Cách giải bài tập Sự cân bằng của một điện tích (hay, chi tiết)
Bài viết Cách giải bài tập Sự cân bằng của một điện tích với phương pháp giải chi tiết giúp học sinh ôn tập, biết cách làm bài tập Sự cân bằng của một điện tích.
Cách giải bài tập Sự cân bằng của một điện tích (hay, chi tiết)
(199k) Xem Khóa học Vật Lí 11 KNTTXem Khóa học Vật Lí 11 CDXem Khóa học Vật Lí 11 CTST
A. Phương pháp & Ví dụ
- Khi một điện tích q đứng yên thì hợp lực tác dụng lên q sẽ bằng 0:
- Dạng này có 2 loại:
+ Loại bài chỉ có lực điện.
+ Loại bài có thêm các lực cơ học (Trọng lực: P = mg (luôn hướng xuống), Lực căng dây T, Lực đàn hồi của lò xo: F = k.Δℓ = k(ℓ - ℓo)).
Ví dụ 1: Hai điện tích điểm q1 = 10-8 C, q2 = 4.10-8 C đặt tại A và B cách nhau 9 cm trong chân không.
a) Xác định độ lớn lực tương tác giữa hai điện tích?
b) Xác định vecto lực tác dụng lên điện tích q0 = 3.10-6 C đặt tại trung điểm AB.
c) Phải đặt điện tích q3 = 2.10-6 C tại đâu để điện tích q3 nằm cân bằng?
Hướng dẫn:
a) Độ lớn lực tương tác giữa hai điện tích:
b) Gọi , lần lượt là lực do q1, q2 tác dụng lên q0
+ Ta có:
+ Gọi là lực tổng hợp tác dụng lên q0. Ta có: = +
+ Từ hình vẽ ta thấy :
+ Lực tổng hợp có điểm đặt tại M, có chiều từ B đến A, có độ lớn 8,1.10-4 (N)
c) Gọi , lần lượt là lực do q1, q2 tác dụng lên q3
+ Gọi C là vị trí đặt điện tích q3.
+ Điều kiện cân bằng của q3: + = 0 ⇒ = - ⇒ điểm C phải thuộc AB
+ Vì q1 và q2 cùng dấu nên C phải nằm trong AB
+
(1)
⇒ C gần A hơn (hình vẽ)
+ Ta lại có: CA + CB = 9 (2)
Từ (1) và (2) ⇒ CA = 3 cm và CB = 6 cm.
Ví dụ 2: Hai điện tích điểm q1 = q2 = q, đặt tại A và B trong không khí. Phải đặt điện tích q3 tại đâu để q3 nằm cân bằng?
Hướng dẫn:
+ Gọi , lần lượt là lực do q1, q2 tác dụng lên q3
+ Gọi C là vị trí đặt điện tích q3.
+ Điều kiện cân bằng của q3: + = 0 ⇒ = - ⇒ điểm C phải thuộc AB
+ Vì q1 và q2 cùng dấu (giả sử q1 = q2 > 0) khí đó điện tích của q3 có thể dương hoặc âm nhưng vị trí đặt điện tích q3 phải nằm trong AB.
Trường hợp 1: q1 = q2 > 0; q3 > 0
+ Ta có:
⇒ C là trung điểm của AB
+ Vậy phải đặt q3 tại trung điểm của AB
Trường hợp 2: q1 = q2 > 0; q3 < 0
+ Ta có:
⇒ C là trung điểm của AB
+ Vậy phải đặt q3 tại trung điểm của AB
Ví dụ 3: Tại ba đỉnh của một tam giác đều trong không khí, đặt 3 điện tích giống nhau q1 = q2 = q3 = q = 6.10-7C. Hỏi phải đặt điện tích q0 tại đâu, có giá trị bao nhiêu để hệ điện tích cân bằng?
Hướng dẫn:
- Xét điều kiện cân bằng của q3:
- Trong đó F3 có phương là đường phân giác góc C, lại có ↑ ↓ nên q0 nằm trên phân giác góc C.
- Tương tự, q0 cũng thuộc phân giác các góc A và B. Vậy q0 tại trọng tâm G của ABC.
- Vì ↑ ↓ nên hướng về phía G, hay là lực hút nên q0 < 0.
