Cách giải bài toán năng suất công việc lớp 9 (Giải bài toán bằng cách lập hệ phương trình)
Bài viết Cách giải bài toán năng suất công việc lớp 9 với phương pháp giải chi tiết giúp học sinh ôn tập, biết cách làm bài tập Cách giải bài toán năng suất công việc.
Cách giải bài toán năng suất công việc lớp 9 (Giải bài toán bằng cách lập hệ phương trình)
(199k) Xem Khóa học Toán 9 KNTTXem Khóa học Toán 9 CDXem Khóa học Toán 9 CTST
A. Phương pháp giải
Phương pháp giải:
Bước 1: Lập hệ phương trình:
● Đặt ẩn và tìm điều kiện của ẩn (nếu có).
● Biểu diễn cácđại lượng chưa biết theo ẩn và các đại lượng đã biết.
● Lập hệ phương trình biểu diễn tương quan giữa các đại lượng.
Bước 2: Giải hệ phương trình.
Bước 3: So sánh với điều kiện và kết luận.
B. Ví dụ minh họa
Ví dụ 1: Hai người cùng làm một cộng việc trong 7 giờ 12 phút thì xong, nếu người thứ nhất làm trong 4 giờ, người thứ hai làm trong 3 giờ thì được 50% công việc. Hỏi mỗi người làm một mình thì bao lâu thì xong công việc?
Hướng dẫn:
Đổi: 7 giờ 12 phút = giờ
Gọi thời gian người thứ nhất làm một mình xong công việc là x giờ, x > .
Gọi thời gian người thứ hai làm một mình xong công việc là y giờ, y >
Trong 1 giờ cả hai người làm được là:
Trong 4 giờ người thứ nhất và trong 3 giờ người thứ hai làm được là:
Suy ra: x = 12 và y = 18 (thỏa mãn)
Vậy người thứ nhất làm 12 giờ, người thứ hai làm 18 giờ thì xong công việc.
Ví dụ 2: Trong tháng đầu hai tổ sản xuất được 800 bút chì, sang tháng hai tổ 1 vượt mức 15%, tổ 2 vượt mức 20% do đó cuối tháng hai tổ sản xuất được 945 bút chì.Hỏi tháng đầu mỗi tổ sản xuất được bao nhiêu bút chì?
Hướng dẫn:
Gọi tổ 1 sản xuất được trong tháng đầu là x bút chì, x > 0
Gọi tổ 2 sản xuất được trong tháng đầu là y bút chì, y > 0
Cả hai tổ sản xuất được trong tháng đầu là: x + y = 800
Trong tháng hai, tổ 1 vượt mức 15% và tổ 2 vượt 20%: 1,15x + 1,2y = 945
Ta có hệ phương trình:
Vậy tổ 1 sản xuất được 300 bút chì, tổ 2 sản xuất được 500 bút chì.
Ví dụ 3: Hai vòi nước cùng chảy vào 1 bể cạn sau 4 giờ 48 phút thì đầy bể nếu mở vòi thứ 1 trong 9 giờ sau thì mở vòi thứ 2 mở trong giờ nữa thì đầy bể. Hỏi nếu mỗi vòi chảy một mình trong bao nhiêu lâu thì đầy bể.
Hướng dẫn:
Gọi thời gian vòi 1 và vòi 2 chảy một mình đầy bể là x, y giờ (x, y > )
Trong 1 giờ cả hai vòi chảy được là:
Nếu mở vòi thứ 1 trong 9 giờ và mở vòi thứ 2 trong
Ta có hệ phương trình: (Thỏa mãn)
Vậy vòi 1 chảy hết 12 giờ, vời 2 chảy hết 8 giờ.
C. Bài tập trắc nghiệm
Câu 1: Hai vòi nước cùng chảy vào một bể sau 3 giờ 45 phút thì đầy bể. Nếu mỗi vòi chảy một mình trong thì mất bao lâu đầy bể ? biết rằng vòi thứ hai chảy lâu hơn vòi thứ nhất 4 giờ.
