Tóm tắt lý thuyết Hàm số bậc nhất (đầy đủ nhất)
Bài viết Tóm tắt lý thuyết Hàm số bậc nhất lớp 9 hay, chi tiết giúp bạn nắm vững kiến thức trọng tâm Hàm số bậc nhất.
Tóm tắt lý thuyết Hàm số bậc nhất (đầy đủ nhất)
Chủ đề 1: Hàm số bậc nhất. Đồ thị của hàm số y = ax + b (a ≠ 0)
1. Định nghĩa
- Hàm số bậc nhất là hàm số được cho bởi công thức y = ax + b trong đó a, b là các số thực cho trước và a ≠ 0
- Đặc biệt, khi b = 0 thì hàm số bậc nhất trở thành hàm số y = ax, biểu thị tương quan tỉ lệ thuận giữa y và x
2. Tính chất
a) Hàm số bậc nhất y = ax + b xác định với mọi giá trị x ∈ R
b) Trên tập hợp số thực R, hàm số y = ax + b đồng biến khi a > 0 và nghịch biến khi a < 0
Hàm số y = f(x) gọi là đồng biến trong khoảng nào đó nếu với mọi x1 và x2 trong khoảng đó sao cho x1 < x2 thì f(x1 ) < f(x2 )
Hàm số y = f(x) gọi là nghịch biến trong khoảng nào đó nếu với mọi x1 và x2 trong khoảng đó sao cho x1 < x2 thì f(x1 ) > f(x2 )
3. Nhận xét về đồ thị hàm số y = ax + b (a ≠ 0)
a) Đồ thị hàm số y = ax (a ≠ 0) là một đường thẳng đi qua gốc tọa độ mà ta gọi là đường thẳng y = ax. Đường thẳng y = ax nằm ở góc phần tư thứ I và thứ III khi a > 0; nằm ở góc phần tư thứ II và thứ IV khi a < 0
b) Đồ thị của hàm số y = ax + b là một đường thẳng cắt trục tung tại điểm có tung độ bằng b và song song với đường thẳng y = ax nếu b ≠ 0; trùng với đường thẳng y = ax nếu b = 0.
Đồ thị của hàm số bậc nhất y = ax + b (a ≠ 0) còn gọi là đường thẳng y = ax + b; b được gọi là tung độ gốc của đường thẳng.
4. Cách vẽ đồ thị hàm số y = ax + b (a ≠ 0)
a) Cách vẽ đồ thị của hàm số y = ax (a ≠ 0)
Cho x = 1 thì y = a. Vẽ điểm A (1; a)
Đồ thị là đường thẳng OA.
b) Cách vẽ đồ thị của hàm số y = ax + b (a ≠ 0 ; b ≠ 0)
Xác định giao điểm của đồ thị với trục tung và trục hoành
P(0; b); Q((-b)/ a; 0)
Đồ thị là đường thẳng PQ
5. Chú ý
Cho hàm số y = f(x)
- Nếu tọa độ (x0; y0 ) của điểm A thỏa mãn hàm số y = f(x) thì điểm A thuộc đồ thị của hàm số này.
- Ngược lại, nếu điểm A (x0; y0 ) nằm trên đồ thị của hàm số y = f(x) thì tọa độ (x0; y0 ) của A thỏa mãn hàm số y = f(x)
6. Bổ sung
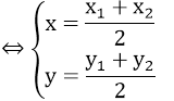
Trong mặt phẳng tọa độ, cho hai điểm A(x1; y1 ); B(x2; y2 ). Ta có:
+ M (x; y) là trung điểm của AB
A đối xứng với B qua trục hoành ⇔ x1 = x2 và y1 = -y2 ;
A đối xứng với B qua trục tung ⇔ x1 = -x2 và y1 = y2;
A đối xứng với B qua gốc O ⇔ x1 = -x2 và y1 = -y2;
A đối xứng với B qua đường thẳng y = x ⇔ x1 = y2 và y1 = x2;
A đối xứng với B qua đường thẳng y = -x ⇔ x1 = -y2 và y1 = -x2;
Chủ đề 2: Đường thẳng song song và đường thẳng cắt nhau. Hệ số góc của đường thẳng y = ax + b
1.
Cho hai đường thẳng (d1 ): y = ax + b (a ≠ 0)
(d2 ): y =a'x + b' (a' ≠ 0)
+ (d1 ) // (d2 ) ⇔ a = a'; b ≠ b'
+ (d1 ) ≡ (d2 ) ⇔ a = a'; b = b'
+ (d1 ) cắt (d2 ) ⇔ a ≠ a'
2.