- Độ lớn:
Ví dụ 4: Hai điện tích q1 = 2.10-8C và q2 = -8.10-8C đặt tại A và B trong không khí. AB = 8cm. Một điện tích q3 đặt tại C.
a. C ở đâu để q3 cân bằng.
b. Dấu và độ lớn của q3 để q1 và q2 cũng cân bằng (hệ điện tích cân bằng).
Hướng dẫn:
a. + Gọi , lần lượt là lực do q1, q2 tác dụng lên q3
- Để q3 cân bằng: = + = 0 ⇒ = - ⇒ điểm C phải thuộc AB
+ Vì q1 > 0 và q2 < 0 nên C nằm ngoài AB và gần phía A.
+ Độ lớn:
(1)
Ta lại có: CB - CA = AB = 8cm (2).
Từ (1) và (2)
Dấu và độ lớn của q3 tùy ý.
b. Hệ cân bằng
+ Gọi , F→31 lần lượt là lực do q2, q3 tác dụng lên q1
- Để q1 cân bằng: = + F→31 = 0 ⇒ = -F→31 ⇒ ↑ ↓ F→31 (3)
+ Vì q1 > 0 và q2 < 0 nên ↑ ↑ AB→ (4)
+ Ta lại có: ↑ ↓ AB→ (5)
Từ (3) , (4) và (5) ta ⇒ F→31 ↑ ↑ AC→ ⇒ q1q3 < 0 ⇒ q3 < 0
+ Độ lớn:
- Vì
⇒ F→32 + = 0 ⇒ điện tích q2 cũng cân bằng
Chú ý: Nếu hệ gồm n điện tích có (n - 1) điện tích cân bằng thì hệ đó cân bằng.
Ví dụ 5: Hai quả cầu nhỏ giống nhau bằng kim loại có khối lượng m = 5 g, được treo vào cùng một điểm O bằng hai sợi dây không dãn, dài 10 cm. Hải quả cầu tiếp xúc với nhau. Tích điện cho mỗi quả cầu thì thấy chúng đẩy nhau cho đến khi hai dây treo hợp với nhau một góc 60°. Tính độ lớn điện tích mà ta đã truyền cho quả cầu. Lấy g = 10 (m/s2).
Hướng dẫn:
(1)
Các lực tác dụng lên quả cầu gồm: trọng lực , lực căng dây , lực tương tác tĩnh điện (lực tĩnh điện) giữa hai quả cầu.
+ Khi quả cầu cân bằng ta có: + + = 0 ⇔ + R→ = 0
⇒ R→ cùng phương, ngược chiều với T→ ⇒ α = 30°
Ta có: tan30° = F/P
⇒ F = Ptan30° = mgtan30° = 0,029N
+ Mà:
+ Vậy tổng độ lớn điện tích đã truyền cho hai quả cầu là: Q = 2|q| = 3,58.10-7 C
Ví dụ 6: Hai quả cầu nhỏ bằng kim loại giống hệt nhau được treo ở hai đầu dây có cùng chiều dài. Hai đầu kia của hai dây móc vào cùng một điểm. Cho hai quả cầu tích điện bằng nhau, lúc cân bằng chúng cách nhau r = 6,35 cm. Chạm tay vào một trong hai quả cầu, hãy tính khoảng cách r/ giữa hai quả cầu sau khi chúng đạt vị trí cân bằng mới. Giả thiết chiều dài mỗi dây khá lớn so với khoảng cách hai quả cầu lúc cân bằng. Lấy .
Hướng dẫn:
Các lực tác dụng lên mỗi quả cầu gồm: trọng lực , lực tương tác tĩnh điện và lực căng của dây treo .
+ Giả sử ta chạm tay vào quả 1, kết quả sau đó quả cầu 1 sẽ mất điện tích, lúc đó giữa hai quả cầu không còn lực tương tác nên chúng sẽ trở về vị trị dây treo thẳng đứng. Khi chúng vừa chạm nhau thì điện tích của quả 2 sẽ truyền sang quả 1 và lúc này điện tích mỗi quả sẽ là:
(2)
+ Từ (1) và (2) ta có:
Ví dụ 7: Hai quả cầu cùng khối lượng m, tích điện giống nhau q, được nối với nhau bằng lò xo nhẹ cách điện, độ cứng K, chiều dài tự nhiên l0. Một sợi dây chỉ mảnh, nhẹ, cách điện, không dãn, có chiều dài 2L, mỗi đầu sợi dây được gắn với một quả cầu. Cho điểm giữa (trung điểm) của sợi dây chỉ chuyển động thẳng đứng lên với gia tốc a = g/2 thì lò xo có chiều dài l (với l0 < l < 2L). Tính q.