A. Vòi 1 chảy hết: 6 giờ, vòi 2 chảy hết 10 giờ.
B. Vòi 1 chảy hết: 4 giờ, vòi 2 chảy hết 8 giờ.
C. Vòi 1 chảy hết: 8 giờ, vòi 2 chảy hết 12 giờ.
D. Vòi 1 chảy hết: 5 giờ, vòi 2 chảy hết 9 giờ.
Lời giải:
Đổi 3 gờ 45 phút = giờ
Gọi thời gian vòi 1 chảy một mình đầy bể là x giờ, x >
Gọi thời gian vòi 2 chảy một mình đầy bể là y giờ, y >
Trong 1 giờ cả hai vòi chảy được là:
Vòi thứ 2 chảy lâu hơn vòi thứ 1 là 4 giờ là y – x = 4
Ta có hệ phương trình:
Từ pt (1) ta có: 15(4 + x) + 15x = 4x(4 + x) ⇔ 4x2 – 14x – 60 = 0 ⇒
Vậy vòi 1 chảy trong 6 giờ, vòi 2 chảy trong 10 giờ.
Chọn đáp án A.
Câu 2: Hai người cùng làm một công việc. Nếu làm riêng, mỗi người nửa việc thì tổng số giờ làm xong việc là 12 giờ 30 phút. Nếu hai người cùng làm thì làm xong trong 6 giờ. Hỏi nếu làm một mình thì mỗi người mất bao lâu thì xong công việc.
A. Người thứ 1 hết: 5 giờ, người thứ 2 hết 10 giờ.
B. Người thứ 1 hết: 10 giờ, người thứ 2 hết 15 giờ.
C. Người thứ 1 hết: 12 giờ, người thứ 2 hết 18 giờ.
D. Người thứ 1 hết: 6 giờ, người thứ 2 hết 10 giờ.
Lời giải:
12 giờ 30 phút = 12,5 giờ
Gọi thời gian người thứ 1 làm xong công việc là x giờ, x > 6
thời gian người thứ 2 làm xong công việc là y giờ, y > 6
vậy người thứ 1 làm trong 10 giờ, người thứ 2 làm trong 15 giờ.
Chọn đáp án B.
Câu 3: Trong một buổi lao động trồng cây, một tổ học sinh được trao nhiệm vụ trồng 56 cây. Vì có 1 bạn trong tổ được phân công làm việc khác nên để trồng đủ số cây được giao, mỗi bạn trong tổ đều trồng tăng thêm 1 cây với dự định ban đầu. Hỏi tổ học sinh có bao nhiêu bạn, biết mỗi cây được phân cho mỗi bạn trồng là như nhau.
A. 8
B. 7
C. 10
D. 12.
Lời giải:
Gọi số cây mỗi bạn trồng theo dự định là x cây, x > 0
số người trong tổ là y bạn, y >1.
Tổ học sinh được giao trồng 56 cây ta có: xy = 56
Sau đó có 1 bạn làm việc khác nên mỗi bạn trong thêm một cây ta có: (x + 1)(y – 1)= 56
Theo đề bài ra ta có:
Chọn đáp án A.
Câu 4: Một đội xe cần chở 480 tấn hàng khi sắp khởi hành đội được điều thêm 3 xe nữa nên mỗi xe chở ít hơn 8 tấn so vơi dự định. Hỏi lúc đầu đội có bao nhiêu xe ? biết mỗi xe chở như nhau.
A. 8
B. 10
C. 12
D. 13.
Lời giải:
Gọi x, y lần lượt là số xe và số hàng mỗi xe trở được lúc đầu. (x > 0, y > 8)
Đội xe chở 480 tấn ta có: xy = 480
Sau đó thêm 3 xe nữa và chở ít đi 8 tấn: (x + 3)(y – 8) = 480
Ta có hệ phương trình:
Vậy đội xe có 12 xe.
Chọn đáp án C.
