Bài tập Hàm số bậc nhất cực hay, chọn lọc, (có lời giải chi tiết)
Bài viết Hàm số bậc nhất với phương pháp giải chi tiết giúp học sinh ôn tập, biết cách làm bài tập Hàm số bậc nhất.
Bài tập Hàm số bậc nhất cực hay, chọn lọc, (có lời giải chi tiết)
(199k) Học Toán 9 KNTTHọc Toán 9 CDHọc Toán 9 CTST
Bài 1: Cho hàm số y = -x2 + 2x + 3. Giá trị của hàm số tại x = √3 - 1 là:
A. 5 B. 4√3 - 3 C. 4√3 + 3 D. 4√3 - 2
Bài 2: Cho hàm số y = x2 - 6x. Hàm số đồng biến trong khoảng:
A. (0; 5) B. (-∞; 3) C. (3; +∞) D. (-2; 2)
Bài 3: Cho hàm số . Giá trị của x sao cho y = 0 là:
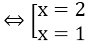
A. x = 1; x = 2 B. x = 1
C. x = 2 D. Cả ba đều sai
Bài 4: Tập xác định của hàm số là:
A. x ≤ 1/3; x ≠ -1 B. x ≤ 1/3 C. x ≠ 1 D. x < 1/3
Bài 5: Khẳng định nào sau đây đúng:
A. Hàm số y = 1 – x đồng biến trên tập xác định của nó.
B. Hàm số nghịch biến trên tập xác định của nó.
C. Hàm số y = -2x2 nghịch biến trong khoảng (-∞; 0).
D. Hàm số y = -x2 + 2x + 3 đồng biến với x ≥ 1.
Bài 6: Cho A(- 2; 3) và B (1; 0). Độ dài đoạn AB là:
A. √10 B. ± 3√2 C. 3√2 D. 2√3
Bài 7: Cho hàm số , hàm số là hàm số bậc nhất khi:
A. m ≤ 1/2 B. m > 1/2 C. m ≥ 1/2 D. m < 1/2
Bài 8: Cho hàm số y = mx + 3 - 2x, hàm số đồng biến khi:
A. m > 0 B. m = 0 C. m > 2 D. m < 2
Bài 9: Cho hàm số y= f(x) = (√2 - a)x + 1, biết f(√2) = 3. Vậy f(√2 - 1) là:
A. 2 B. 5 - √2 C. -1 - √2 D. 3 - √2
Bài 10: Cho hàm số y = f(x) = (m2 - 1)x2 + (m - 5)x + 3.
Có bao nhiêu khẳng định sai trong các khẳng định sau:
1) Hàm số là bậc nhất khi m ≠ ±1
2) Hàm số là bậc nhất nghịch biến khi m = 1;
3) Hàm số là bậc nhất đồng biến khi m = 1
4) Với m = 5; hàm số không là hàm số bậc nhất.
A. 1 B. 2 C.3 D. 4
Bài 11: Phương trình đường thẳng (d) đi qua O (0; 0) và A(2; -3) là:
A. y = -2/3.x B. y = -3/2.x
C. y = 2x D. Đáp án khác.
Bài 12: Phương trình đường thẳng (d) đi qua O (0; 0) và (d) hợp bởi tia Ox một góc 450 là:
A. y = -x B. y = x C. y = √2x D. y = -√2x
Bài 13: Phương trình đường thẳng (d) đi qua O(0; 0) có tgα= √3 ( α là góc hợp bởi đường thẳng d với tia Ox ) là:
Bài 14: Cho đường thẳng (d): y = √3/3 x, đường thẳng (d) tạo với tia Ox một góc là:
A. 300 B. 600 C. 1200 D. 1500
Bài 15: Cho đường thẳng (d): y = 1/√3x. Chọn câu khẳng định đúng:
