Cách giải hệ phương trình đối xứng loại 1 lớp 9 (cực hay)
Bài viết Cách giải hệ phương trình đối xứng loại 1 lớp 9 với phương pháp giải chi tiết giúp học sinh ôn tập, biết cách làm bài tập Cách giải hệ phương trình đối xứng loại 1.
Cách giải hệ phương trình đối xứng loại 1 lớp 9 (cực hay)
(199k) Xem Khóa học Toán 9 KNTTXem Khóa học Toán 9 CDXem Khóa học Toán 9 CTST
A. Phương pháp giải
Hệ phương trình đối xứng loại I theo ẩn x và y làHệ phương trình mà khi ta đổi vai trò của các ẩn x và y thìHệ phương trình vẫn không thay đổi.
Hệ phương trình đối xứng loại I có dạng
Bước 1: Đặt S = x + y, P = xy. Điều kiện: S2 ≥ 4P.
Bước 2: Biến đổi Hệ phương trình có hai ẩn S, P giải ra S và P (sử dụng phương pháp thế hoặc cộng đại số).
Bước 3: Tìm được S và P, khi đó x và y là nghiệm của phương trình bậc hai:
X2 - SX + P = 0
Giải phương trình bậc hai theo ẩn X.
Bước 4: Kết luận nghiệm của hệ phương trình.
Chú ý: Nếu (x0;y0) là nghiệm củaHệ phương trình thì (y0;x0) cũng là nghiệm của hệ phương trình.
B. Ví dụ minh họa
Ví dụ 1: Giải hệ phương trình .
Hướng dẫn:
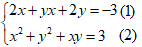
Ví dụ 2: Giải hệ phương trình .
Hướng dẫn:
Vậy hệ phương trình có nghiệm là (1;3), (3;1).
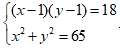
Ví dụ 3: Giải hệ phương trình .
Hướng dẫn:
Điều kiện xác định: x ≥ 0; y ≥ 0.
C. Bài tập trắc nghiệm
Câu 1: Hệ phương trình sau có bao nhiêu nghiệm:
A. 1
B. 2
C. 3
D. 4
Lời giải:
Vậy hệ phương trình có 2 nghiệm là (1;2), (2;1).
Chọn đáp án B.
Câu 2: Hệ phương trình sau có bao nhiêu nghiệm:
A. 1
B. 2
C. 3
D. 4
Lời giải:
Với S = 0 ⇒ P = –3 (tm), Khi đó x và y là nghiệm của phương trình bậc hai.
Với S = –2 ⇒ P = 1 (tm), Khi đó x và y là nghiệm của phương trình bậc hai.
Chọn đáp án C.
Câu 3: Hệ phương trình sau có bao nhiêu nghiệm:
A. 1
B. 2
C. 3
D. 4
Lời giải:
Với S = – 8 ⇒ P = 13 (tm), Khi đó x và y là nghiệm của phương trình bậc hai.
Với S = 3 ⇒ P = 2 (tm), Khi đó x và y là nghiệm của phương trình bậc hai.
Suy ra hệ có 2 nghiệm là (1; 2); (2;1)
Vậy hệ phương trình có 4 nghiệm là: (1; 2); (2;1); .
Chọn đáp án D.
Câu 4: Hệ phương trình sau: . Chọn nghiệm đúng của hệ phương trình.
A. (4;7) và (7;4)
B. (-1;-8) và (-8;-1)
C. (1;2) và (2;1)
D. A và B
Lời giải:
Với S = – 9 ⇒ P = 8 (tm), Khi đó x và y là nghiệm của phương trình bậc hai.
Suy ra hệ có 2 nghiệm là:(–1; –8); (–8; –1);
Với S = 11 ⇒ P = 28 (tm), Khi đó x và y là nghiệm của phương trình bậc hai.
Suy ra hệ có 2 nghiệm là (4;7); (7;4)
Vậy hệ phương trình có 4 nghiệm là: (4;7); (7;4); (–1;–8); (–8;–1).