Câu 5: Hai đội công nhân làm chung trong 12 giờ thì xong công việc. Họ làm chung với nhau trong 4 giờ thì tổ 1 được điều đi làm việc khác, tổ 2 làm nốt trong 10h thì xong công việc. Hỏi mỗi tổ làm riêng thì sau bao lâu thì xong?
A. Tổ 1 hết: 60 giờ, tổ 2 hết 18 giờ.
B. Tổ 1 hết: 40 giờ, tổ 2 hết 20 giờ.
C. Tổ 1 hết: 30 giờ, tổ 2 hết 15 giờ.
D. Tổ 1 hết: 60 giờ, tổ 2 hết 15 giờ.
Lời giải:
Gọi thời gian tổ 1, tổ 2 làm một mình xong công việc lần lượt là x, y (x, y > 12)
Trong 1 giờ cả hai tổ làm được là:
Hai tổ làm chung trong 4 giờ và tổ 2 làm trong 10 giờ thì xong:
Ta có hệ phương trình:
Với y = 15 ⇒ x = 60. Vậy tổ 1 làm trong 60 giờ, tổ 2 làm trong 15 giờ.
Chọn đáp án D.
Câu 6: Một người đi từ A đến B theo thời gian đã định. Nếu người đó tăng vận tốc lên 10km/h thì đến B sớm hơn dự định 1 giờ, nếu người giảm vận tốc 10km/h thì đến B muộn hơn dự định 2 giờ. Tính vận tốc của người đó, và thời gian dự định.
A. V = 30 km/h và t = 4 giờ.
B. V = 40 km/h và t = 2 giờ.
C. V = 35 km/h và t = 3 giờ.
D. V = 40 km/h và t = 4 giờ.
Lời giải:
Gọi vận tốc dự định đi từ A đến B là x (km/h), x > 10.
thời gian dự định đi từ A đến B là y (h), y > 1.
Ta có độ dài quãng đường AB là xy (km)
Nếu tăng vận tốc 10km/h thì đến B sớm hơn 1 giờ ta có: (x + 10)(y – 1) = xy
Nếu giảm vận tốc 10km/h thì đến B muộn hơn 2 giờ ta có: (x – 10)(y + 2) = xy
Ta có hệ phượng trình:
Cộng vế theo vế của pt (1) với pt (2) ta được: x = 30 ⇒ y = 4 (thỏa mãn)
Vậy người đó đi với vận tốc 30km/h, thời gian dự định là 4 giờ.
Chọn đáp án A.
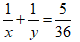
Câu 7: Một ca nô xuôi dòng 1km và ngược dòng 1km hết 3,5 phút. Nếu ca nô xuôi 20km và ngược 15km thì hết 1 giờ. Tính vận tốc dòng nước và vận tốc riêng của ca nô.
A. V nước = 1/12 km/p và V ca nô = 5/12 km/p.
B. V nước = 1/12 km/p và V ca nô = 7/12 km/p.
C. V nước = 5/12 km/p và V ca nô = 7/12 km/p.
D. V nước = 5/12 km/p và V ca nô = 1/12 km/p.
Lời giải:
Gọi vận tốc riêng của ca nô là x km/p (x > 0)
vận tốc riêng của dòng nước là y km/p (y > 0, y < x)
Thời gian ca nô đi xuôi và ngược dòng 1km hết 3,5 phút nên ta có:
Nếu ca nô đi xuôi 20km và ngược 15km thì hết 60 phút, ta có:
Vậy vận tốc của riêng của ca nô là 7/12 (km/p), vận tốc riêng của dòng nước là 1/12 (km/p)
Chọn đáp án B.
Câu 8: Một chiếc xe tải đi từ Hà Nội vào Đà Nẵng, quãng đường là 189 km. Sau khi xe tải đi được 1 giờ thì , một chiếc xe khách đi từ Đà Nẵng ra Hà Nội và gặp xe tải sau khi đã đi được 1h 48 phút. Tính vận tốc của mỗi xe, biết rằng mỗi giờ xe khách đi nhanh hơn xe tải 13km.
