Không giải phương trình, tính tổng và tích các nghiệm của phương trình bậc hai
Bài viết Không giải phương trình, tính tổng và tích các nghiệm của phương trình bậc hai lớp 9 với phương pháp giải chi tiết giúp học sinh ôn tập, biết cách làm bài tập Không giải phương trình, tính tổng và tích các nghiệm của phương trình bậc hai.
Không giải phương trình, tính tổng và tích các nghiệm của phương trình bậc hai
(199k) Xem Khóa học Toán 9 KNTTXem Khóa học Toán 9 CDXem Khóa học Toán 9 CTST
A. Phương pháp giải
- Định lý Vi-et: Nếu x1, x2 là hai nghiệm của phương trình ax2 + bx + c = 0 (a ≠ 0) thì
- Sử dụng định lý Vi-et không cần giải phương trình ta vẫn có thể tính được tổng và tích các nghiệm hoặc các biểu thức có liên quan đến tổng và tích các nghiệm thông qua các bước sau:
+ B1: Tính ∆ = b2 – 4ac. Nếu ∆ < 0 thì phương trình vô nghiệm do đó không tồn tại tổng và tích các nghiệm của phương trình. Nếu ∆ ≥ 0 thì phương trình có 2 nghiệm x1, x2, ta thực hiện bước 2
+ B2: Trong trường hợp ∆ ≥ 0 áp dụng Vi-et ta có:
Ví dụ 1: Không giải phương trình, tính tổng và tích các nghiệm (nếu có) của các phương trình sau
a. x2 – 6x + 7 = 0
b. 5x2 – 3x + 1 = 0
Giải
a. Ta có ∆ꞌ = (bꞌ)2 – ac = (-3)2 – 7 = 9 – 7 = 2 > 0 nên phương trình có 2 nghiệm phân biệt x1, x2
Theo Vi-et ta có:
Vậy tổng 2 nghiệm bằng 6, tích 2 nghiệm bằng 7
b. Ta có ∆ = b2 – 4ac = (-3)2 – 4.5.1 = 9 – 20 = -11 < 0 nên phương trình vô nghiệm
Suy ra không tồn tại tổng và tích các nghiệm
Ví dụ 2: Biết x1, x2 là 2 nghiệm của phương trình: x2 – 5x + 2 = 0. Không giải phương trình tính giá trị của biểu thức A = x12 + x22
Giải
Vì phương trình có 2 nghiệm x1, x2 nên theo Vi-et ta có:
A = x12 + x22 = (x1 + x2)2-2x1.x2 = 52 - 2.2 = 25 - 4 = 21
Vậy A = 21
Ví dụ 3: Biết x1, x2 là 2 nghiệm của phương trình: x2 – 2(m + 5)x + m2 + 6 = 0.
Không giải phương trình tính
a. Tổng và tích các nghiệm theo m
b. Tính giá trị của biểu thức T = |x1 - x2| theo m
Giải
a. Vì phương trình có 2 nghiệm x1, x2 nên theo Vi-et ta có:
b. Ta có:
B. Bài tập
Câu 1: Tổng 2 nghiệm của phương trình 2x2 – 10x + 3 = 0 là
A. 5
B. -5
C. 0
D. Không tồn tại
Giải
Ta có ∆ꞌ = (bꞌ)2 – ac = (-5)2 – 3.2 = 25 – 6 = 19 > 0 nên phương trình có 2 nghiệm phân biệt x1, x2
Theo Viet ta có: x1 + x2 = 5.
Vậy đáp án đúng là A
Câu 2: Tích 2 nghiệm của phương trình x2 – x + 2 = 0 là
A. -2
B. 2
C. 1
D. Không tồn tại
Giải
Ta có ∆ = b2 – 4ac = (-1)2 – 4.1.2 = 1 – 8 = -7 < 0 nên phương trình vô nghiệm.
Suy ra không tồn tại tích 2 nghiệm
Vậy đáp án đúng là D
Câu 3: Biết x1, x2 là 2 nghiệm của phương trình - x2 + 3x + 1 = 0.
Khi đó giá trị của biểu thức là A = x1(x2 - 2) + x2(x1 - 2)
A. -7
B. -8
C. -6
D. Không tồn tại
Giải
Vì phương trình có 2 nghiệm x1, x2 nên theo Vi-et ta có:
Vậy đáp án đúng là B
Câu 4: Biết x1, x2 là 2 nghiệm của phương trình x2 - 3x - m = 0.
Tính giá trị của biểu thức A = x12(1 - x2) + x22(1-x1)
A. –m + 9
B. 5m + 9
C. m + 9
D. -5m + 9
Giải
Vì phương trình có 2 nghiệm x1, x2 nên theo Vi-et ta có:
Vậy đáp án đúng là B
Câu 5: Biết x1, x2 là 2 nghiệm của phương trình (m - 2)x2 – (2m + 5)x + m +7 = 0 (m ≠ 2). Tính tích các nghiệm theo m
Giải
Vì phương trình có 2 nghiệm x1, x2 nên theo Vi-et ta có:
Đáp án đúng là A
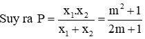
Câu 6: Biết x1, x2 là 2 nghiệm của phương trình x2 – (2m + 1)x + m2 +1 = 0. Tính giá trị của biểu thức theo m
Giải
Vì phương trình có 2 nghiệm x1, x2 nên theo Vi-et ta có:
Đáp án đúng là C.
Câu 7: Gọi x1, x2 là 2 nghiệm của phương trình x2 – (2m + 1)x + m2 +2 = 0. Tìm m để biểu thức A = x1.x2 – 2(x1 + x2) – 6 đạt giá trị nhỏ nhất
A. m = 1
B. m = 2
C. m = -12
D. m = 3
Giải
Giả sử phương trình có 2 nghiệm x1, x2 theo Vi-et ta có:
Vậy giá trị nhỏ nhất của A là -10 đạt được khi m – 2 = 0 hay m = 2
Thay m = 2 vào phương trình ta được: x2 – 5x + 6 = 0.
