38+ Bài tập trắc nghiệm Hệ hai phương trình bậc nhất hai ẩn (có lời giải)
Với bài tập trắc nghiệm Hệ hai phương trình bậc nhất hai ẩn lớp 9 có lời giải chi tiết sẽ giúp học sinh ôn tập, biết cách làm bài tập Toán 9.
38+ Bài tập trắc nghiệm Hệ hai phương trình bậc nhất hai ẩn (có lời giải)
Câu 1: Cặp số (x; y) = (1; 3) là nghiệm của hệ phương trình bậc nhất hai ẩn nào trong các hệ phương trình sau:
Lời giải:
Phương án D không phải là hệ phương trình bậc nhất hai ẩn nên loại D
Chọn đáp án A
Câu 2: Với m = 1 thì hệ phương trình : có cặp nghiệm (x; y) là:
A. (3; 1)
B. (1; 3)
C. (-1; -3)
D. (-3; -1)
Lời giải:
Thay m = 1 vào hệ phương trình đã cho ta được:
Chọn đáp án A
Câu 3: Cặp số (x; y) là nghiệm của hệ phương trình: là :
A. (-1; -2)
B. (2; 2)
C. (2; -1)
D. (3; 2)
Lời giải:
Chọn đáp án B
Câu 4: Với giá trị nào của m thì hệ phương trình : nhận (3; 1) là nghiệm:
Lời giải:
Nhận thấy thỏa mãn : x - y = 2 nên ta thay
vào phương trình
Chọn đáp án B
Câu 5: Tìm giá trị (a; b) để hai phương trình sau tương đương:
A. (-1; -1)
B. (1; 2)
C. (-1; 1)
D. (1; 1)
Lời giải:
Chọn đáp án D
Câu 6: Cho phương trình ax + by = c với a ≠0, b ≠ 0 . Nghiệm của phương trình được biểu diễn bởi
Lời giải:
Chọn đáp án A
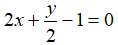
Câu 7: Phương trình nào sau đây là phương trình bậc nhất hai ẩn?
Lời giải:
Phương trình là phương trình bậc nhất hai ẩn.
Chọn đáp án C
Câu 8: Phương trình nào dưới đây nhận cặp số (-2; 4) làm nghiệm
A. x - 2y = 0
B. 2x + y = 0
C. x - y = 0
D. x + 2y + 1 = 0
Lời giải:
Chọn đáp án B
Câu 9: Phương trình x - 5y + 7 = 0 nhận cặp số nào sau đây là nghiệm?
A. (0; 1)
B. (-1; 2)
C. (3; 2)
D. (2; 4)
Lời giải:
+ Thay x = 0; y = 1 vào phương trình x - 5y + 7 = 0 ta được 0 - 5.1 + 7 = 0 ⇔ 2 = 0 (vô lí) nên loại A + Thay x = -1; y = 2 vào phương trình x - 5y + 7 = 0 ta được -1 – 5.2 + 7 = 0 hay – 4 = 0 ⇒ (vô lí) nên loại B + Thay x = 2; y = 4 vào phương trình x - 5y + 7 = 0 ta được 2 - 5.4 + 7 = 0 ⇔ -11 = 0 (vô lí) nên loại D + Thay x = 3; y = 2 vào phương trình x - 5y + 7 = 0 ta được 3 - 5.2 + 7 = 0 ⇔ 0 = 0 (luôn đúng) nên chọn C
Chọn đáp án C
Câu 10: Tìm m để phương trình nhận cặp số (1; 1) làm nghiệm
A. m = 5
B. m = 2
C. m = -5
D. m = -2
Lời giải:
Chọn đáp án A
Câu 11: Hệ phương trình có nghiệm duy nhất khi
Lời giải:
Chọn đáp án A
Câu 12: Hệ hai phương trình bậc nhất hai ẩn (các hệ số khác ) vô nghiệm khi
Lời giải:
Chọn đáp án B
Câu 13: Hệ hai phương trình nhận cặp số nào sau đây là nghiệm
A. (-21; 15)
B. (21; -15)
C. (1; 1)
D. (1; -1)
Lời giải:
Thay lần lượt các cặp số (21; -15); (1; 1); (1; -1); (-21; 15) vào hệ phương trình ta được
Chọn đáp án A
Câu 14: Cặp số (-2; -3) là nghiệm của hệ phương trình nào sau đây ?