A. V xe tải = 36km/h và V xe khách = 46 km/h
B. V xe tải = 32km/h và V xe khách = 40 km/h
C. V xe tải = 36km/h và V xe khách = 49 km/h
D. V xe tải = 30km/h và V xe khách = 40 km/h
Lời giải:
Gọi vận tốc xe tải là x (km/h), x > 0
Vận tốc xe khách là y (km/h) , y > x
Mỗi giờ xe khách đi nhanh hơn xe tải 13km nên ta có: y – x = 13
Vậy vận tốc xe tải là 36km/h và vận tốc xe khách là 49 km/h.
Chọn đáp án C.
Câu 9: Một ca nô đi xuôi dòng từ A đến B và đi ngược lại từ B về A ngay. Thời gian xuôi dòng 5km bằng thời gian ngược dòng 4km và vận tốc của dòng nước là 4km/h. Tính vận tốc thực của ca nô?
A. 32km/h
B. 35km/h
C. 38km/h
D. 36km/h
Lời giải:
Gọi vận tốc xuôi dòng của ca nô là x (km/h), x > 0
Vận tốc ngược dòng của ca nô là y (km/h), 0 < y < x)
Thời gian ca nô xuôi dòng 5km và ngược dòng 4km bằng nhau:
Vậy vận tốc thực của ca nô là 40 – 4 = 36 km/h.
Chọn đáp án D.
Câu 10: Đường sông từ thành phố A đến thành phố B ngắn hơn đường bộ từ thành phố A đến thành phố B là 10km. ca nô đi hết 3 giờ 20 phút, ô tô đi hết 2 giờ.Vận tốc ca nô kém vận tốc ô tô 17km/h. Tính vận tốc ca nô.
A. 18 km/h
B. 38 km/h
C. 24 km/h
D. 40 km/h
Lời giải:
Gọi vận tốc của ca nô là x (km/h), x > 0
Vận tốc của ô tô là x + 17 (km/h)
Gọi quãng đường sông từ A đến B là y km, y > 0
Quãng đường bộ từ A đến B là y + 10 (km)
Đổi 3 giờ 20 phút = 10/3 giờ.
Ta có hệ phương trình:
Vậy của ca nô là 18 km/h.
Chọn đáp án A.
D. Bài tập tự luyện
Bài 1. Hai bạn A và B cùng làm chung một công việc thì hoàn thành sau 6 ngày. Hỏi nếu A làm một mình 3 ngày rồi nghỉ thì B hoàn thành nốt công việc trong thời gian bao lâu? Biết rằng nếu làm một mình xong công việc thì B làm lâu hơn A là 9 ngày.
Bài 2. Hai vòi nước cùng chảy vào một bể không có nước thì sau 2 giờ 55 phút đầy bể. Nếu để chảy một mình thì vòi thứ nhất chảy đầy bể nhanh hơn vòi thứ hai là 2 giờ. Tính thời gian mỗi vòi chảy một mình mà đầy bể.
Bài 3. Hai đội xe chở cát để san lấp một khu đất. Nếu hai đội cùng làm thì trong 18 ngày xong công việc. Nếu đội thứ nhất làm 6 ngày, sau đố đội thứ hai làm tiếp 8 ngày nữa thì được 40% công việc. Hỏi mỗi đội làm một mình bao lâu xong công việc?
Bài 4. Một công nhân dự định làm 72 sản phẩm trong một thời gian đã định. Nhưng thực tế xí nghiệp lại giao 80 sản phẩm. Mặc dù người đó mỗi giờ đã làm thêm một số sản phẩm so với dự kiến, nhưng thời gian hoàn thành công việc vẫn chậm hơn so với dự kiến là 12 phút. Tính số sản phẩm dự kiến làm trong 1 giờ của người đó, biết mỗi gờ người đó làm không quá 20 sản phẩm.