A. (d) đi qua điểm (1; -√3/3);
B. (d) không đi qua gốc tọa độ;
C. (d) tạo với tia Ox một góc 600;
D. Hệ số a = tgα = 1/√3(α là góc tạo bởi đường thẳng d với tia Ox).
Bài 16: Cho đường thẳng (d): y = 3/4.x - 3; (d) cắt trục hoành tại điểm :
A. -4 B. -3 C. 4 D. 9/4
Bài 17: Cho đường thẳng (d) : y = -5x + 1/2; (d) cắt trục tung tại điểm:
A. -10 B. 1/2 C. -1/2 D. 10
Bài 18: Đường thẳng (d): y = (m - 1)x + m cắt trục hoành tại điểm có hoành độ bằng 2 khi:
A. m = 2 C. m = 3/2
B. m = 2/3 D. Cả ba đáp án đề sai.
Bài 19: Có bao nhiêu câu đúng trong các câu sau:
Cho đường thẳng (d): y = √5x - √5. Khi đó:
a) Đường thẳng (d) song song với đường thẳng : y = -√5x
b) Đường thẳng (d) đi qua M(1; 0)
c) Đường thẳng (d) cắt trục tung tại điểm (0; √5);
d) Đường thẳng (d) song song với đường thẳng: y = √5x + 2.
A. 0 B. 1 C. 2 D.3
Bài 20: Cho đường thẳng y = -2x + 3 và y = (m - 2) x + 5. Hai đường thẳng này song song với nhau khi:
A. m = 0 C. m = 4
B. m ≠ 0 D. Đáp án khác
Đáp án và hướng dẫn giải
| 1. B | 2. C | 3. B | 4. A | 5. B |
| 6. C | 7. D | 8. C | 9. D | 10. B |
| 11. A | 12. B | 13. B | 14. A | 15. D |
| 16. C | 17. B | 18. B | 19. C | 20. a |
Bài 2:
y = f(x) = x2 - 6x
Lấy x1; x2 bất kì sao cho x1 > x2
Khi đó: f(x1 ) - f(x2 ) = (x12 - 6x1 ) - (x22 - 6x2 )
= (x12 - x22 ) - 6(x1 - x2 ) = (x1 - x2 )(x1 + x2 - 6)
Để hàm số đồng biến thì f(x1 ) > f(x2 ) ⇔ f(x1 ) - f(x2 ) > 0 ∀x1; x2
Do x1 > x2 nên x1 - x2 > 0
Do đó: f(x1 ) - f(x2 ) > 0 ∀x1; x2
⇔ (x1 + x2 - 6) > 0 ∀x1; x2 ⇔ x1; x2 > 3
Vậy hàm số đồng biến trong khoảng (3; +∞).
Bài 3:
ĐKXĐ: x > 2
⇒ x2 - 3x + 2 = 0
⇔ (x - 2)(x - 1) = 0
Đối chiếu với ĐKXĐ, x = 1 thỏa mãn.
Bài 6:
Bài 7:
Hàm số , hàm số là hàm số bậc nhất khi:
Bài 8:
y = mx + 3 - 2x = (m - 2)x + 3
Hàm số đồng biến khi m - 2 > 0 ⇔ m > 2
Bài 9:
y = f(x) = (√2 - a)x + 1
f(√2) = (√2 - a)√2 + 1 = 2 - a√2 + 1 = 3 ⇒ a = 0
⇒ f(x) = √2x + 1
⇒ f(√2 - 1) = √2(√2 - 1) + 1 = 3 - √2
Bài 10:
Khẳng định sai là 1, 3
Bài 11:
Gọi phương trình đường thẳng cần tìm là y = ax + b
(d) đi qua điểm O (0; 0) nên 0 = a.0 + b ⇒ b = 0.
(d) đi qua điểm A (2; -3) nên: -3 = a.2 ⇒ a = (-2)/3
Vậy đường thẳng cần tìm là: y = (-2)/3.x.
Bài 12:
Đường thẳng (d) tạo với trục Ox một góc 450 nên (d) có hệ số góc là
a = tan(450) = 1.
Phương trình đường thẳng d có dạng y = x + b
(d) đi qua điểm O(0; 0) nên b = 0
Vậy phương trình đường thẳng (d) là y = x.
