Cách giải phương trình bằng cách nhẩm nghiệm lớp 9 (cực hay)
Bài viết Cách giải phương trình bằng cách nhẩm nghiệm lớp 9 với phương pháp giải chi tiết giúp học sinh ôn tập, biết cách làm bài tập Cách giải phương trình bằng cách nhẩm nghiệm.
Cách giải phương trình bằng cách nhẩm nghiệm lớp 9 (cực hay)
(199k) Xem Khóa học Toán 9 KNTTXem Khóa học Toán 9 CDXem Khóa học Toán 9 CTST
A. Phương pháp giải
- Để nhẩm nghiệm của phương trình ax2 + bx + c = 0 (a ≠ 0) ta làm như sau:
+ B1: Tính ∆ = b2 – 4ac. Nếu ∆ < 0 thì không tồn tại nghiệm của phương trình. Nếu ∆ ≥ 0 thì phương trình có 2 nghiệm x1, x2
+ B2: Trong trường hợp ∆ ≥ 0 sử dụng Vi-et ta nhẩm nghiệm như sau:
- Nếu hệ số a = 1 thì phương trình có dạng x2 + bx + c = 0(*) ta phân tích hệ số c thành tích của 2 số trước rồi kết hợp với b để tìm ra 2 số thỏa mãn tổng bằng –b và tích bằng c. Hai số tìm được là nghiệm của phương trình x2 + bx + c = 0. Tóm lại trong trường hợp này ta có kết quả sau
x2 + (u + v)x + uv = 0 ⇒ x1 = -u, x2 = -v
x2 - (u + v)x + uv = 0 ⇒ x1 = u, x2 = v
- Nếu hệ số a ≠ 1 ta chia cả hai vế của phương trình cho a để đưa phương trình về dạng (*) rồi nhẩm nghiệm
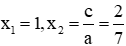
- Nếu a + b + c = 0 thì phương trình có 2 nghiệm:
- Nếu a – b + c = 0 thì phương trình có 2 nghiệm:
Ví dụ 1: Tính nhẩm nghiệm của các phương trình sau
a. x2 – 11x + 30 = 0
b. x2 – 12x + 27 = 0
c. x2 + 16x + 39 = 0
Giải
a. Phương trình đã cho có ∆ = 112 – 4.30 = 121 – 120 = 1 > 0 nên có 2 nghiệm phân biệt x1, x2
Theo Vi-et ta có:
Ta thấy 30 = 15.2 = (-15).(-2) = 10.3 = (-10).(-3) = 6.5 = (-6).(-5) nhưng ta cần chọn hai số có tổng bằng 11 nên hai số thỏa mãn (*) là 6 và 5
Suy ra các nghiệm của phương trình là: x1 = 5, x2 = 6
b. Phương trình đã cho có ∆ = 122 – 4.27 = 144 – 108 = 36 > 0 nên có 2 nghiệm phân biệt x1, x2
Theo Vi-et ta có
Ta thấy 27 = 9.3 = (-9).(-3) = 1.27 = (-1).(-27) nhưng ta cần chọn hai số có tổng bằng 12 nên hai số thỏa mãn (*) là 9 và 3
Suy ra các nghiệm của phương trình là: x1 = 3, x2 = 9
c. Phương trình đã cho có ∆ = 162 – 4.39 = 256 – 156 = 100 > 0 nên có 2 nghiệm phân biệt x1, x2
Theo Vi-et ta có
Ta thấy 39 = 13.3 = (-13).(-3) = 1.39 = (-1).(-39) nhưng ta cần chọn hai số có tổng bằng -16 nên hai số thỏa mãn (*) là -13 và -3
Suy ra các nghiệm của phương trình là: x1 = -13, x2 = -3
Ví dụ 2: Tính nhẩm nghiệm của phương trình sau
a. 2x2 + 3x + 1 = 0
b. 3x2 – 2x - 1 = 0
Giải
a. Phương trình đã cho có: a - b + c = 2 – 3 + 1 = 0
Suy ra các nghiệm của phương trình là:
b. Phương trình đã cho có: a + b + c = 3 + (-2) + (-1) = 0
Suy ra các nghiệm của phương trình là:
B. Bài tập
Câu 1: Số nghiệm của phương trình 7x2 - 9x + 2 = 0 là
A. 0
B. 1
C. 2
D. 3
Giải
Phương trình đã cho có: a + b + c = 7 + (-9) + 2 = 0
Suy ra các nghiệm của phương trình là:
Đáp án C
Câu 2: Số nào sau đây là nghiệm của phương trình 1975x2 + 4x - 1979 = 0