Chọn đáp án D.
Câu 5: Hệ phương trình sau: . Đâu không phải là nghiệm đúng của hệ phương trình.
A. (1;6) và (6;1)
B. (2;3) và (3;2)
C. (–3;–7)
D. (–7;–3)
Lời giải:
Với S = – 10 ⇒ P = 21 (tm), Khi đó x và y là nghiệm của phương trình bậc hai.
Suy ra hệ có 2 nghiệm là:(–3; –7); (–7; –3);
Với S = 5 ⇒ P = 6 (tm), Khi đó x và y là nghiệm của phương trình bậc hai.
Suy ra hệ có 2 nghiệm là (2; 3); (3;2);
Vậy hệ phương trình có 4 nghiệm là: (2; 3); (3;2); (–3; –7); (–7; –3).
Chọn đáp án A.
Câu 6: Hệ phương trình sau: . Khẳng định nào sau đây không đúng?
A. Hệ phương trình có 2 nghiệm.
B. Hệ phương trình vô số nghiệm.
C. Một nghiệm của hệ là: (–2;3).
D. Nghiệm của hệ là: (–2;3); ((3;–2).
Lời giải:
Với S = 1 ⇒ P = – 6 (tm), Khi đó x và y là nghiệm của phương trình bậc hai.
Vậy hệ có 2 nghiệm là:(3;–2); (–2;3).
Chọn đáp án B.
Câu 7: Hệ phương trình sau: . Khẳng định nào sau đây không sai?
A. Hệ phương trình có 1 nghiệm.
B. Hệ phương trình vô số nghiệm.
C. Một nghiệm của hệ là: (–2; 0).
D. Nghiệm của hệ là: (2; 0);(0; 2).
Lời giải:
Với S = 2 ⇒ P = 0 (tm), Khi đó x và y là nghiệm của phương trình bậc hai.
Vậy hệ có 2 nghiệm là:(0; 2); (2; 0).
Chọn đáp án D.
Câu 8: Hệ phương trình sau: . Khẳng định nào sau đây sai ?
A. Hệ phương trình có 4 nghiệm.
B. Hai nghiệm (1;2) và (2;1) là nghiệm của hệ phương trình.
C. Hệ phương trình có 2 nghiệm.
D. A, B đúng.
Lời giải:
Với S = – 2 ⇒ P = – 3 (tm), Khi đó x và y là nghiệm của phương trình bậc hai.
Suy ra hệ có 2 nghiệm là:(–3; 1); (1; –3)
Với S = 3 ⇒ P = 2 (tm), Khi đó x và y là nghiệm của phương trình bậc hai.
Suy ra hệ có 2 nghiệm là (1; 2); (2; 1);
Vậy hệ phương trình có 4 nghiệm là: (1; 2); (2; 1); (–3; 1); (1; –3).
Chọn đáp án C.
Câu 9: Hệ phương trình sau: . Khẳng định nào sau đây đúng?
A. Hệ phương trình có 2 nghiệm.
B. Hệ phương trình 4 nghiệm.
C. Một nghiệm của hệ là: (2; 4).
D. Hai nghiệm của hệ là (2;4); (4;2)
Lời giải:
Với S = 5 ⇒ P = 6 (tm), Khi đó x và y là nghiệm của phương trình bậc hai.
Vậy hệ có 2 nghiệm là: (2; 3); (3; 2).
Chọn đáp án A.
Câu 10: Cho hệ phương trình: . Với giá trị nào của m để hệ có nghiệm thực?
Lời giải:
Chọn đáp án B.
D. Bài tập tự luyện
Bài 1. Tập nghiệm của các hệ phương trình sau:
a)
b)
c)
Bài 2. Cho hệ phương trình:
a) Hãy tìm điều kiện xác định;
b) Giải hệ phương trình đã cho;
c) Tính 3x2 – 5y + 1.
