Tổng hợp lý thuyết Hệ thức lượng trong tam giác vuông (hay, chi tiết)
Bài viết Tổng hợp lý thuyết Hệ thức lượng trong tam giác vuông hay, chi tiết giúp bạn nắm vững kiến thức trọng tâm Chương 1 Hình học 9.
Tổng hợp lý thuyết Hệ thức lượng trong tam giác vuông (hay, chi tiết)
1. Hệ thức về cạnh và đường cao
Tam giác ABC vuông tại A, đường cao AH, ta có:
Chú ý: Diện tích tam giác vuông: S = (1/2)bc = (1/2)ah.
2. Tỉ số lượng giác của góc nhọn.
+ Tỉ số giữa cạnh đối và cạnh huyền được gọi là sin của góc α, kí hiệu là sinα.
+ Tỉ số giữa cạnh kề và cạnh huyền được gọi là côsin của góc α, kí hiệu là cosα.
+ Tỉ số giữa cạnh đối và cạnh kề được gọi là tang của góc α, kí hiệu là tanα.
+ Tỉ số giữa cạnh kề và cạnh đối được gọi là côtang của góc α, kí hiệu là cotα.
Hay sinα = AB/BC; cosα = AC/BC; tanα = AB/AC; cotα = AC/AB.
Tính chất:
+ Nếu α là một góc nhọn thì 0 < sinα < 1; 0 < cosα < 1; tanα > 0; cotα > 0.
Ta có: sin2α + cos2α = 1; tanα.cotα = 1
+ Với hai góc nhọn α, β mà α + β = 90°.
Ta có: sinα = cosβ; cosα = sinβ; tanα = cotβ; cotα = tanβ.
Nếu hai góc nhọn α và β có sinα = sinβ hoặc cosα = cosβ thì α = β.
3. Hệ thức về cạnh và góc trong tam giác vuông.
Trong một tam giác vuông, mỗi cạnh góc vuông bằng:
+ Cạnh huyền nhân với sin góc đối hay nhân với côsin góc kề.
+ Cạnh góc vuông kia nhân với tan của góc đối hay nhân với cotg của góc kề.
b = a.sinB = a.cosC; c = a.sinC = a.cosB; b = c.tgB = c.cotgC; c = b.tgC = b.cotgC.
Chú ý: Trong một tam giác vuông nếu cho trước hai yếu tố (trong đó có ít nhất một yếu tố về cạnh và không kể góc vuông) thì ta sẽ tìm được các yếu tố còn lại.
B. Bài tập tự luận
Câu 1: Cho tam giác cân ABC có đáy BC = 2a , cạnh bên bằng b (b > a) .
a) Tính diện tích tam giác ABC
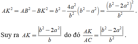
b) Dựng BKk ⊥ AC . Tính tỷ số .
Lời giải:
a) Gọi H là trung điểm của BC. Theo định lý Pitago ta có:
b) Ta có
Áp dụng định lý Pitago trong tam giác vuông AKB ta có:
Câu 2: Cho tam giác ABC với các đỉnh A, B, C và các cạnh đối diện với các đỉnh tương ứng là: a, b, c .
a) Tính diện tích tam giác ABC theo a, b , c
b) Chứng minh: a2 + b2 + c2 ≥ 4√3S
Lời giải:
a) Ta giả sử góc A là góc lớn nhất của tam giác
ABC ⇒ B, C là các góc nhọn.
Suy ra chân đường cao hạ từ A lên BC là điểm H thuộc cạnh BC.
Ta có: BC = BH + HC.
Áp dụng định lý Py ta go cho các tam giác vuông AHB, AHC ta có:
AB2 = AH2 + HB2; AC2 = AH2 + HC2
Trừ hai đẳng thức trên ta có:
Áp dụng định lý Pitago cho tam giác vuông AHB
b) Từ câu a) ta có:
Dấu bằng xảy ra khi và chỉ khi tam giác ABC đều.
Câu 3: Biết sinα 5/13 . Tính cosα, tanα và cotα .
Lời giải:
Xét Δ vuông tại A.
Câu 4: Biết sinα.cosα = 12/25. Tính sinα.cosα.
Lời giải:
Biết sinα.cosα = 12/25. Để tính sinα.cosα ta cần tính sinα + cosα rồi giải phương trình với ẩn là sinα hoặc cosα.