Lời giải:
Chọn đáp án C
Câu 15: Không giải hệ phương trình, dự đoán số nghiệm của hệ
A. 0
B. Vô số
C. 1
D. 2
Lời giải:
Tập nghiệm phương trình -2x + y = -3 được biểu diễn bởi đường thẳng -2x + y = -3
Tập nghiệm phương trình 3x – 2y = 7 được biểu diễn bởi đường thẳng 3x – 2y = 7
Ta có ⇒ phương trình có một nghiệm duy nhất
Chọn đáp án C
Câu 16: Cho hệ phương trình có nghiệm (x; y) . Tích x.y là
Lời giải:
Chọn đáp án B
Câu 17: Cho hệ phương trình có nghiệm (x; y) . Tổng x + y là
Lời giải:
Chọn đáp án D
Câu 18: Cho hệ phương trình . Số nghiệm của hệ phương trình là
A. 1
B. 0
C. 2
D. 3
Lời giải:
Chọn đáp án A
Câu 19: Số nghiệm của hệ phương trình là
A. 1
B. 0
C. 2
D. Vô số
Lời giải:
Chọn đáp án D
Câu 20: Số nghiệm của hệ phương trình là
A. 1
B. 0
C. 2
D. Vô số
Lời giải:
Chọn đáp án A
Câu 21: Cho hệ phương trình . Nghiệm của hệ phương trình là
Lời giải:
Chọn đáp án A
Câu 22: Cho hệ phương trình . Nghiệm của hệ phương trình là (x, y), tính x - y
A. x - y = -1
B. x - y = 1
C. x - y = 0
D. x - y = 2
Lời giải:
Chọn đáp án B
Câu 23: Cho hệ phương trình . Biết nghiệm của hệ phương trình là (x; y), tính
Lời giải:
Chọn đáp án D
Câu 24: Cho hệ phương trình . Biết nghiệm của hệ phương trình (x; y) , tính x.y
A. 2
B. 0
C. -2
D. 1
Lời giải:
Chọn đáp án B
Câu 25: Cho hệ phương trình . Biết nghiệm của hệ phương trình là (x; y), tính x/y
A. 2
B. -2
C. -1/2
D. 1/2
Lời giải:
Chọn đáp án C
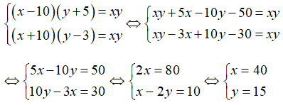
Câu 26: Cho một số có hai chữ số. Nếu đổi chỗ hai chữ số của nó thì được một số lớn hơn số đã cho là 63. Tổng của số đã cho và số mới tạo thành bằng 99. Tổng các chữ số của số đó là
A. 9
B. 10
C. 11
D. 12
Lời giải:
Chọn đáp án A
Câu 27: Cho một số có hai chữ số. Chữ số hàng chục lớn hơn chữ số hàng đơn vị là 5. Nếu đổi chỗ hai chữ số cho nhau ta được một số bằng 3/8 số ban đầu. Tìm tích các chữ số của số ban đầu.
A. 12
B. 16
C. 14
D. 6
Lời giải:
Chọn đáp án C
Câu 28: Một ô tô đi quãng đường AB với vận tốc 50 km/h , rồi đi tiếp quãng đường BC với vận tốc 45 km/h . Biết quãng đường tổng cộng dài 165 km và thời gian ô tô đi trên quãng đường AB ít hơn thời gian đi trên quãng đường BC là 30 phút. Tính thời gian ô tô đi trên đoạn đường AB.
A. 2 giờ
B. 1,5 giờ
C. 1 giờ
D. 3 giờ
Lời giải:
Gọi thời gian ô tô đi trên mỗi đoạn đường AB và BC lần lượt là x; y
(x > 0; y > 0,5; đơn vị: giờ ) .
Vậy thời gian ô tô đi trên quãng đường AB là 1,5 giờ . Thời gian ô tô đi hết quãng đường BC là 2 giờ.
Chọn đáp án B
Câu 29: Trên một cánh đồng cấy 60 ha lúa giống mới và 40 ha lúa giống cũ, thu hoạch được tất cả 460 tấn thóc. Hỏi năng suất lúa mới trên 1 ha là bằng bao nhiêu, biết rằng 3 ha trồng lúa mới thu hoạch được ít hơn 4 ha trồng lúa cũ là 1 tấn
A. 5 tấn
B. 4 tấn
C. 6 tấn
D. 3 tấn
Lời giải:
Gọi năng suất lúa mới và lúa cũ trên 1 ha lần lượt là x; y (x, y > 0) đơn vị : tấn/ha
Cấy 60ha lúa giống mới thu hoạch được: 60x (tấn).
