Cách tìm hệ thức liên hệ giữa x và y không phụ thuộc vào m của hệ phương trình
Bài viết Cách tìm hệ thức liên hệ giữa x và y không phụ thuộc vào m của hệ phương trình lớp 9 với phương pháp giải chi tiết giúp học sinh ôn tập, biết cách làm bài tập Cách tìm hệ thức liên hệ giữa x và y không phụ thuộc vào m của hệ phương trình.
- Cách giải bài tập tìm hệ thức liên hệ giữa x và y không phụ thuộc vào m của hệ phương trình
- Ví dụ minh họa tìm hệ thức liên hệ giữa x và y không phụ thuộc vào m của hệ phương trình
- Bài tập trắc nghiệm tìm hệ thức liên hệ giữa x và y không phụ thuộc vào m của hệ phương trình
- Bài tập tự luyện tìm hệ thức liên hệ giữa x và y không phụ thuộc vào m của hệ phương trình
Cách tìm hệ thức liên hệ giữa x và y không phụ thuộc vào m của hệ phương trình
(199k) Xem Khóa học Toán 9 KNTTXem Khóa học Toán 9 CDXem Khóa học Toán 9 CTST
A. Phương pháp giải
Phương pháp:
Bước 1: Tìm điều kiện của m để hệ có nghiệm duy nhất.
Bước 2: Dùng phương pháp cộng đại số hoặc thế để làm mất tham số m.
Bước 3: Kết luận.
B. Ví dụ minh họa
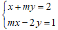
Ví dụ 1: Cho hệ phương trình (m là tham số). Tìm m để hệ phương trình có nghiệm duy nhất. Khi đó, hệ thức liên hệ giữa x và y không phụ thuộc vào m.
Hướng dẫn:
Hệ phương trình có nghiệm duy nhất
Vậy với m ≠ ± 1 thì hệ phương trình có nghiệm duy nhất.
Ta có:
Cộng hai vế của hai phương trình ta khử được tham số m. Hệ thức cần tìm là x + y = -3.
Ví dụ 2: Cho hệ phương trình sau: .(m là tham số). Tìm m để hệ phương trình có nghiệm duy nhất. Khi đó, hệ thức liên hệ giữa x (x > 0) và y không phụ thuộc vào m.
Hướng dẫn:
Để hệ phương trình có nghiệm duy nhất khi:
Vậy x2 + xy – 1 – y = 0 là hệ thức không phụ thuộc vào m.
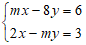
Ví dụ 3: Cho hệ phương trình: (I) .(m là tham số). với giá trị nào của thì hệ có nghiệm duy nhất, tìm hệ thức liên hệ giữa x và y không phụ thuộc vào m.
Hướng dẫn:
Vì nên hệ phương trình có nghiệm duy nhất với mọi m.
Trừ vế theo vế của pt (1) với pt (2) ta được: 3y = 3m – 3 ⇔ y = m - 1
Thế y = m - 1 vào pt: x – 2y = 2 ⇔ x – 2(m – 1) = 2 ⇔ x = 2m
Vậy hệ phương trình có nghiệm là: x = 2m; y = m – 1
hay . Lấy (3) trừ (4) ta được: x – 2y = 2 ⇒ x – 2y – 2 = 0
Vậy: x – 2y – 2 = 0 là biểu thức liên hệ không phụ thuộc vào m.
C. Bài tập trắc nghiệm
Câu 1: Cho hệ phương trình: (I) . (m là tham số). với giá trị nào của thì hệ có nghiệm duy nhất, tìm hệ thức liên hệ giữa x và y không phụ thuộc vào m.
A. 3x + 8y – 7 = 0
B. 3x – 8y – 7 = 0
C. x + 8y – 7 = 0
D. 2x – 8y + 7 = 0
Lời giải:
Vì nên hệ phương trình có nghiệm duy nhất với mọi m.
Thế m = x + y vào pt: 2x – 3y = 5m – 7 ta được:
⇒ 2x – 3y = 5(x + y) – 7
⇔ 2x – 3y = 5x + 5y – 7
⇔ 3x + 8y – 7 = 0.
Vậy 3x + 8y – 7 = 0.là biểu thức giữa x và y không phị thuộc vào m.