Ta có:
Câu 5: Cho tam giác nhọn ABC hai đường cao AD và BE cắt nhau tại H. Biết HD:HA = 1:2 . Chứng minh rằng tgB.tgC = 3 .
Lời giải:
Câu 6: Cho tam giác ABC nhọn. Gọi a, b, c lần lượt là độ dài các cạnh đối diện với các đỉnh A, B, C. Chứng minh rằng:
Lời giải:
Câu 7: Ở một cái thang đơn dài có ghi “để dảm bảo an toàn cần đặt thang sao cho tạo với mặt đất một góc α thì phải thỏa mãn 60° < α < 75° . Vậy phải đặt thang cách vật thang dựa khoảng bao nhiêu để đảm bảo an toàn?
Lời giải:
Ta xem đề bài như hình vẽ trên
Khi đó: Khoảng an toàn nằm trong khoảng từ C đến D
Ta có:
BC = AC.cos75° = 3.cos75° ≃ 0,776 (m)
BD = ED.cos60° = 1,5 (m)
Vậy phải đặt thang cách vật dựa một đoạn l(m) thỏa mãn 0,776(m) < l < 1,5(m)
Câu 8: Cho tam giác ABC vuông tại B có BC = 20m, . Một đường thẳng song song với BC cắt AB, AC lần lượt tại D, E. Biết BD = 5m . Tính độ dài AE là?
Lời giải:
Câu 9: Tính diện tích tam giác ABC biết bán kính đường tròn ngoại tiếp tam giác ABC là R .
Lời giải:
Giả thiết có các góc có số đo đặc biệt, nhưng tam giác ABC là tam giác thường nên ta sẽ tạo ra tam giác vuông bằng cách.
Dựng các đường thẳng qua C, B lần lượt vuông góc với AC, AB . Gọi D là giao điểm của hai đường thẳng trên.
Khi đó tam giác ABD và ACD là các tam giác
vuông và 4 điểm A, B, C, D cùng nằm trên đường tròn đường kính AD = 2R .
Ta có:
Câu 10: Cho tam giác ABC với các đỉnh A, B, C và các cạnh đối diện với các đỉnh tương ứng là: a, b, c . Chứng minh rằng:
a) a2 = b2 + c2 - 2bccosA
b) Gọi D là chân đường phân giác trong góc A . Chứng minh:
Lời giải:
a) Dựng đường cao BH của tam giác ABC
Giả sử H thuộc cạnh AC .
Ta có: AC = AH + HC.
Áp dụng định lý
Pi ta go cho các tam giác vuông AHB, BHC ta có:
AB2 = AH2 + HB2, BC2 = BH2 + HC2
Trừ hai đẳng thức trên ta có:
b)
Để chứng minh bài toán ta cần kết quả sau:
Từ đó ta suy ra: sin2α = 2sinα.cosα .
*) Xét tam giác ABC. Dựng đường cao BE ta có:
Câu 11: Không dùng máy tính và bảng số hãy chứng minh rằng .
Lời giải:
Tam giác AHC vuông tại H , theo định lý Py – ta- go , ta có:
C. Bài tập tự luyện
Bài 1. Cho α à góc nhọn.
a) Tính sin α, cot α, tan α biết rằng cos α = ;
b) Cho cot α = 3 hãy tính sin α, cosα, tan α;
c) Rút gọn biểu thức C = sin6α + cos6α + 3sin2α - cos2α.
Bài 2. Một cột cờ cao 9 mét có bóng trên mặt đất dài bằng chiều cao của cột cờ. Hãy tính góc α mà các tia sáng mặt trời tạo với mặt đất (làm tròn đến phút).
Bài 3. Cho 0o< α<90o. Hãy chứng minh các đẳng thức sau:
a) sin6α + cos6α = 1 - 3sin2αcos2α;
b) sin4α - cos4α = 1 - 2cos2α;
c) .
Bài 4. Cho tam giác ABC có trực tâm H là trung điểm của đường cao AD. Chứng minh tanB.tanC = 2.
Bài 5. Cho △ABC, kẻ AH ⊥ BC, biết BH = 9 cm, CH = 16 cm và tanC = 0,75. Trên AH lấy O sao cho OH = 2 cm.
a) Chứng minh rằng tam giác ABC là tam giác vuông;
b) Trên cạnh AB lây điểm M, trên OB lấy điểm P và trên OC lấy điểm N sao cho . Hãy tính độ dài các cạnh và số đo các góc của MPN.