Cấy 40ha lúa giống cũ thu hoạch được 40y (tấn)
Vì cấy 60 ha lúa giống mới và 40 ha lúa giống cũ, thu hoạch được tất cả 460 tấn thóc nên ta có
60x + 40y = 460
Vì 3 ha trồng lúa mới thu hoạch được ít hơn 4 ha trồng lúa cũ là 1 tấn nên ta có phương trình
4y - 3x = 1
Suy ra ta có hệ phương trình:
Vậy năng suất lúa mới trên 1 ha là 5 tấn
Chọn đáp án A
Câu 30: Một ô tô dự định đi từ A đến B trong một thời gian nhất định . Nếu xe chạy mỗi giờ nhanh hơn 10km thì đến nơi sớm hơn dự định 3 giờ , còn nếu xe chạy chậm lại mỗi giờ 10km thì đến nơi chậm mất 5 giờ. Tính vận tốc của xe lúc ban đầu
A. 40 km/h
B. 35 km/h
C. 50 km/h
D. 60 km/h
Lời giải:
Gọi vận tốc ban đầu là x (km/h); (x > 10). Thời gian chạy dự định là y (giờ) (y > 3)
Chiều dài quãng đường là: x.y (km)
Nếu xe chạy mỗi giờ nhanh hơn 10 km thì đến nơi sớm hơn dự định 3 giờ. Vận tốc xe khi đó là
x + 10 (km /h ); thời gian đi là : y – 3 ( giờ) .
Chiều dài quãng đường là (x + 10)(y - 3)
Nếu xe chạy chậm lại mỗi giờ 10km thì đến nơi chậm mất 5 giờ. Vận tốc xe đi khi đó là: x – 10 ( km/h) và thời gian đi là : y + 5( giờ).
Chiều dài quãng đường là
Suy ra ta có hệ:
Vậy vận tốc ban đầu là 40 km/h
Chọn đáp án A
Câu 31: Biết hệ phương trình: có nghiệm x = 1; y = 3 . Tính 10(a + b)
A. 15
B. 16
C. 14
D. 17
Lời giải:
Chọn đáp án B
Câu 32: Cho hệ phương trình ( là tham số ). Tìm để hệ có nghiệm duy nhất thỏa mãn
A. m = -6
B. m = 6
C. m = 3
D. m = -4
Lời giải:
Vậy với m = -6 thì hệ phương trình có nghiệm duy nhất (x, y) thỏa mãn x + y = -3
Chọn đáp án A
Câu 33: Cho hệ phương trình . Có bao nhiêu giá trị của m để hệ phương trình có nghiệm thỏa mãn: x2 - 2y = -2
A. 0
B. 1
C. 2
D. 3
Lời giải:
Chọn đáp án C
Câu 34: Cho hệ phương trình (m là tham số ). Nghiệm của hệ phương trình khi m = 2 là
A. (x; y) = (-1; -1)
B. (x; y) = (1; -1
C. (x; y) = (-1; 1)
D. (x; y) = (1; 1)
Lời giải:
Vậy hệ phương trình có nghiệm duy nhất (1; 1) khi m = 2
Chọn đáp án D
Câu 35: Cho hệ phương trình :
Tìm số nguyên m để hệ phương trình có nghiệm duy nhất (x; y) mà x, y đều là số nguyên.
A. m ∈ {-3; -2}
B. m ∈ {-3; -2; 0; 1}
C. m ∈ {-3; -2; 0}
D. m = -3
Lời giải:
Chọn đáp án C
Câu 36: Cho hệ phương trình:
Trong trường hợp hệ có nghiệm duy nhất (x; y) thì điểm M (x; y) luôn chạy trên đường thẳng nào dưới đây?