Hướng dẫn:
Trong hệ quy chiếu quán tính gắn với quả cầu, hệ cân bằng.
+ Lò xo dãn nên lực đàn hồi hướng vào trong lò xo.
+ Các lực tác dụng lên quả cầu được biểu diễn như hình
B. Bài tập
Bài 1: Hai điện tích q1 = –2.10-8C, q2 = 1,8.10-7C đặt trong không khí tại A và B, AB = ℓ = 8cm. Một điện tích q3 đặt tại C. Hỏi:
a) C ở đâu để q3 nằm cân bằng?
b) Dấu và độ lớn của q3 để q1, q2 cũng cân bằng.
Lời giải:
a) Vị trí của C để q3 nằm cân bằng
– Các lực điện tác dụng lên q3: , .
– Để q3 nằm cân bằng thì: + = 0 ⇒ = - ⇒ , cùng phương, ngược chiều và cùng độ lớn: .
Từ đó:
+ C nằm trên đường thẳng AB, ngoài đoạn AB, về phía A.
+ BC = 3AC = 3(BC – AB)
Vậy: Phải đặt q3 tại C, với AC = 4cm; BC = 12cm thì q3 sẽ nằm cân bằng.
b) Dấu và độ lớn của q3 để q1, q2 cũng cân bằng
– Để q1 và q2 cũng cân bằng thì:
Vì q1 < 0; q2 > 0 ⇒ q3 & 0: q3 = 0,45.10-7 C.
Vậy: Để q1 và q2 cũng cân bằng thì q3 = +0,45.10-7 C.
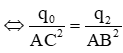
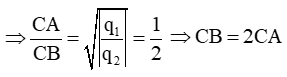
Bài 2: Có hai điện tích q1 = q và q2= 4q đặt cố định trong không khí cách nhau một khoảng a = 30 cm. Phải đặt một điện tích q0 như thế nào và ở đâu để nó cân bằng?
Lời giải:
+ Gọi , lần lượt là lực do q1, q2 tác dụng lên q0
+ Gọi C là vị trí đặt điện tích q0.
+ Điều kiện cân bằng của q0: + = 0 ⇒ = - ⇒ điểm C phải thuộc AB
+ Vì q1 và q2 cùng dấu (giả sử cả q1 < 0; q2 < 0) nên C phải nằm trong AB.
+ Dấu của q0 là tùy ý.
+ Lại có:
⇒ CB = 2CA ⇒ C gần A hơn (hình)
+ Từ hình ta có: CA + CB = 30 ⇒ CA = 10 cm và CB = 20 cm
Bài 3: Hai điện tích q1 = -2.10-8 C, q2 = -1,8.10-7 C đặt tại A và B trong không khí, AB = 8cm. Một điện tích q3 đặt tại C. Hỏi:
a) C ở đâu để q3 cân bằng?
b) Dấu và độ lớn của q3 để q1, q2 cũng cân bằng?
Lời giải:
a) Gọi , lần lượt là lực do q1, q2 tác dụng lên q3
+ Gọi C là vị trí đặt điện tích q3.
+ Điều kiện cân bằng của q3: + = 0 ⇒ = - ⇒ điểm C phải thuộc AB
+ Vì q1 và q2 cùng dấu nên từ ta suy ra C phải nằm trong AB
+ Dấu của q3 là tùy ý.