Chọn đáp án A.
Câu 2: Cho hệ phương trình: .(m là tham số). với giá trị nào của thì hệ có nghiệm duy nhất, tìm hệ thức liên hệ giữa x và y không phụ thuộc vào m.
A. x + y – 7 = 0
B. x – y – 16 = 0
C. 2x + y – 16 = 0
D. x – 16y + 16 = 0
Lời giải:
Vì nên hệ phương trình có nghiệm duy nhất với mọi m.
Từ pt: x + y = m + 4 ⇒ m = x + y – 4. Thế m vào pt: 2x + 3y = 4m ta được:
⇒ 2x + 3y = 4(x + y – 4)
⇔ 2x + 3y = 4x + 4y – 16
⇔ 2x + y – 16 = 0.
Vậy 2x + y – 16 = 0.là biểu thức giữa x và y không phị thuộc vào m.
Chọn đáp án C.
Câu 3: Cho hệ phương trình: .(m là tham số). với giá trị nào của thì hệ có nghiệm duy nhất, tìm hệ thức liên hệ giữa x và y không phụ thuộc vào m.
A. x + 3y – 30 = 0
B. 2x – y – 6 = 0
C. 2x + 6y – 30 = 0
D. 3x + 12y – 32 = 0
Lời giải:
Vì , nên hệ phương trình có nghiệm duy nhất với mọi m.
Từ pt: x + y = m + 6 ⇒ m = x + y – 6. Thế m vào pt: 2x – 7y = 5m – 2 ta được:
⇒ 2x – 7y = 5(x + y – 6) – 2
⇔ 2x – 7y = 5x + 5y – 30 – 2
⇔ 3x + 12y – 32 = 0.
Vậy 3x + 12 y – 32 = 0.là biểu thức giữa x và y không phụ thuộc vào m.
Chọn đáp án D.
Câu 4: Cho hệ phương trình: .(m là tham số). với giá trị nào của thì hệ có nghiệm duy nhất, tìm hệ thức liên hệ giữa x và y không phụ thuộc vào m. Trong các khẳng định sau khẳng định nào đúng? (x, y > 0).
A. Hệ phương trình có nghiệm với mọi m và biểu thức liên hệ x và y: 5x + y + 10 = 0
B. Hệ phương trình có nghiệm với mọi m và biểu thức liên hệ x và y: 6x – y – 9 = 0
C. Hệ phương trình có nghiệm với m và biểu thức liên hệ x và y: 2x + 6y – 30 = 0
D. Hệ phương trình có nghiệm với m và biểu thức liên hệ x và y: 4x2 – y2 – 2x - y = 0
Lời giải:
Vậy 4x2 - y2 - y - 2x = 0 là biểu thức giữa x và y không phị thuộc vào m.
Chọn đáp án D.
Câu 5: Cho hệ phương trình: .(m là tham số). Tìm hệ thức liên hệ giữa x và y không phụ thuộc vào m. (x, y > 0).
A. 3x2 – 5y – 2x + 5 = 0
B. x2 – y – 2x + 5 = 0
C. x2 – y2 – 2x + 8 = 0
D. 2x2 – 8y2 – 6y – 3x = 0
Lời giải:
Vậy 2x2 - 8y2 - 6y - 3x = 0 là biểu thức giữa x và y không phị thuộc vào m.
Chọn đáp án D.
Câu 6: Cho hệ phương trình: .(m là tham số). với giá trị nào của thì hệ có nghiệm duy nhất, hệ thức (P) liên hệ giữa x và y không phụ thuộc vào m. tìm hệ thức 2P ? (x, y > 0).
A. 2x2 - 8y2 - 6y - 4x = 0
B. 6x2 - 8y2 - 6y - 4x = 0
C. 2x2 + 4y2 + 2y - 4x = 0
D. x2 + 2y2 + y - 2x = 0
Lời giải:
Vậy (P) x2 + 2y2 + y - 2x = 0 là biểu thức giữa x và y không phụ thuộc vào m
hay (2P): 2x2 + 4y2 + 2y - 4x = 0
Chọn đáp án C.
