nếu a > 0 thì hàm số nghịch biến khi x < 0 và đồng biến khi x > 0.
Nếu a < 0 thì hàm số đồng biến khi x < 0 và nghịch biến khi x > 0.
Trong hai hàm số y = 3x2 và y = -4x2 chỉ có hàm số y = -4x2 đồng biến khi x < 0
Vậy trong các hàm số đã cho chỉ có hàm số y = 3x và y = -4x2 đồng biến x < 0.
Chọn đáp án B.
Câu 11: Cho hàm số y = f(x) = −2x2. Tìm b biết f(b) ≤ −5b + 2
Lời giải:
Đáp án cần chọn là: D
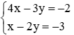
Câu 12: Cho hàm số y = (2m + 2) x2.
Tìm m để đồ thị hàm số đi qua điểm A (x; y) với (x: y) là nghiệm của hệ phương trình:
Lời giải:
Thay x = 2; y = 1 vào hàm số y = (2m + 2) x2 ta được:
Đáp án cần chọn là: D
Câu 13: Cho hàm số y = (−3m + 1)x2.
Tìm m để đồ thị hàm số đi qua điểm A (x; y) với (x; y) là nghiệm của hệ phương trình
Lời giải:
Thay x = 1; y = 2 vào hàm số y = (−3m + 1)x2 ta được:
Đáp án cần chọn là: B
Câu 14: Cho hàm số y = (5m + 2)x2 với . Tìm m để hàm số nghịch biến với mọi x > 0
Lời giải:
Để hàm số nghịch biến với mọi x > 0 thì a < 0 nên 5m + 2 < 0 ⇔
Vậy thỏa mãn điều kiện đề bài
Đáp án cần chọn là: A
Câu 15: Cho hàm số . Tìm m để hàm số nghịch biến với mọi x < 0.
A. m > 7
B. m < 7
C. m < −7
D. m > −7
Lời giải:
Để hàm số nghịch biến với mọi x < 0 thì a > 0 nên
Vậy thỏa mãn điều kiện đề bài
Vậy m < 7 thỏa mãn điều kiện đề bài
Đáp án cần chọn là: B
(199k) Xem Khóa học Toán 9 KNTTXem Khóa học Toán 9 CDXem Khóa học Toán 9 CTST
Xem thêm lý thuyết và các dạng bài tập Toán lớp 9 có lời giải hay khác:
- Lý thuyết Đồ thị hàm số y = ax2 (a ≠ 0) (hay, chi tiết)
- Trắc nghiệm Đồ thị hàm số y = ax2 (a ≠ 0)
- Lý thuyết Phương trình bậc hai một ẩn (hay, chi tiết)
- Trắc nghiệm Phương trình bậc hai một ẩn
- Lý thuyết Công thức nghiệm của phương trình bậc hai (hay, chi tiết)
- Trắc nghiệm Công thức nghiệm của phương trình bậc hai
Tủ sách VIETJACK luyện thi vào 10 cho 2k11 (2026):
Đã có app VietJack trên điện thoại, giải bài tập SGK, SBT Soạn văn, Văn mẫu, Thi online, Bài giảng....miễn phí. Tải ngay ứng dụng trên Android và iOS.
Theo dõi chúng tôi miễn phí trên mạng xã hội facebook và youtube:Loạt bài Chuyên đề: Lý thuyết - Bài tập Toán lớp 9 Đại số và Hình học có đáp án có đầy đủ Lý thuyết và các dạng bài được biên soạn bám sát nội dung chương trình sgk Đại số 9 và Hình học 9.
Nếu thấy hay, hãy động viên và chia sẻ nhé! Các bình luận không phù hợp với nội quy bình luận trang web sẽ bị cấm bình luận vĩnh viễn.
- Giải Tiếng Anh 9 Global Success
- Giải sgk Tiếng Anh 9 Smart World
- Giải sgk Tiếng Anh 9 Friends plus
- Lớp 9 Kết nối tri thức
- Soạn văn 9 (hay nhất) - KNTT
- Soạn văn 9 (ngắn nhất) - KNTT
- Giải sgk Toán 9 - KNTT
- Giải sgk Khoa học tự nhiên 9 - KNTT
- Giải sgk Lịch Sử 9 - KNTT
- Giải sgk Địa Lí 9 - KNTT
- Giải sgk Giáo dục công dân 9 - KNTT
- Giải sgk Tin học 9 - KNTT
- Giải sgk Công nghệ 9 - KNTT
- Giải sgk Hoạt động trải nghiệm 9 - KNTT
- Giải sgk Âm nhạc 9 - KNTT
- Giải sgk Mĩ thuật 9 - KNTT
- Lớp 9 Chân trời sáng tạo
- Soạn văn 9 (hay nhất) - CTST
- Soạn văn 9 (ngắn nhất) - CTST
- Giải sgk Toán 9 - CTST
- Giải sgk Khoa học tự nhiên 9 - CTST
- Giải sgk Lịch Sử 9 - CTST
- Giải sgk Địa Lí 9 - CTST
- Giải sgk Giáo dục công dân 9 - CTST
- Giải sgk Tin học 9 - CTST
- Giải sgk Công nghệ 9 - CTST
- Giải sgk Hoạt động trải nghiệm 9 - CTST
- Giải sgk Âm nhạc 9 - CTST
- Giải sgk Mĩ thuật 9 - CTST
- Lớp 9 Cánh diều
- Soạn văn 9 Cánh diều (hay nhất)
- Soạn văn 9 Cánh diều (ngắn nhất)
- Giải sgk Toán 9 - Cánh diều
- Giải sgk Khoa học tự nhiên 9 - Cánh diều
- Giải sgk Lịch Sử 9 - Cánh diều
- Giải sgk Địa Lí 9 - Cánh diều
- Giải sgk Giáo dục công dân 9 - Cánh diều
- Giải sgk Tin học 9 - Cánh diều
- Giải sgk Công nghệ 9 - Cánh diều
- Giải sgk Hoạt động trải nghiệm 9 - Cánh diều
- Giải sgk Âm nhạc 9 - Cánh diều
- Giải sgk Mĩ thuật 9 - Cánh diều


Giải bài tập SGK & SBT
Tài liệu giáo viên
Sách
Khóa học
Thi online
Hỏi đáp