Bài 3. Cho hệ phương trình: . Hệ phương trình có bao nhiêu nghiệm?
Bài 4. Tìm m để hệ phương trình sau có nghiệm:
Bài 5. Cho x, y, z là nghiệm của hệ phương trình . Chứng minh rằng: ?
(199k) Xem Khóa học Toán 9 KNTTXem Khóa học Toán 9 CDXem Khóa học Toán 9 CTST
Xem thêm các dạng bài tập Toán lớp 9 chọn lọc, có đáp án chi tiết hay khác:
Tủ sách VIETJACK luyện thi vào 10 cho 2k11 (2026):
Đã có app VietJack trên điện thoại, giải bài tập SGK, SBT Soạn văn, Văn mẫu, Thi online, Bài giảng....miễn phí. Tải ngay ứng dụng trên Android và iOS.
Theo dõi chúng tôi miễn phí trên mạng xã hội facebook và youtube:Loạt bài Chuyên đề: Lý thuyết - Bài tập Toán lớp 9 Đại số và Hình học có đáp án có đầy đủ Lý thuyết và các dạng bài được biên soạn bám sát nội dung chương trình sgk Đại số 9 và Hình học 9.
Nếu thấy hay, hãy động viên và chia sẻ nhé! Các bình luận không phù hợp với nội quy bình luận trang web sẽ bị cấm bình luận vĩnh viễn.
- Giải Tiếng Anh 9 Global Success
- Giải sgk Tiếng Anh 9 Smart World
- Giải sgk Tiếng Anh 9 Friends plus
- Lớp 9 Kết nối tri thức
- Soạn văn 9 (hay nhất) - KNTT
- Soạn văn 9 (ngắn nhất) - KNTT
- Giải sgk Toán 9 - KNTT
- Giải sgk Khoa học tự nhiên 9 - KNTT
- Giải sgk Lịch Sử 9 - KNTT
- Giải sgk Địa Lí 9 - KNTT
- Giải sgk Giáo dục công dân 9 - KNTT
- Giải sgk Tin học 9 - KNTT
- Giải sgk Công nghệ 9 - KNTT
- Giải sgk Hoạt động trải nghiệm 9 - KNTT
- Giải sgk Âm nhạc 9 - KNTT
- Giải sgk Mĩ thuật 9 - KNTT
- Lớp 9 Chân trời sáng tạo
- Soạn văn 9 (hay nhất) - CTST
- Soạn văn 9 (ngắn nhất) - CTST
- Giải sgk Toán 9 - CTST
- Giải sgk Khoa học tự nhiên 9 - CTST
- Giải sgk Lịch Sử 9 - CTST
- Giải sgk Địa Lí 9 - CTST
- Giải sgk Giáo dục công dân 9 - CTST
- Giải sgk Tin học 9 - CTST
- Giải sgk Công nghệ 9 - CTST
- Giải sgk Hoạt động trải nghiệm 9 - CTST
- Giải sgk Âm nhạc 9 - CTST
- Giải sgk Mĩ thuật 9 - CTST
- Lớp 9 Cánh diều
- Soạn văn 9 Cánh diều (hay nhất)
- Soạn văn 9 Cánh diều (ngắn nhất)
- Giải sgk Toán 9 - Cánh diều
- Giải sgk Khoa học tự nhiên 9 - Cánh diều
- Giải sgk Lịch Sử 9 - Cánh diều
- Giải sgk Địa Lí 9 - Cánh diều
- Giải sgk Giáo dục công dân 9 - Cánh diều
- Giải sgk Tin học 9 - Cánh diều
- Giải sgk Công nghệ 9 - Cánh diều
- Giải sgk Hoạt động trải nghiệm 9 - Cánh diều
- Giải sgk Âm nhạc 9 - Cánh diều
- Giải sgk Mĩ thuật 9 - Cánh diều


Giải bài tập SGK & SBT
Tài liệu giáo viên
Sách
Khóa học
Thi online
Hỏi đáp