Xem thêm lý thuyết và các dạng bài tập Toán lớp 9 có lời giải hay khác:
- Lý thuyết Sự xác định đường tròn. Tính chất đối xứng của đường tròn. (hay, chi tiết)
- Trắc nghiệm Sự xác định đường tròn. Tính chất đối xứng của đường tròn.
- Lý thuyết Đường kính và dây của đường tròn (hay, chi tiết)
- Trắc nghiệm Đường kính và dây của đường tròn
- Lý thuyết Liên hệ giữa dây và khoảng cách từ tâm đến dây (hay, chi tiết)
- Trắc nghiệm Liên hệ giữa dây và khoảng cách từ tâm đến dây
Tủ sách VIETJACK luyện thi vào 10 cho 2k11 (2026):
Đã có app VietJack trên điện thoại, giải bài tập SGK, SBT Soạn văn, Văn mẫu, Thi online, Bài giảng....miễn phí. Tải ngay ứng dụng trên Android và iOS.
Theo dõi chúng tôi miễn phí trên mạng xã hội facebook và youtube:Loạt bài Chuyên đề: Lý thuyết - Bài tập Toán lớp 9 Đại số và Hình học có đáp án có đầy đủ Lý thuyết và các dạng bài được biên soạn bám sát nội dung chương trình sgk Đại số 9 và Hình học 9.
Nếu thấy hay, hãy động viên và chia sẻ nhé! Các bình luận không phù hợp với nội quy bình luận trang web sẽ bị cấm bình luận vĩnh viễn.
- Giải Tiếng Anh 9 Global Success
- Giải sgk Tiếng Anh 9 Smart World
- Giải sgk Tiếng Anh 9 Friends plus
- Lớp 9 Kết nối tri thức
- Soạn văn 9 (hay nhất) - KNTT
- Soạn văn 9 (ngắn nhất) - KNTT
- Giải sgk Toán 9 - KNTT
- Giải sgk Khoa học tự nhiên 9 - KNTT
- Giải sgk Lịch Sử 9 - KNTT
- Giải sgk Địa Lí 9 - KNTT
- Giải sgk Giáo dục công dân 9 - KNTT
- Giải sgk Tin học 9 - KNTT
- Giải sgk Công nghệ 9 - KNTT
- Giải sgk Hoạt động trải nghiệm 9 - KNTT
- Giải sgk Âm nhạc 9 - KNTT
- Giải sgk Mĩ thuật 9 - KNTT
- Lớp 9 Chân trời sáng tạo
- Soạn văn 9 (hay nhất) - CTST
- Soạn văn 9 (ngắn nhất) - CTST
- Giải sgk Toán 9 - CTST
- Giải sgk Khoa học tự nhiên 9 - CTST
- Giải sgk Lịch Sử 9 - CTST
- Giải sgk Địa Lí 9 - CTST
- Giải sgk Giáo dục công dân 9 - CTST
- Giải sgk Tin học 9 - CTST
- Giải sgk Công nghệ 9 - CTST
- Giải sgk Hoạt động trải nghiệm 9 - CTST
- Giải sgk Âm nhạc 9 - CTST
- Giải sgk Mĩ thuật 9 - CTST
- Lớp 9 Cánh diều
- Soạn văn 9 Cánh diều (hay nhất)
- Soạn văn 9 Cánh diều (ngắn nhất)
- Giải sgk Toán 9 - Cánh diều
- Giải sgk Khoa học tự nhiên 9 - Cánh diều
- Giải sgk Lịch Sử 9 - Cánh diều
- Giải sgk Địa Lí 9 - Cánh diều
- Giải sgk Giáo dục công dân 9 - Cánh diều
- Giải sgk Tin học 9 - Cánh diều
- Giải sgk Công nghệ 9 - Cánh diều
- Giải sgk Hoạt động trải nghiệm 9 - Cánh diều
- Giải sgk Âm nhạc 9 - Cánh diều
- Giải sgk Mĩ thuật 9 - Cánh diều


Giải bài tập SGK & SBT
Tài liệu giáo viên
Sách
Khóa học
Thi online
Hỏi đáp

