Cách giải hệ phương trình bậc nhất hai ẩn chứa tham số lớp 9 (cực hay)
Bài viết Cách giải hệ phương trình bậc nhất hai ẩn chứa tham số lớp 9 với phương pháp giải chi tiết giúp học sinh ôn tập, biết cách làm bài tập Cách giải hệ phương trình bậc nhất hai ẩn chứa tham số.
Cách giải hệ phương trình bậc nhất hai ẩn chứa tham số lớp 9 (cực hay)
(199k) Xem Khóa học Toán 9 KNTTXem Khóa học Toán 9 CDXem Khóa học Toán 9 CTST
A. Phương pháp giải
B. Ví dụ minh họa
Ví dụ 1: Cho hệ phương trình . Tìm điều kiện của m để phương trình có nghiệm duy nhất.
Hướng dẫn:
Ví dụ 2: Cho hệ phương trình . Tìm điều kiện của m để phương trình có nghiệm duy nhất và tìm nghiệm duy nhất đó.
Hướng dẫn:
Ví dụ 3: Cho hệ phương trình (m là tham số).
a) Giải hệ phương trình với m = 2.
b) Tìm m để hệ phương trình có nghiệm (x;y) thỏa mãn x2 + y2 = 5.
Hướng dẫn:
C. Bài tập trắc nghiệm
Cho hệ phương trình sau (I):
Câu 1: Với m đạt giá trị nào để hệ phương trình có nghiệm duy nhất.
A. m = 1
B. m = –1
C. m ≠ 1
D. m ≠ 0
Lời giải:
Thế x = 3 – y vào pt: –m(3 – y) – y = 2m ⇒ (m -1)y = 5m (1)
Để hệ phương trình có nghiệm duy nhất ⇔ m -1 ≠ 0 ⇔ m ≠ 1.
Vậy với m ≠ 1 thì hệ phương trình (I) có nghiệm duy nhất.
Chọn đáp án C.
Câu 2: Với m đạt giá trị nào để hệ phương trình có vô số nghiệm.
A. m = 1
B. m = –1
C. không có
D. Mọi m nguyên dương
Lời giải:
Từ pt (1): Để hệ (I) có vô số nghiệm (vô lý).
Vậy không có giá trị nào của m thỏa mãn.
Chọn đáp án C.
Câu 3: Với m đạt giá trị nào để hệ phương trình vô nghiệm.
A. m = 1
B. m = –1
C. m ≠ –1
D. m ≠ 0
Lời giải:
Từ pt (1): Để hệ (I) vô nghiệm
Vậy với m = 1 thì hệ phương trinh (I) vô nghiệm.
Chọn đáp án A.
Câu 4: Cho hệ phương trình sau: . Khẳng định nào sau đây là không đúng?
A. Hệ phương trình (I) có nghiệm duy nhất khi m ≠ ±2.
B. Hệ phương trình (I) có vô số nghiệm khi m = 2.
C. Hệ phương trình (I) vô nghiệm khi m = –2
D. khẳng định A, B sai.
Lời giải:
Ta có:
Thế y = mx – 1 vào pt: 4x – my = 2 ⇒ 4x – m(mx – 1) = 2 ⇔ (4 – m2)x = 2 – m (1).
Để hệ (I) có nghiệm duy nhất (4 - m2) ≠ 0 ⇒ m2 ≠ 4⇒m ≠ ±2.
Vậy với m ≠ ±2 thì hệ có nghiệm duy nhất.
Vậy với m = –2 thì hệ vô nghiệm.
Chọn đáp án D.
Câu 5: Cho hệ phương trình sau: . Với m = 1 thì hệ có nghiệm là?
A. (x;y) = (2;1)
B. (x;y) = (1;2)
C. (x;y) = (2;–1)
D. (x;y) = (1;1)
Lời giải:
Từ pt (2) ⇒ y = 5 – 2x.
3x – 2(5 – 2x) = 4 ⇔ 3x + 4x – 10 = 4 ⇔ 7x = 14 ⇔ x = 2.
Với x = 2 thì y = 5 – 2.2 = 1.
Vậy nghiệm của hệ phương trình là (x;y) = (2;1).
Chọn đáp án A.
Câu 6: Cho hệ phương trình sau: có nghiệm là?
Lời giải:
Chọn đáp án B.
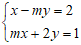
Câu 7: Cho hệ phương trình sau: có là nghiệm của hệ phương trình không?
A. Có
B. Không.
Lời giải:
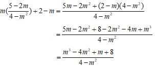
Thay vào vế trái phương trình (1) ta được:
Mà vế phải của phương trình (1) bằng 2. Do đó vế trái và vế phải của phương trình (1) khác nhau, hay không phải là nghiệm của hệ phương trình.
Vậy Nghiệm không phải là nghiệm của hệ phương trình.
Chọn đáp án B.
Câu 8: Cho hệ phương trình sau: . Với giá trị nào của m để hệ có nghiệm (x;y) trong đó x = 2.
A. m = 1
B. m = 2
C. m = 4
D. m = 5
Lời giải:
Vậy m = 1.
Chọn đáp án A.
