Cách giải hệ phương trình đặc biệt, nâng cao lớp 9 (cực hay)
Bài viết Cách giải hệ phương trình đặc biệt lớp 9 với phương pháp giải chi tiết giúp học sinh ôn tập, biết cách làm bài tập Cách giải hệ phương trình đặc biệt.
Cách giải hệ phương trình đặc biệt, nâng cao lớp 9 (cực hay)
(199k) Xem Khóa học Toán 9 KNTTXem Khóa học Toán 9 CDXem Khóa học Toán 9 CTST
A. Phương pháp giải
Sử dụng các phương pháp thế, cộng đại số, đặt ẩn phụ.
B. Ví dụ minh họa
Ví dụ 1: Cho hệ phương trình (m là tham số).
Hãy tìm các giá trị của m để hệ phương trình có nghiệm (x,y) sao cho biểu thức A = xy + 2(X+y) đạt giá trị nhỏ nhất. Tìm giá trị nhỏ nhất đó.
Hướng dẫn giải:
Ví dụ 2: : Tính giá trị của biểu thức M = a2+b2 biết a, b thỏa mãn:
Hướng dẫn giải:
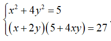
Ví dụ 3: Giải hệ phương trình
Hướng dẫn giải:
C. Bài tập trắc nghiệm
Câu 1: Giải hệ phương trình
có bao nhiêu nghiệm là?
A. 1 B. 2 C. 3 D. 4
Lời giải:
Đáp án: D
Câu 2: Cho hệ phương trình
. Hệ có bao nhiêu nghiệm nguyên?
A. 1 B. 2 C. 3 D. 4
Lời giải:
Đáp án: A
Ta có:
Câu 3: Cho hệ phương trình
. Nghiệm của hệ phương trình là:
Lời giải:
Đáp án: B
Câu 4: Cho hệ phương trình
. Tính x + y = ?
A. 5 B.6 C.7 D.8
Lời giải:
Đáp án: C
Vậy nghiệm của hệ phương trình là (5;2). Do đó x + y = 7.
Câu 5: Cho hệ phương trình
hệ phương trình có bao nhiêu nghiệm nguyên là?
A. 1 B. 2 C. 3 D. 4
Lời giải:
Đáp án: D
Câu 6: Cho hệ phương trình
. Nghiệm của hệ phương trình là?
Lời giải:
Đáp án: A
Câu 7: Cho hệ phương trình sau:
khẳng định nào sau đây đúng?
A. Hệ phương trình có một nghiệm
B. Hệ phương trình hai nghiệm
C. Hệ phượng trình có ba nghiệm
D. Hệ phương trình có bốn nghiệm
Lời giải:
Đáp án: D
Câu 8: Cho hệ phương trình:
hệ có nghiệm là?
A, (-1;0), (-1;2) B. (1;0), (-1;2) C. (-1;2), (-1;0) D. (0;2), (1;2)
Lời giải:
Đáp án: B
Câu 9: Cho hệ phương trình:
.hệ có bao nhiêu nghiệm?
A. 1 B. 2 C. 3 D. 4
Lời giải:
Đáp án: D
Câu 10: Cho hệ phương trình sau:
hệ có bao nhiêu nghiệm nguyên?
A. 1 B. 2 C. 3 D. 4
Lời giải:
Đáp án: B
D. Bài tập tự luyện
Bài 1. Giải hệ phương trình và cho biết hệ phương trình có bao nhiêu nghiệm?
Bài 2. Các hệ phương trình dưới đây có bao nhiêu nghiệm nguyên:
a)
b)
c)
d) .
Bài 3. Tập nghiệm của các hệ phương trình:
a)
b)
Bài 4. Bạn Dũng giải hệ phương trình cho ra kết luận “Hệ phương trình vô nghiệm”. Theo em kết luận của bạn Dũng đúng hay sai (nếu sai em hãy chữa lại).
Bài 5. Cho hệ phương trình . Hãy tính x + y + z?