+ Lại có:
⇒ CB = 3CA ⇒ C gần A hơn (hình)
+ Từ hình ta có: CA + CB = 8 ⇒ CA = 2 cm và CB = 6 cm
b) Gọi F→31, lần lượt là lực do q3, q2 tác dụng lên q1
+ Điều kiện cân bằng của q1: F→31 + = 0 ⇒ F→31 = - ⇒ F→31 ngược chiều
Suy ra F31 là lực hút ⇒ q3 > 0
+ Ta có: F31 = F21
+ Điều kiện cân bằng của q2: F→32 + = 0 ⇒ F→32 = - ⇒ F→32 ngược chiều
Suy ra F32 là lực hút ⇒ q3 > 0
Ta có: F32 = F12
+ Vậy với q3 = 1,125.10-8 C thì hệ thống cân bằng
Bài 4: Hai điện tích q1 = 2.10-8 C, q2 = -8.10-8 C đặt tại A và B trong không khí, AB = 8cm. Một điện tích q0 đặt tại C. Hỏi:
a) C ở đâu để q0 cân bằng?
b) Dấu và độ lớn của q0 để q1, q2 cũng cân bằng?
Lời giải:
a) Gọi , lần lượt là lực do q1, q2 tác dụng lên q0
+ Điều kiện cân bằng của q0: + = 0 ⇒ = - ⇒ điểm C phải thuộc AB
+ Vì q1 và q2 trái dấu nên từ ta suy ra C phải nằm ngoài AB
+ Dấu của q0 là tùy ý.
+ Lại có:
⇒ BC = 2AC ⇒ C gần A hơn (hình)
+ Từ hình ta có: CA = BC – 8 ⇒ CA = 8 cm và BC = 16 cm
b) Gọi , lần lượt là lực do q0, q2 tác dụng lên q1
+ Điều kiện cân bằng của q1: + = 0 ⇒ = - ⇒ ngược chiều
Suy ra F01 là lực hút ⇒ q0 < 0
Ta có: F01 = F21
+ Điều kiện cân bằng của q2: + = 0 ⇒ = - ⇒ ngược chiều
Suy ra F02 là lực đẩy ⇒ q0 < 0
Ta có: F02 = F12
+ Vậy với q0 = -8.10-8 C thì hệ thống cân bằng
Bài 5: Người ta treo 2 quả cầu nhỏ có khối lượng bằng nhau m = 0,01 g bằng những sợi dây có chiều dài bằng nhau ℓ = 50 cm (khối lượng không đáng kể). Khi hai quả cầu nhiễm điện bằng nhau về độ lớn và cùng dấu, chúng đẩy nhau và cách nhau r = 6 cm. Lấy g = 9,8 m/s2.
a) Tính điện tích của mỗi quả cầu
b) Nhúng cả hệ thống vào trong rượu etylic có ε = 27. Tính khoảng cách giữa hai quả cầu. Bỏ qua lực đẩy Acsimet.
Lời giải:
Các lực tác dụng lên mỗi quả cầu gồm: trọng lực , lực tương tác tĩnh điện và lực căng của dây treo .
+ Khi quả cầu cân bằng thì:
Bài 6: Hai quả cầu nhỏ giống nhau bằng kim loại có khối lượng m = 5 g, được treo vào cùng một điểm O bằng 2 sợi dây không dãn, dài 30 cm. Cho hai quả cầu tiếp xúc với nhau rồi tích điện cho mỗi quả cầu thì thấy chúng đẩy nhau cho đến khi 2 dây treo hợp với nhau 1 góc 90°. Tính điện tích mà ta đã truyền cho quả cầu. Lấy g = 10 (m/s2).
Lời giải:
Các lực tác dụng lên quả cầu gồm: trọng lực , lực căng dây , lực tương tác tĩnh điện (lực tĩnh điện) giữa hai quả cầu.
+ Khi quả cầu cân bằng ta có: + + = 0 ⇔ + = 0 ⇒ cùng phương, ngược chiều với ⇒ α = 45°
Ta có: tan45° = F/P ⇒ F = P = mg = 0,05N
+ Vậy tổng độ lớn điện tích đã truyền cho hai quả cầu là: Q = 2|q| = 2.10-6 C
C. Bài tập bổ sung
Câu 1. Có hai điện tích điểm và đặt cố định tại hai điểm A và B cách nhau 10cm trong không khí. Hỏi phải đặt một điện tích thứ ba qo tại vị trí nào để điện tích này nằm cân bằng