Khi a > 0 thì góc tạo bởi đường thẳng y = ax + b và trục Ox là góc nhọn;
Khi a < 0 thì góc tạo bởi đường thẳng y = ax + b và trục Ox là góc tù.
3. Bổ sung
Cho hai đường thẳng (d1 ): y = ax + b (a ≠ 0)
(d2 ): y = a'x + b' (a' ≠ 0)
+ (d1 ) ⊥ (d2 ) ⇔ a.a' = 1
+ Nếu (d1 ) cắt (d2 ) thì hoành độ giao điểm là nghiệm của phương trình
ax + b = a'x + b' (gọi là phương trình hoành độ giao điểm)
+ Góc α là góc tạo bởi đường thẳng y = ax + b và trục Ox. Nếu a > 0 thì
tanα = a
Chuyên đề Toán 9: đầy đủ Lý thuyết và các dạng bài tập có đáp án khác:
- Tóm tắt lý thuyết Hàm số bậc nhất (đầy đủ nhất)
- Chủ đề: Hàm số bậc nhất
- Chủ đề: Đường thẳng song song và đường thẳng cắt nhau
- Bài tập trắc nghiệm Toán 9 Hàm số bậc nhất (phần 1 - có đáp án)
- Bài tập trắc nghiệm Toán 9 Hàm số bậc nhất (phần 2 - có đáp án)
Tủ sách VIETJACK luyện thi vào 10 cho 2k11 (2026):
Đã có app VietJack trên điện thoại, giải bài tập SGK, SBT Soạn văn, Văn mẫu, Thi online, Bài giảng....miễn phí. Tải ngay ứng dụng trên Android và iOS.
Theo dõi chúng tôi miễn phí trên mạng xã hội facebook và youtube:Loạt bài Chuyên đề: Lý thuyết - Bài tập Toán lớp 9 Đại số và Hình học có đáp án có đầy đủ Lý thuyết và các dạng bài được biên soạn bám sát nội dung chương trình sgk Đại số 9 và Hình học 9.
Nếu thấy hay, hãy động viên và chia sẻ nhé! Các bình luận không phù hợp với nội quy bình luận trang web sẽ bị cấm bình luận vĩnh viễn.
- Giải Tiếng Anh 9 Global Success
- Giải sgk Tiếng Anh 9 Smart World
- Giải sgk Tiếng Anh 9 Friends plus
- Lớp 9 Kết nối tri thức
- Soạn văn 9 (hay nhất) - KNTT
- Soạn văn 9 (ngắn nhất) - KNTT
- Giải sgk Toán 9 - KNTT
- Giải sgk Khoa học tự nhiên 9 - KNTT
- Giải sgk Lịch Sử 9 - KNTT
- Giải sgk Địa Lí 9 - KNTT
- Giải sgk Giáo dục công dân 9 - KNTT
- Giải sgk Tin học 9 - KNTT
- Giải sgk Công nghệ 9 - KNTT
- Giải sgk Hoạt động trải nghiệm 9 - KNTT
- Giải sgk Âm nhạc 9 - KNTT
- Giải sgk Mĩ thuật 9 - KNTT
- Lớp 9 Chân trời sáng tạo
- Soạn văn 9 (hay nhất) - CTST
- Soạn văn 9 (ngắn nhất) - CTST
- Giải sgk Toán 9 - CTST
- Giải sgk Khoa học tự nhiên 9 - CTST
- Giải sgk Lịch Sử 9 - CTST
- Giải sgk Địa Lí 9 - CTST
- Giải sgk Giáo dục công dân 9 - CTST
- Giải sgk Tin học 9 - CTST
- Giải sgk Công nghệ 9 - CTST
- Giải sgk Hoạt động trải nghiệm 9 - CTST
- Giải sgk Âm nhạc 9 - CTST
- Giải sgk Mĩ thuật 9 - CTST
- Lớp 9 Cánh diều
- Soạn văn 9 Cánh diều (hay nhất)
- Soạn văn 9 Cánh diều (ngắn nhất)
- Giải sgk Toán 9 - Cánh diều
- Giải sgk Khoa học tự nhiên 9 - Cánh diều
- Giải sgk Lịch Sử 9 - Cánh diều
- Giải sgk Địa Lí 9 - Cánh diều
- Giải sgk Giáo dục công dân 9 - Cánh diều
- Giải sgk Tin học 9 - Cánh diều
- Giải sgk Công nghệ 9 - Cánh diều
- Giải sgk Hoạt động trải nghiệm 9 - Cánh diều
- Giải sgk Âm nhạc 9 - Cánh diều
- Giải sgk Mĩ thuật 9 - Cánh diều


Giải bài tập SGK & SBT
Tài liệu giáo viên
Sách
Khóa học
Thi online
Hỏi đáp