Bài 5. Trên một cánh đồng cấy 60 ha lúa giống mới và 40 ha lúa giống cũ. Thu hoạch được tất cả 460 tấn thóc. Hỏi năng suất mỗi loại lúa trên một ha là bao nhiêu, biết rằng 3 ha trồng lúa mới thu hoạch được ít hơn 4 ha trồng lúa cũ là 1 tấn.
(199k) Xem Khóa học Toán 9 KNTTXem Khóa học Toán 9 CDXem Khóa học Toán 9 CTST
Xem thêm các dạng bài tập Toán lớp 9 chọn lọc, có đáp án chi tiết hay khác:
Tủ sách VIETJACK luyện thi vào 10 cho 2k11 (2026):
Đã có app VietJack trên điện thoại, giải bài tập SGK, SBT Soạn văn, Văn mẫu, Thi online, Bài giảng....miễn phí. Tải ngay ứng dụng trên Android và iOS.
Theo dõi chúng tôi miễn phí trên mạng xã hội facebook và youtube:Loạt bài Chuyên đề: Lý thuyết - Bài tập Toán lớp 9 Đại số và Hình học có đáp án có đầy đủ Lý thuyết và các dạng bài được biên soạn bám sát nội dung chương trình sgk Đại số 9 và Hình học 9.
Nếu thấy hay, hãy động viên và chia sẻ nhé! Các bình luận không phù hợp với nội quy bình luận trang web sẽ bị cấm bình luận vĩnh viễn.
- Giải Tiếng Anh 9 Global Success
- Giải sgk Tiếng Anh 9 Smart World
- Giải sgk Tiếng Anh 9 Friends plus
- Lớp 9 Kết nối tri thức
- Soạn văn 9 (hay nhất) - KNTT
- Soạn văn 9 (ngắn nhất) - KNTT
- Giải sgk Toán 9 - KNTT
- Giải sgk Khoa học tự nhiên 9 - KNTT
- Giải sgk Lịch Sử 9 - KNTT
- Giải sgk Địa Lí 9 - KNTT
- Giải sgk Giáo dục công dân 9 - KNTT
- Giải sgk Tin học 9 - KNTT
- Giải sgk Công nghệ 9 - KNTT
- Giải sgk Hoạt động trải nghiệm 9 - KNTT
- Giải sgk Âm nhạc 9 - KNTT
- Giải sgk Mĩ thuật 9 - KNTT
- Lớp 9 Chân trời sáng tạo
- Soạn văn 9 (hay nhất) - CTST
- Soạn văn 9 (ngắn nhất) - CTST
- Giải sgk Toán 9 - CTST
- Giải sgk Khoa học tự nhiên 9 - CTST
- Giải sgk Lịch Sử 9 - CTST
- Giải sgk Địa Lí 9 - CTST
- Giải sgk Giáo dục công dân 9 - CTST
- Giải sgk Tin học 9 - CTST
- Giải sgk Công nghệ 9 - CTST
- Giải sgk Hoạt động trải nghiệm 9 - CTST
- Giải sgk Âm nhạc 9 - CTST
- Giải sgk Mĩ thuật 9 - CTST
- Lớp 9 Cánh diều
- Soạn văn 9 Cánh diều (hay nhất)
- Soạn văn 9 Cánh diều (ngắn nhất)
- Giải sgk Toán 9 - Cánh diều
- Giải sgk Khoa học tự nhiên 9 - Cánh diều
- Giải sgk Lịch Sử 9 - Cánh diều
- Giải sgk Địa Lí 9 - Cánh diều
- Giải sgk Giáo dục công dân 9 - Cánh diều
- Giải sgk Tin học 9 - Cánh diều
- Giải sgk Công nghệ 9 - Cánh diều
- Giải sgk Hoạt động trải nghiệm 9 - Cánh diều
- Giải sgk Âm nhạc 9 - Cánh diều
- Giải sgk Mĩ thuật 9 - Cánh diều


Giải bài tập SGK & SBT
Tài liệu giáo viên
Sách
Khóa học
Thi online
Hỏi đáp