Câu 7: Cho hệ phương trình: .(m là tham số). Gọi hệ thức liên hệ giữa x và y không phụ thuộc vào m là P. Tìm hệ thức 2P. (x, y > 0).
A. 2x2 - 8y2 - 6y - 4x = 0
B. 6x2 - 8y2 - 6y - 4x = 0
C. 2x2 + 4y2 + 2y - 4x = 0
D. x2 + 2y2 + y - 2x = 0
Lời giải:
Vậy (P) x2 +2y2 + y - 2x = 0 là biểu thức giữa x và y không phụ thuộc vào m
hay (2P): 2x2 +4y2 + 2y - 4x = 0.
Chọn đáp án C.
Câu 8: Cho hệ phương trình: .(m là tham số). Gọi hệ thức liên hệ giữa x và y không phụ thuộc vào m là P. tìm hệ thức (P) : 2 ? (x, y > 0).
Lời giải:
Vì nên hệ phương trình có nghiệm duy nhất mọi m:
Từ pt (2) thế m = 2x – 3y vào pt (1) ta được :
⇒ 2x + 4y = 2(2x – 3y) + 6 ⇔ 2x – 10y + 6 = 0 (P)
Vậy (P) 2x – 10y + 6 = 0 là biểu thức giữa x và y không phị thuộc vào m
hay (P) : 2 là x – 5y + 3 = 0.
Chọn đáp án D.
Câu 9: Cho hệ phương trình: .(m là tham số). với giá trị nào của thì hệ có nghiệm duy nhất, hệ thức liên hệ giữa x và y không phụ thuộc vào m. Tìm hằng số tự do? (x, y > 0).
A. 8
B. 6
C. 1
D. 0
Lời giải:
Hệ phương trình có nghiệm duy nhất khi:
Từ pt (2) thế m = x + y – 1 vào pt (1) ta được :
⇒ 2x(x + y – 1) + 3y = x + y – 1
⇔ 2x2 + 2xy – 2x + 3y = x + y – 1
⇔ 2x2 + 2xy – 3x + 2y + 1 = 0 (P)
Vậy (P) 2x2 + 2xy – 3x + 2y + 1 = 0 là biểu thức giữa x và y không phị thuộc vào m
Vậy hằng số tự do là 1.
Chọn đáp án C.
Câu 10: Cho hệ phương trình: .(m là tham số). với giá trị nào của thì hệ có nghiệm duy nhất, hệ thức (P) liên hệ giữa x và y không phụ thuộc vào m. Tìm bậc của hệ thức (P) ? (x, y > 0).
A. 1
B. 2
C. 3
D. 4
Lời giải:
Hệ phương trình có nghiệm duy nhất khi:
Từ pt (2) thế m = x – y vào pt (1) ta được :
⇒ x(x – y) – y = 1 ⇔ x2 – xy – y – 1 = 0 (P)
Vậy (P) x2 – xy – y – 1 = 0 là biểu thức giữa x và y không phị thuộc vào m
hay bậc của (P) là: 2.
Chọn đáp án B.
Câu 11: Cho hệ phương trình: .(m là tham số). với giá trị nào của thì hệ có nghiệm duy nhất, hệ thức (P) liên hệ giữa x và y không phụ thuộc vào m. hằng số tự do của hệ thức (P) ? (x, y > 0).
A. 0
B. 2
C. 1
D. 3
Lời giải:
Vậy (P) x2 - y2 - x - y = 0 là biểu thức giữa x và y không phị thuộc vào m
Hằng số tự do của (P) là: 0.
Chọn đáp án A.
D. Bài tập tự luyện
Bài 1. Cho hệ phương trình (m là tham số). Trong trường hợp hệ có nghiệm duy nhất (x; y):
a) Tìm hệ thức liên hệ giữa x và y không phụ thuộc m;
b) Tìm các giá trị của m để x và y thỏa mãn 6x2 – 19y = 5.