(199k) Xem Khóa học Toán 9 KNTTXem Khóa học Toán 9 CDXem Khóa học Toán 9 CTST
Xem thêm các dạng bài tập Toán lớp 9 chọn lọc, có đáp án chi tiết hay khác:
Cách giải hệ phương trình bậc nhất hai ẩn chứa tham số cực hay
Tìm điều kiện của m để hệ phương trình có nghiệm duy nhất cực hay
Cách tìm hệ thức liên hệ giữa x và y không phụ thuộc vào m của hệ phương trình
Tủ sách VIETJACK luyện thi vào 10 cho 2k11 (2026):
Đã có app VietJack trên điện thoại, giải bài tập SGK, SBT Soạn văn, Văn mẫu, Thi online, Bài giảng....miễn phí. Tải ngay ứng dụng trên Android và iOS.
Theo dõi chúng tôi miễn phí trên mạng xã hội facebook và youtube:Loạt bài Chuyên đề: Lý thuyết - Bài tập Toán lớp 9 Đại số và Hình học có đáp án có đầy đủ Lý thuyết và các dạng bài được biên soạn bám sát nội dung chương trình sgk Đại số 9 và Hình học 9.
Nếu thấy hay, hãy động viên và chia sẻ nhé! Các bình luận không phù hợp với nội quy bình luận trang web sẽ bị cấm bình luận vĩnh viễn.
- Giải Tiếng Anh 9 Global Success
- Giải sgk Tiếng Anh 9 Smart World
- Giải sgk Tiếng Anh 9 Friends plus
- Lớp 9 Kết nối tri thức
- Soạn văn 9 (hay nhất) - KNTT
- Soạn văn 9 (ngắn nhất) - KNTT
- Giải sgk Toán 9 - KNTT
- Giải sgk Khoa học tự nhiên 9 - KNTT
- Giải sgk Lịch Sử 9 - KNTT
- Giải sgk Địa Lí 9 - KNTT
- Giải sgk Giáo dục công dân 9 - KNTT
- Giải sgk Tin học 9 - KNTT
- Giải sgk Công nghệ 9 - KNTT
- Giải sgk Hoạt động trải nghiệm 9 - KNTT
- Giải sgk Âm nhạc 9 - KNTT
- Giải sgk Mĩ thuật 9 - KNTT
- Lớp 9 Chân trời sáng tạo
- Soạn văn 9 (hay nhất) - CTST
- Soạn văn 9 (ngắn nhất) - CTST
- Giải sgk Toán 9 - CTST
- Giải sgk Khoa học tự nhiên 9 - CTST
- Giải sgk Lịch Sử 9 - CTST
- Giải sgk Địa Lí 9 - CTST
- Giải sgk Giáo dục công dân 9 - CTST
- Giải sgk Tin học 9 - CTST
- Giải sgk Công nghệ 9 - CTST
- Giải sgk Hoạt động trải nghiệm 9 - CTST
- Giải sgk Âm nhạc 9 - CTST
- Giải sgk Mĩ thuật 9 - CTST
- Lớp 9 Cánh diều
- Soạn văn 9 Cánh diều (hay nhất)
- Soạn văn 9 Cánh diều (ngắn nhất)
- Giải sgk Toán 9 - Cánh diều
- Giải sgk Khoa học tự nhiên 9 - Cánh diều
- Giải sgk Lịch Sử 9 - Cánh diều
- Giải sgk Địa Lí 9 - Cánh diều
- Giải sgk Giáo dục công dân 9 - Cánh diều
- Giải sgk Tin học 9 - Cánh diều
- Giải sgk Công nghệ 9 - Cánh diều
- Giải sgk Hoạt động trải nghiệm 9 - Cánh diều
- Giải sgk Âm nhạc 9 - Cánh diều
- Giải sgk Mĩ thuật 9 - Cánh diều


Giải bài tập SGK & SBT
Tài liệu giáo viên
Sách
Khóa học
Thi online
Hỏi đáp