Câu 9: Cho hệ phương trình sau: . Bạn Nam nói hệ có nghiệm duy nhất khi m ≠ ±1, và bạn Tùng nói không có giá trị nào của m thỏa mãn để hệ vô nghiệm. Nam và Tùng nói đúng hay sai?
A. Cả hai bạn Nam và Tùng đều sai.
B. Cả hai bạn Nam và Tùng đều đúng.
C. Bạn Nam sai, bạn Tùng đúng.
D. bạn Nam đúng, bạn Tùng sai.
Lời giải:
Thay y = –m – x vào pt (1) ta được: mx + (–m – x) = – 1 ⇔ (m – 1)x = m – 1
Để hệ phương trình có nghiệm duy nhất ⇔(m-1) ≠ 0⇒m ≠ 1
Vậy với m ≠ 1 thì hệ có nghiệm duy nhất.
Để hệ phương trình vô nghiệm
Vậy không có giá nào của m để hệ vô nghiệm.
Vậy bạn Nam trả lời sai, bạn Tùng trả lời đúng.
Chọn đáp án C.
Câu 10: Cho hệ phương trình: . Nghiệm nào sau đây là nghiệm của hệ phương trình?
A. (m;m).
B. (m – 1;m)
C. (m;m – 1)
D. (- m;- m)
Lời giải:
Vì nên hệ phương trình có nghiệm duy nhất.
Nhân pt (1) với 1 và pt (2) với 2, ta được:
Cộng vế theo vế của pt (3) và pt (4) ta được: 5x = 5m ⇔ x = m.
Với x = m ⇒ y = 2m – m = m.
Vậy nghiệm của hệ phương trình là: (m;m).
Chọn đáp án A.
(199k) Xem Khóa học Toán 9 KNTTXem Khóa học Toán 9 CDXem Khóa học Toán 9 CTST
Xem thêm các dạng bài tập Toán lớp 9 chọn lọc, có đáp án chi tiết hay khác:
Tủ sách VIETJACK luyện thi vào 10 cho 2k11 (2026):
Đã có app VietJack trên điện thoại, giải bài tập SGK, SBT Soạn văn, Văn mẫu, Thi online, Bài giảng....miễn phí. Tải ngay ứng dụng trên Android và iOS.
Theo dõi chúng tôi miễn phí trên mạng xã hội facebook và youtube:Loạt bài Chuyên đề: Lý thuyết - Bài tập Toán lớp 9 Đại số và Hình học có đáp án có đầy đủ Lý thuyết và các dạng bài được biên soạn bám sát nội dung chương trình sgk Đại số 9 và Hình học 9.
Nếu thấy hay, hãy động viên và chia sẻ nhé! Các bình luận không phù hợp với nội quy bình luận trang web sẽ bị cấm bình luận vĩnh viễn.
- Giải Tiếng Anh 9 Global Success
- Giải sgk Tiếng Anh 9 Smart World
- Giải sgk Tiếng Anh 9 Friends plus
- Lớp 9 Kết nối tri thức
- Soạn văn 9 (hay nhất) - KNTT
- Soạn văn 9 (ngắn nhất) - KNTT
- Giải sgk Toán 9 - KNTT
- Giải sgk Khoa học tự nhiên 9 - KNTT
- Giải sgk Lịch Sử 9 - KNTT
- Giải sgk Địa Lí 9 - KNTT
- Giải sgk Giáo dục công dân 9 - KNTT
- Giải sgk Tin học 9 - KNTT
- Giải sgk Công nghệ 9 - KNTT
- Giải sgk Hoạt động trải nghiệm 9 - KNTT
- Giải sgk Âm nhạc 9 - KNTT
- Giải sgk Mĩ thuật 9 - KNTT
- Lớp 9 Chân trời sáng tạo
- Soạn văn 9 (hay nhất) - CTST
- Soạn văn 9 (ngắn nhất) - CTST
- Giải sgk Toán 9 - CTST
- Giải sgk Khoa học tự nhiên 9 - CTST
- Giải sgk Lịch Sử 9 - CTST
- Giải sgk Địa Lí 9 - CTST
- Giải sgk Giáo dục công dân 9 - CTST
- Giải sgk Tin học 9 - CTST
- Giải sgk Công nghệ 9 - CTST
- Giải sgk Hoạt động trải nghiệm 9 - CTST
- Giải sgk Âm nhạc 9 - CTST
- Giải sgk Mĩ thuật 9 - CTST
- Lớp 9 Cánh diều
- Soạn văn 9 Cánh diều (hay nhất)
- Soạn văn 9 Cánh diều (ngắn nhất)
- Giải sgk Toán 9 - Cánh diều
- Giải sgk Khoa học tự nhiên 9 - Cánh diều
- Giải sgk Lịch Sử 9 - Cánh diều
- Giải sgk Địa Lí 9 - Cánh diều
- Giải sgk Giáo dục công dân 9 - Cánh diều
- Giải sgk Tin học 9 - Cánh diều
- Giải sgk Công nghệ 9 - Cánh diều
- Giải sgk Hoạt động trải nghiệm 9 - Cánh diều
- Giải sgk Âm nhạc 9 - Cánh diều
- Giải sgk Mĩ thuật 9 - Cánh diều


Giải bài tập SGK & SBT
Tài liệu giáo viên
Sách
Khóa học
Thi online
Hỏi đáp