Bài 2. Cho hệ phương trình (m là tham số). Gọi hệ thức liên hệ giữa x và y không phụ thuộc vào m là P.
a) Tìm hệ thức (P);
b)Tìm hằng số tự do? (x, y > 0);
Bài 3. Cho hệ phương trình (m là tham số). Trong trường hợp hệ có nghiệm duy nhất (x; y). Tìm hệ thức liên hệ giữa x và y không phụ thuộc m;
Bài 4. Cho hệ phương trình (m là tham số). Gọi hệ thức liên hệ giữa x và y không phụ thuộc vào m là P. Tìm bậc của (P)
Bài 5. Cho hệ phương trình (m là tham số). Trong trường hợp hệ có nghiệm duy nhất (x; y):
a) Tìm hệ thức liên hệ giữa x và y không phụ thuộc m;
b) Tìm điều kiện của m để x > 1 và y > 0.
(199k) Xem Khóa học Toán 9 KNTTXem Khóa học Toán 9 CDXem Khóa học Toán 9 CTST
Xem thêm các dạng bài tập Toán lớp 9 chọn lọc, có đáp án chi tiết hay khác:
Tủ sách VIETJACK luyện thi vào 10 cho 2k11 (2026):
Đã có app VietJack trên điện thoại, giải bài tập SGK, SBT Soạn văn, Văn mẫu, Thi online, Bài giảng....miễn phí. Tải ngay ứng dụng trên Android và iOS.
Theo dõi chúng tôi miễn phí trên mạng xã hội facebook và youtube:Loạt bài Chuyên đề: Lý thuyết - Bài tập Toán lớp 9 Đại số và Hình học có đáp án có đầy đủ Lý thuyết và các dạng bài được biên soạn bám sát nội dung chương trình sgk Đại số 9 và Hình học 9.
Nếu thấy hay, hãy động viên và chia sẻ nhé! Các bình luận không phù hợp với nội quy bình luận trang web sẽ bị cấm bình luận vĩnh viễn.
- Giải Tiếng Anh 9 Global Success
- Giải sgk Tiếng Anh 9 Smart World
- Giải sgk Tiếng Anh 9 Friends plus
- Lớp 9 Kết nối tri thức
- Soạn văn 9 (hay nhất) - KNTT
- Soạn văn 9 (ngắn nhất) - KNTT
- Giải sgk Toán 9 - KNTT
- Giải sgk Khoa học tự nhiên 9 - KNTT
- Giải sgk Lịch Sử 9 - KNTT
- Giải sgk Địa Lí 9 - KNTT
- Giải sgk Giáo dục công dân 9 - KNTT
- Giải sgk Tin học 9 - KNTT
- Giải sgk Công nghệ 9 - KNTT
- Giải sgk Hoạt động trải nghiệm 9 - KNTT
- Giải sgk Âm nhạc 9 - KNTT
- Giải sgk Mĩ thuật 9 - KNTT
- Lớp 9 Chân trời sáng tạo
- Soạn văn 9 (hay nhất) - CTST
- Soạn văn 9 (ngắn nhất) - CTST
- Giải sgk Toán 9 - CTST
- Giải sgk Khoa học tự nhiên 9 - CTST
- Giải sgk Lịch Sử 9 - CTST
- Giải sgk Địa Lí 9 - CTST
- Giải sgk Giáo dục công dân 9 - CTST
- Giải sgk Tin học 9 - CTST
- Giải sgk Công nghệ 9 - CTST
- Giải sgk Hoạt động trải nghiệm 9 - CTST
- Giải sgk Âm nhạc 9 - CTST
- Giải sgk Mĩ thuật 9 - CTST
- Lớp 9 Cánh diều
- Soạn văn 9 Cánh diều (hay nhất)
- Soạn văn 9 Cánh diều (ngắn nhất)
- Giải sgk Toán 9 - Cánh diều
- Giải sgk Khoa học tự nhiên 9 - Cánh diều
- Giải sgk Lịch Sử 9 - Cánh diều
- Giải sgk Địa Lí 9 - Cánh diều
- Giải sgk Giáo dục công dân 9 - Cánh diều
- Giải sgk Tin học 9 - Cánh diều
- Giải sgk Công nghệ 9 - Cánh diều
- Giải sgk Hoạt động trải nghiệm 9 - Cánh diều
- Giải sgk Âm nhạc 9 - Cánh diều
- Giải sgk Mĩ thuật 9 - Cánh diều


Giải bài tập SGK & SBT
Tài liệu giáo viên
Sách
Khóa học
Thi online
Hỏi đáp