Giải
Phương trình đã cho có: a + b + c = 1975 + 4 + (-1979) = 0
Suy ra các nghiệm của phương trình là:
Đáp án A
Câu 3: Cho phương trình (m – 2)x2 – (2m + 5)x + m + 7 = 0 (m ≠ 2), khẳng định nào sau đây đúng
A. Phương trình có 2 nghiệm phân biệt
B. Phương trình có 2 nghiệm x = -1, x = m + 3 ∀ m ≠ 2
C. Phương trình có nghiệm kép ∀ m ≠ 2
D. Phương trình vô nghiệm ∀ m ≠ 2
Giải
Với m ≠ 2 thì phương trình đã cho là phương trình bậc 2 có các hệ số:
a = m – 2, b = -(2m + 5), c = m + 7
Suy ra a + b + c = m – 2 – (2m + 5) + m + 7 = 0
Vậy phương trình luôn có 2 nghiệm:
Đáp án A
Câu 4: Một nghiệm của phương trình mx2 + (3m – 1)x + 2m - 1 = 0 (m ≠ 0) là
Giải
Với m ≠ 0 thì phương trình đã cho là phương trình bậc 2 có các hệ số:
a = m, b = 3m - 1, c = 2m - 1
Suy ra a - b + c = m – 3m + 1 + 2m - 1 = 0
Vậy phương trình luôn có 2 nghiệm:
Đáp án C
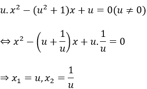
Câu 5: Cho phương trình: (2m – 1)x2 + (m - 3)x - 6m - 2 = 0 ()
Biết rằng phương trình đã cho luôn có một nghiệm x = -2, tìm nghiệm còn lại của phương trình theo m
Giải
Vì phương trình đã cho có nghiệm x = -2 nên ∆ ≥ 0.
Nghĩa là phương trình luôn có 2 nghiệm x1, x2 . Không làm mất tính tổng quát, giả sử x1 = -2
Áp dụng Vi-et ta có:
Đáp án B
Câu 6: Tìm m để phương trình x2 + 3mx - 108 = 0 có một nghiệm bằng 6. Với giá trị m vừa tìm được tính nghiệm còn lại
A. m = 4 và x = -18
B. m = 3 và x = -16
C. m = 2 và x = -15
D. m = 1 và x = -19
Giải
Vì x = 6 là nghiệm của phương trình nên:
Với m = 4 phương trình trở thành: x2 + 12x - 108 = 0. Theo Vi-et ta có:
Đáp án A
Câu 7: Tìm nghiệm của phương trình x2 - (m + 4)x + 3m + 3 = 0
A. Phương trình có nghiệm kép x = 2 ∀ m
B. Phương trình có hai nghiệm x = 3, x = m + 1 ∀ m
C. Phương trình có hai nghiệm x = 2, x = m + 2 ∀ m
D. Phương trình vô nghiệm
Giải
⇒ phương trình luôn có nghiệm với mọi m
Phương trình x2 - (m + 4)x + 3m + 3 = 0 ⇔ x2 - [(m + 1) + 3]x + 3(m + 1) = 0
⇒ phương trình có 2 nghiệm: x = 3, x = m + 1
Đáp án B
Câu 8: Biết rằng phương trình x2 - (2m + 1)x + m2 + m = 0 luôn có 2 nghiệm phân biệt. Tính tổng bình phương các nghiệm của phương trình theo m
A. 2m2 - 2m - 1
B. 2m2 + 2m - 1
C. 2m2 + 2m + 1
D. 2m2 - 2m + 1
Giải
Phương trình x2 - (2m + 1)x + m2 + m = 0 ⇔ x2 - [m + (m + 1)]x + m(m + 1) = 0
⇒ phương trình có 2 nghiệm x = m, x = m + 1
Vậy tổng bình phương các nghiệm của phương trình là:
m2 + (m + 1)2 = m2 + m2 + 2m + 1 = 2m2 + 2m + 1
Đáp án là C
C. Bài tập tự luyện
Bài 1. Nhẩm nghiệm của các phương trình sau:
a) x2 – 5x + 4.
b) 2x2 + 3x – 5 = 0.
c)
d)
Bài 2. Nhẩm nghiệm của các phương trình sau:
a) x2 – 2025x – 2026 = 0.
b) –x4 – 4x2 – 3 = 0.
c)
d)
Bài 3. Nhẩm nghiệm của các phương trình sau:
a) x2 – 2x – 15 = 0.
b) x2 + 11x + 30 = 0.
c)
d) 3x2 – 8x + 4 = 0.
Bài 4. Nhẩm nghiệm của các phương trình sau:
a) 2x2 – 5x + 2 = 0.
b) –3x2 + 10x – 3 = 0.