Phương trình có 2 nghiệm phân biệt x1 = 2, x2 = 3.
Suy ra m = 2 (thỏa mãn)
Đáp án đúng là B
Câu 8: Gọi x1, x2 là 2 nghiệm của phương trình 2x2 + 2mx + m2 - 2 = 0. Tìm m để biểu thức A = |2x1x2 + x1 + x2 - 4| đạt giá trị lớn nhất
Giải
Ta có: Δ' = m2 - 2m2 + 4 = -m2 + 4
Phương trình có hai nghiệm khi Δ' ≥ 0 ⇔ -m2 + 4 ≥ 0 ⇔ m2 ≤ 4 ⇔ |m| ≤ 2 (*)
Giả sử phương trình có 2 nghiệm x1, x2 theo Vi-et ta có:
Vậy giá trị lớn nhất của A là
Ta thấy (thỏa mãn (*))
Đáp án đúng là C
Câu 9: Gọi x1, x2 là 2 nghiệm của phương trình x2 - 2(m – 1)x + 2m2 – 3m + 1 = 0. Tìm m để biểu thức A = |x1x2 + x1 + x2| đạt giá trị lớn nhất
Ta thấy (thỏa mãn (*))
Giải
Phương trình có hai nghiệm khi Δ' ≥ 0
Giả sử phương trình có 2 nghiệm x1, x2 theo Vi-et ta có:
Vậy giá trị lớn nhất của A là
Ta thấy (thỏa mãn *)
Đáp án đúng là C
(199k) Xem Khóa học Toán 9 KNTTXem Khóa học Toán 9 CDXem Khóa học Toán 9 CTST
Xem thêm các dạng bài tập Toán lớp 9 chọn lọc, có đáp án hay khác:
- Cách giải phương trình bằng cách nhẩm nghiệm cực hay
- Cách tìm hai số khi biết tổng và tích của chúng cực hay
- Cách phân tích đa thức ax2 + bx + c thành nhân tử để giải phương trình bậc hai
- Cách lập phương trình bậc hai khi biết hai nghiệm của phương trình đó
Tủ sách VIETJACK luyện thi vào 10 cho 2k11 (2026):
Đã có app VietJack trên điện thoại, giải bài tập SGK, SBT Soạn văn, Văn mẫu, Thi online, Bài giảng....miễn phí. Tải ngay ứng dụng trên Android và iOS.
Theo dõi chúng tôi miễn phí trên mạng xã hội facebook và youtube:Loạt bài Chuyên đề: Lý thuyết - Bài tập Toán lớp 9 Đại số và Hình học có đáp án có đầy đủ Lý thuyết và các dạng bài được biên soạn bám sát nội dung chương trình sgk Đại số 9 và Hình học 9.
Nếu thấy hay, hãy động viên và chia sẻ nhé! Các bình luận không phù hợp với nội quy bình luận trang web sẽ bị cấm bình luận vĩnh viễn.
- Giải Tiếng Anh 9 Global Success
- Giải sgk Tiếng Anh 9 Smart World
- Giải sgk Tiếng Anh 9 Friends plus
- Lớp 9 Kết nối tri thức
- Soạn văn 9 (hay nhất) - KNTT
- Soạn văn 9 (ngắn nhất) - KNTT
- Giải sgk Toán 9 - KNTT
- Giải sgk Khoa học tự nhiên 9 - KNTT
- Giải sgk Lịch Sử 9 - KNTT
- Giải sgk Địa Lí 9 - KNTT
- Giải sgk Giáo dục công dân 9 - KNTT
- Giải sgk Tin học 9 - KNTT
- Giải sgk Công nghệ 9 - KNTT
- Giải sgk Hoạt động trải nghiệm 9 - KNTT
- Giải sgk Âm nhạc 9 - KNTT
- Giải sgk Mĩ thuật 9 - KNTT
- Lớp 9 Chân trời sáng tạo
- Soạn văn 9 (hay nhất) - CTST
- Soạn văn 9 (ngắn nhất) - CTST
- Giải sgk Toán 9 - CTST
- Giải sgk Khoa học tự nhiên 9 - CTST
- Giải sgk Lịch Sử 9 - CTST
- Giải sgk Địa Lí 9 - CTST
- Giải sgk Giáo dục công dân 9 - CTST
- Giải sgk Tin học 9 - CTST
- Giải sgk Công nghệ 9 - CTST
- Giải sgk Hoạt động trải nghiệm 9 - CTST
- Giải sgk Âm nhạc 9 - CTST
- Giải sgk Mĩ thuật 9 - CTST
- Lớp 9 Cánh diều
- Soạn văn 9 Cánh diều (hay nhất)
- Soạn văn 9 Cánh diều (ngắn nhất)
- Giải sgk Toán 9 - Cánh diều
- Giải sgk Khoa học tự nhiên 9 - Cánh diều
- Giải sgk Lịch Sử 9 - Cánh diều
- Giải sgk Địa Lí 9 - Cánh diều
- Giải sgk Giáo dục công dân 9 - Cánh diều
- Giải sgk Tin học 9 - Cánh diều
- Giải sgk Công nghệ 9 - Cánh diều
- Giải sgk Hoạt động trải nghiệm 9 - Cánh diều
- Giải sgk Âm nhạc 9 - Cánh diều
- Giải sgk Mĩ thuật 9 - Cánh diều


Giải bài tập SGK & SBT
Tài liệu giáo viên
Sách
Khóa học
Thi online
Hỏi đáp