A. y = -x - 2
B. y = x + 2
C. y = x - 2
D. y = 2 - x
Lời giải:
Vậy điểm M(x; y) luôn chạy trên đường thẳng cố định có phương trình y = x - 2
Chọn đáp án C
Câu 37: Cho hệ phương trình :
Tìm m để hệ trên có nghiệm duy nhất sao cho đạt giá trị nhỏ nhất
A. m = 1
B. m = 0
C. m = 2
D. m = -1
Lời giải:
Chọn đáp án B
Câu 38: Giải hệ phương trình ta được số nghiệm là
A.4
B. 3
C. 2
D. 1
Lời giải:
Chọn đáp án A
Xem thêm lý thuyết và các dạng bài tập Toán lớp 9 có lời giải hay khác:
- Lý thuyết Hàm số y = ax2 (a ≠ 0) (hay, chi tiết)
- Trắc nghiệm Hàm số y = ax2 (a ≠ 0)
- Lý thuyết Đồ thị hàm số y = ax2 (a ≠ 0) (hay, chi tiết)
- Trắc nghiệm Đồ thị hàm số y = ax2 (a ≠ 0)
- Lý thuyết Phương trình bậc hai một ẩn (hay, chi tiết)
- Trắc nghiệm Phương trình bậc hai một ẩn
Tủ sách VIETJACK luyện thi vào 10 cho 2k11 (2026):
Đã có app VietJack trên điện thoại, giải bài tập SGK, SBT Soạn văn, Văn mẫu, Thi online, Bài giảng....miễn phí. Tải ngay ứng dụng trên Android và iOS.
Theo dõi chúng tôi miễn phí trên mạng xã hội facebook và youtube:Loạt bài Chuyên đề: Lý thuyết - Bài tập Toán lớp 9 Đại số và Hình học có đáp án có đầy đủ Lý thuyết và các dạng bài được biên soạn bám sát nội dung chương trình sgk Đại số 9 và Hình học 9.
Nếu thấy hay, hãy động viên và chia sẻ nhé! Các bình luận không phù hợp với nội quy bình luận trang web sẽ bị cấm bình luận vĩnh viễn.
- Giải Tiếng Anh 9 Global Success
- Giải sgk Tiếng Anh 9 Smart World
- Giải sgk Tiếng Anh 9 Friends plus
- Lớp 9 Kết nối tri thức
- Soạn văn 9 (hay nhất) - KNTT
- Soạn văn 9 (ngắn nhất) - KNTT
- Giải sgk Toán 9 - KNTT
- Giải sgk Khoa học tự nhiên 9 - KNTT
- Giải sgk Lịch Sử 9 - KNTT
- Giải sgk Địa Lí 9 - KNTT
- Giải sgk Giáo dục công dân 9 - KNTT
- Giải sgk Tin học 9 - KNTT
- Giải sgk Công nghệ 9 - KNTT
- Giải sgk Hoạt động trải nghiệm 9 - KNTT
- Giải sgk Âm nhạc 9 - KNTT
- Giải sgk Mĩ thuật 9 - KNTT
- Lớp 9 Chân trời sáng tạo
- Soạn văn 9 (hay nhất) - CTST
- Soạn văn 9 (ngắn nhất) - CTST
- Giải sgk Toán 9 - CTST
- Giải sgk Khoa học tự nhiên 9 - CTST
- Giải sgk Lịch Sử 9 - CTST
- Giải sgk Địa Lí 9 - CTST
- Giải sgk Giáo dục công dân 9 - CTST
- Giải sgk Tin học 9 - CTST
- Giải sgk Công nghệ 9 - CTST
- Giải sgk Hoạt động trải nghiệm 9 - CTST
- Giải sgk Âm nhạc 9 - CTST
- Giải sgk Mĩ thuật 9 - CTST
- Lớp 9 Cánh diều
- Soạn văn 9 Cánh diều (hay nhất)
- Soạn văn 9 Cánh diều (ngắn nhất)
- Giải sgk Toán 9 - Cánh diều
- Giải sgk Khoa học tự nhiên 9 - Cánh diều
- Giải sgk Lịch Sử 9 - Cánh diều
- Giải sgk Địa Lí 9 - Cánh diều
- Giải sgk Giáo dục công dân 9 - Cánh diều
- Giải sgk Tin học 9 - Cánh diều
- Giải sgk Công nghệ 9 - Cánh diều
- Giải sgk Hoạt động trải nghiệm 9 - Cánh diều
- Giải sgk Âm nhạc 9 - Cánh diều
- Giải sgk Mĩ thuật 9 - Cánh diều


Giải bài tập SGK & SBT
Tài liệu giáo viên
Sách
Khóa học
Thi online
Hỏi đáp