Bài 5.
a) Phương trình x2 – 7x + a = 0 có một nghiệm bằng 11. Tìm a và nghiệm còn lại của phương trình.
b) Phương trình x2 – bx + 50 = 0 có hai nghiệm trong đó một nghiệm gấp đôi nghiệm kia. Tìm b và hai nghiệm của phương trình.
c) Phương trình 2x2 – (m + 4)x + m = 0 có một nghiệm bằng –3. Tìm m và nghiệm còn lại.
d) Phương trình mx2 – 2(m – 2)x + m – 3 = 0 có một nghiệm bằng –5. Tìm m và nghiệm còn lại.
(199k) Xem Khóa học Toán 9 KNTTXem Khóa học Toán 9 CDXem Khóa học Toán 9 CTST
Xem thêm các dạng bài tập Toán lớp 9 chọn lọc, có đáp án hay khác:
- Không giải phương trình, tính tổng và tích các nghiệm của phương trình bậc hai
- Cách tìm hai số khi biết tổng và tích của chúng cực hay
- Cách phân tích đa thức ax2 + bx + c thành nhân tử để giải phương trình bậc hai
- Cách lập phương trình bậc hai khi biết hai nghiệm của phương trình đó
Tủ sách VIETJACK luyện thi vào 10 cho 2k11 (2026):
Đã có app VietJack trên điện thoại, giải bài tập SGK, SBT Soạn văn, Văn mẫu, Thi online, Bài giảng....miễn phí. Tải ngay ứng dụng trên Android và iOS.
Theo dõi chúng tôi miễn phí trên mạng xã hội facebook và youtube:Loạt bài Chuyên đề: Lý thuyết - Bài tập Toán lớp 9 Đại số và Hình học có đáp án có đầy đủ Lý thuyết và các dạng bài được biên soạn bám sát nội dung chương trình sgk Đại số 9 và Hình học 9.
Nếu thấy hay, hãy động viên và chia sẻ nhé! Các bình luận không phù hợp với nội quy bình luận trang web sẽ bị cấm bình luận vĩnh viễn.
- Giải Tiếng Anh 9 Global Success
- Giải sgk Tiếng Anh 9 Smart World
- Giải sgk Tiếng Anh 9 Friends plus
- Lớp 9 Kết nối tri thức
- Soạn văn 9 (hay nhất) - KNTT
- Soạn văn 9 (ngắn nhất) - KNTT
- Giải sgk Toán 9 - KNTT
- Giải sgk Khoa học tự nhiên 9 - KNTT
- Giải sgk Lịch Sử 9 - KNTT
- Giải sgk Địa Lí 9 - KNTT
- Giải sgk Giáo dục công dân 9 - KNTT
- Giải sgk Tin học 9 - KNTT
- Giải sgk Công nghệ 9 - KNTT
- Giải sgk Hoạt động trải nghiệm 9 - KNTT
- Giải sgk Âm nhạc 9 - KNTT
- Giải sgk Mĩ thuật 9 - KNTT
- Lớp 9 Chân trời sáng tạo
- Soạn văn 9 (hay nhất) - CTST
- Soạn văn 9 (ngắn nhất) - CTST
- Giải sgk Toán 9 - CTST
- Giải sgk Khoa học tự nhiên 9 - CTST
- Giải sgk Lịch Sử 9 - CTST
- Giải sgk Địa Lí 9 - CTST
- Giải sgk Giáo dục công dân 9 - CTST
- Giải sgk Tin học 9 - CTST
- Giải sgk Công nghệ 9 - CTST
- Giải sgk Hoạt động trải nghiệm 9 - CTST
- Giải sgk Âm nhạc 9 - CTST
- Giải sgk Mĩ thuật 9 - CTST
- Lớp 9 Cánh diều
- Soạn văn 9 Cánh diều (hay nhất)
- Soạn văn 9 Cánh diều (ngắn nhất)
- Giải sgk Toán 9 - Cánh diều
- Giải sgk Khoa học tự nhiên 9 - Cánh diều
- Giải sgk Lịch Sử 9 - Cánh diều
- Giải sgk Địa Lí 9 - Cánh diều
- Giải sgk Giáo dục công dân 9 - Cánh diều
- Giải sgk Tin học 9 - Cánh diều
- Giải sgk Công nghệ 9 - Cánh diều
- Giải sgk Hoạt động trải nghiệm 9 - Cánh diều
- Giải sgk Âm nhạc 9 - Cánh diều
- Giải sgk Mĩ thuật 9 - Cánh diều


Giải bài tập SGK & SBT
Tài liệu giáo viên
Sách
Khóa học
Thi online
Hỏi đáp