A. Đặt qo trên đường thẳng AB, trong đoạn AB và cách B là 5cm.
B. Đặt qo trên đường thẳng AB, ngoài đoạn AB và cách B là 5cm.
C. Đặt qo trên đường thẳng AB, ngoài đoạn AB và cách B là 25cm.
D. Đặt qo trên đường thẳng AB, trong đoạn AB và cách B là 15 cm.
Câu 2. Trong không khí, ba điện tích điểm lần lượt được đặt tại ba điểm A, B, C nằm trên cùng một đường thẳng. Biết AC = 6cm, , lực điện do q1 và q3 tác dụng lên q2 cân bằng nhau. B cách A và C lần lượt là
A. 80 cm và 20 cm.
B. 20 cm và 40 cm.
C. 20 cm và 80 cm.
D. 40 cm và 20 cm.
Câu 3. Hai điện tích điểm và đặt tự do tại hai điểm tương ứng A,B cách nhau 60 cm trong chân không. Phải đặt điện tích q3 ở đâu, có dấu và độ lớn như thế nào để cả hệ nằm cân bằng?
A. Đặt trên đường thẳng AB, trong đoạn AB và cách A là 5 cm.
B. Đặt trên đường thẳng AB, ngoài đoạn AB và cách A là 5 cm.
C. Đặt trên đường thẳng AB, ngoài đoạn AB và cách A là 60 cm.
D. Đặt trên đường thẳng AB, trong đoạn AB và cách A là 15 cm.
Câu 4. Cho hệ ba điện tích cô lập nằm trên cùng một đường thẳng. Hai điện tích là hai điện tích dương, cách nhau 60 cm và . Lực điện tác dụng lên điện tích q1 bằng 0. Nếu vậy, điện tích q2 lần lượt cách những khoảng là
A. 20cm và 80 cm.
B. 20 cm và 40 cm.
C. 40 cm và 20 cm.
D. 80 cm và 20 cm.
Câu 5. Tại bốn đỉnh của một hình vuông có bốn điện tích điểm và tại tâm hình vuông có điện tích điểm qo. Nếu hệ năm điện tích đó nằm cân bằng thì
A. .
B. .
C. .
D. .
Câu 6. Cho 2 điện tích q1 = 4q2 = 8.10-8 C lần lượt đặt tại A và B trong không khí (AB = 12 cm). Xác định vị trí C đặt q3 (q3 < 0) để lực tổng hợp tác dụng lên q3 bằng không
A. Cách A 8 cm;
B. Cách A 6 cm;
C. Cách A 10 cm;
D. Cách A 4 cm.
Câu 7. Hai điện tích điểm q và 4q đặt cách nhau một khoảng r. Cần đặt điện tích Q thứ ba, có điện tích dương hay âm và ở đâu để điện tích này cân bằng, khi q và 4q giữ cố định:
A. Q > 0, đặt giữa hai điện tích cách 4q khoảng r/4.
B. Q < 0, đặt giữa hai điện tích cách 4q khoảng 3r/4.
C. Q > 0, đặt giữa hai điện tích cách q khoảng r/3.
D. Q tùy ý đặt giữa hai điện tích cách q khoảng r/3.
Câu 8. Bốn điểm A, B, C, D trong không khí tạo thành hình chữ nhật ABCD có cạnh AB = 4cm, AD = 3cm. Các điện tích q1, q2, q3 được đặt lần lượt tại A, B, C. Biết q2 = -12,5.10-8C và cường độ điện trường tổng hợp tại D bằng 0. Tính q1, q3.
A. .
B. .
C. .
D. .
Câu 9. Cho hai điện tích điểm và q2 = 4q0 đặt tại hai điểm A và B trong không khí,cách nhau AB = 15cm. Hãy tìm giá trị của q3 để tìm được vị trí của q3 để hệ ba điện tích điểm q1, q2 , q3 nằm cân bằng?
A. q3= -4.10-7 C.
B. q3= 10-7 C.
C. q3= -10-7 C.
D. q3= 4.10-7 C.
Câu 10. Hai điện tích q1= 9.10-8C và q2= -10-8C đặt tại A, B cách nhau 80cm. Tại điểm C điện trường tổng hợp triệt tiêu, C có vị trí nào?