Bài 14:
Gọi α là góc tạo bởi đường thẳng (d) và tia Ox
⇒ tanα = √3/3 ⇒ α = 300
Bài 18:
Đường thẳng (d): y = (m - 1)x + m cắt trục hoành tại điểm có hoành độ bằng 2 khi:
0 = (m - 1).2 + m ⇔ m = 2/3
Chuyên đề Toán 9: đầy đủ Lý thuyết và các dạng bài tập có đáp án khác:
- Tóm tắt lý thuyết Hàm số bậc nhất
- Chủ đề: Hàm số bậc nhất
- Chủ đề: Đường thẳng song song và đường thẳng cắt nhau
- Bài tập Hàm số bậc nhất cực hay, chọn lọc, có lời giải chi tiết (phần 1 - có đáp án)
- Bài tập Hàm số bậc nhất cực hay, chọn lọc, có lời giải chi tiết (phần 2 - có đáp án)
Tủ sách VIETJACK luyện thi vào 10 cho 2k11 (2026):
Đã có app VietJack trên điện thoại, giải bài tập SGK, SBT Soạn văn, Văn mẫu, Thi online, Bài giảng....miễn phí. Tải ngay ứng dụng trên Android và iOS.
Theo dõi chúng tôi miễn phí trên mạng xã hội facebook và youtube:Loạt bài Chuyên đề: Lý thuyết - Bài tập Toán lớp 9 Đại số và Hình học có đáp án có đầy đủ Lý thuyết và các dạng bài được biên soạn bám sát nội dung chương trình sgk Đại số 9 và Hình học 9.
Nếu thấy hay, hãy động viên và chia sẻ nhé! Các bình luận không phù hợp với nội quy bình luận trang web sẽ bị cấm bình luận vĩnh viễn.
- Giải Tiếng Anh 9 Global Success
- Giải sgk Tiếng Anh 9 Smart World
- Giải sgk Tiếng Anh 9 Friends plus
- Lớp 9 Kết nối tri thức
- Soạn văn 9 (hay nhất) - KNTT
- Soạn văn 9 (ngắn nhất) - KNTT
- Giải sgk Toán 9 - KNTT
- Giải sgk Khoa học tự nhiên 9 - KNTT
- Giải sgk Lịch Sử 9 - KNTT
- Giải sgk Địa Lí 9 - KNTT
- Giải sgk Giáo dục công dân 9 - KNTT
- Giải sgk Tin học 9 - KNTT
- Giải sgk Công nghệ 9 - KNTT
- Giải sgk Hoạt động trải nghiệm 9 - KNTT
- Giải sgk Âm nhạc 9 - KNTT
- Giải sgk Mĩ thuật 9 - KNTT
- Lớp 9 Chân trời sáng tạo
- Soạn văn 9 (hay nhất) - CTST
- Soạn văn 9 (ngắn nhất) - CTST
- Giải sgk Toán 9 - CTST
- Giải sgk Khoa học tự nhiên 9 - CTST
- Giải sgk Lịch Sử 9 - CTST
- Giải sgk Địa Lí 9 - CTST
- Giải sgk Giáo dục công dân 9 - CTST
- Giải sgk Tin học 9 - CTST
- Giải sgk Công nghệ 9 - CTST
- Giải sgk Hoạt động trải nghiệm 9 - CTST
- Giải sgk Âm nhạc 9 - CTST
- Giải sgk Mĩ thuật 9 - CTST
- Lớp 9 Cánh diều
- Soạn văn 9 Cánh diều (hay nhất)
- Soạn văn 9 Cánh diều (ngắn nhất)
- Giải sgk Toán 9 - Cánh diều
- Giải sgk Khoa học tự nhiên 9 - Cánh diều
- Giải sgk Lịch Sử 9 - Cánh diều
- Giải sgk Địa Lí 9 - Cánh diều
- Giải sgk Giáo dục công dân 9 - Cánh diều
- Giải sgk Tin học 9 - Cánh diều
- Giải sgk Công nghệ 9 - Cánh diều
- Giải sgk Hoạt động trải nghiệm 9 - Cánh diều
- Giải sgk Âm nhạc 9 - Cánh diều
- Giải sgk Mĩ thuật 9 - Cánh diều


Giải bài tập SGK & SBT
Tài liệu giáo viên
Sách
Khóa học
Thi online
Hỏi đáp