A. bên trong đoạn AB, cách A 20cm.
B. bên ngoài đoạn AB, cách B 40cm.
C. bên ngoài đoạn AB, cách A 40cm.
D. bên trong đoạn AB, cách A 60cm.
(199k) Xem Khóa học Vật Lí 11 KNTTXem Khóa học Vật Lí 11 CDXem Khóa học Vật Lí 11 CTST
Xem thêm các dạng bài tập Vật Lí lớp 11 có trong đề thi THPT Quốc gia khác:
- Lý thuyết Lực tương tác tĩnh điện
- Dạng 1: Lực tương tác giữa hai điện tích điểm
- Trắc nghiệm Lực tương tác giữa hai điện tích điểm
- Dạng 2: Lực điện tổng hợp tác dụng lên một điện tích
- Trắc nghiệm Lực điện tổng hợp tác dụng lên một điện tích
- Dạng 3: Sự cân bằng của một điện tích
- Trắc nghiệm Sự cân bằng của một điện tích
Tủ sách VIETJACK shopee lớp 10-11 (cả 3 bộ sách):
Đã có app VietJack trên điện thoại, giải bài tập SGK, SBT Soạn văn, Văn mẫu, Thi online, Bài giảng....miễn phí. Tải ngay ứng dụng trên Android và iOS.
Theo dõi chúng tôi miễn phí trên mạng xã hội facebook và youtube:Nếu thấy hay, hãy động viên và chia sẻ nhé! Các bình luận không phù hợp với nội quy bình luận trang web sẽ bị cấm bình luận vĩnh viễn.
- Giải Tiếng Anh 11 Global Success
- Giải sgk Tiếng Anh 11 Smart World
- Giải sgk Tiếng Anh 11 Friends Global
- Lớp 11 - Kết nối tri thức
- Soạn văn 11 (hay nhất) - KNTT
- Soạn văn 11 (ngắn nhất) - KNTT
- Giải sgk Toán 11 - KNTT
- Giải sgk Vật Lí 11 - KNTT
- Giải sgk Hóa học 11 - KNTT
- Giải sgk Sinh học 11 - KNTT
- Giải sgk Lịch Sử 11 - KNTT
- Giải sgk Địa Lí 11 - KNTT
- Giải sgk Giáo dục KTPL 11 - KNTT
- Giải sgk Tin học 11 - KNTT
- Giải sgk Công nghệ 11 - KNTT
- Giải sgk Hoạt động trải nghiệm 11 - KNTT
- Giải sgk Giáo dục quốc phòng 11 - KNTT
- Giải sgk Âm nhạc 11 - KNTT
- Lớp 11 - Chân trời sáng tạo
- Soạn văn 11 (hay nhất) - CTST
- Soạn văn 11 (ngắn nhất) - CTST
- Giải sgk Toán 11 - CTST
- Giải sgk Vật Lí 11 - CTST
- Giải sgk Hóa học 11 - CTST
- Giải sgk Sinh học 11 - CTST
- Giải sgk Lịch Sử 11 - CTST
- Giải sgk Địa Lí 11 - CTST
- Giải sgk Giáo dục KTPL 11 - CTST
- Giải sgk Hoạt động trải nghiệm 11 - CTST
- Giải sgk Âm nhạc 11 - CTST
- Lớp 11 - Cánh diều
- Soạn văn 11 Cánh diều (hay nhất)
- Soạn văn 11 Cánh diều (ngắn nhất)
- Giải sgk Toán 11 - Cánh diều
- Giải sgk Vật Lí 11 - Cánh diều
- Giải sgk Hóa học 11 - Cánh diều
- Giải sgk Sinh học 11 - Cánh diều
- Giải sgk Lịch Sử 11 - Cánh diều
- Giải sgk Địa Lí 11 - Cánh diều
- Giải sgk Giáo dục KTPL 11 - Cánh diều
- Giải sgk Tin học 11 - Cánh diều
- Giải sgk Công nghệ 11 - Cánh diều
- Giải sgk Hoạt động trải nghiệm 11 - Cánh diều
- Giải sgk Giáo dục quốc phòng 11 - Cánh diều
- Giải sgk Âm nhạc 11 - Cánh diều


Giải bài tập SGK & SBT
Tài liệu giáo viên
Sách
Khóa học
Thi online
Hỏi đáp

