Bài tập Con lắc lò xo ôn thi Tốt nghiệp (có lời giải)
Bài viết Con lắc lò xo ôn thi Tốt nghiệp môn Vật Lí với phương pháp giải chi tiết giúp học sinh ôn tập, biết cách làm bài tập Con lắc lò xo.
Bài tập Con lắc lò xo ôn thi Tốt nghiệp (có lời giải)
(199k) Xem Khóa học Vật Lí 12 KNTTXem Khóa học Vật Lí 12 CDXem Khóa học Vật Lí 12 CTST
Câu 1. (Câu 1 Đề thi ĐH 2014 – Mã đề 319): Một con lắc lò xo gồm lò xo nhẹ và vật nhỏ khối lượng 100g đang dao động điều hòa theo phương ngang, mốc tính thế năng tại vị trí cân bằng. Từ thời điểm t1 = 0 đến s, động năng của con lắc tăng từ 0,096 J đến giá trị cực đại rồi giảm về 0,064 J. Ở thời điểm t2, thế năng của con lắc bằng 0,064 J. Biên độ dao động của con lắc là
A. 5,7 cm. B. 7,0 cm. C. 8,0 cm. D. 3,6 cm.
Lời giải:
Đáp án: C
W = Wd2 + Wt2 = 0,064 + 0,064 = 0,128J => →
Mặt khác →
Ta có x1 đến x2:
=> =>
=> ω = 20rad
Biên độ dao động: = 0.08m = 8cm
Câu 2. (Câu 22 Đề thi ĐH 2014 – Mã đề 319): Một con lắc lò xo treo vào một điểm cố định, dao động điều hòa theo phương thẳng đứng với chu kì 1,2 s. Trong một chu kì, nếu tỉ số của thời gian lò xo giãn với thời gian lò xo nén bằng 2 thì thời gian mà lực đàn hồi ngược chiều lực kéo về là
A. 0,2 s B. 0,1 s C. 0,3 s D. 0,4 s
Lời giải:
Đáp án: A
Ta có: =>
Lực đàn hồi ngược chiều với lực kéo về khi lò xo đang dãn và vật có li độ (tương ứng với vùng màu đỏ của chuyển động tròn đều).
Trong một chu kì khoảng thời gian đó:
Câu 3. (Câu 35 Đề thi ĐH 2014 – Mã đề 319): Một con lắc lò xo dao động điều hòa theo phương ngang với tần số góc ω. Vật nhỏ của con lắc có khối lượng 100 g. Tại thời điểm t = 0, vật nhỏ qua vị trí cân bằng theo chiều dương. Tại thời điểm t = 0,95 s, vận tốc v và li độ x của vật nhỏ thỏa mãn v = −ωx lần thứ 5. Lấy π2 = 10. Độ cứng của lò xo là
A. 85 N/m B. 37 N/m C. 20 N/m D. 25 N/m
Lời giải:
Đáp án: D
Tại thời điểm t = 0,95 s, vận tốc của vật:
v = ±ω√(A2 + x2) = −ωx. Suy ra:
Trong một chu kì vật đi qua vị trí có v=−ωx hai lần. Lần thứ 5 vật đi qua vị trí thỏa mãn hệ thức đó là
Suy ra T = 0,4s.
Độ cứng của lò xo: k = 25 N/m.
Câu 4. (Câu 5 Đề thi THPT QG 2015 – Mã đề 138): Một con lắc lò xo gồm một vật nhỏ khối lượng m và lò xo có độ cứng k. Con lắc dao động điều hòa với tần số góc là:
Lời giải:
Đáp án: D
Công thức xác định tần số gốc của con lắc lò xo là
Câu 5. (Câu 39 Đề thi THPT QG 2015 – Mã đề 138): Một lò xo đồng chất tiết diện đều được cắt thành 3 lò xo có chiều dài tự nhiên l (cm); (l - 10) (cm) và ( l – 20) (cm). Lần lượt gắn mỗi lò xo này (theo thứ tự trên) với vật nhỏ khối lượng m thì được 3 con lắc lò xo có chu kỳ dao động riêng tương ứng là 2 s; √3 s và T . Biết độ cứng của các lò xo tỉ lệ nghịch với chiều dài tự nhiên của nó. Giá trị của T là:
A. 1,00 s B.1,28 s C. 1,41 s D.1,50 s
Lời giải:
Đáp án: C
Ta có (s)
=> => l = 40cm
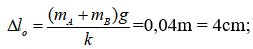
Câu 6. (Câu 48 Đề thi THPT QG 2015 – Mã đề 138): Một lò xo có độ cứng 20N/m, đầu trên được treo vào một điểm cố định, đầu dưới gắn vật nhỏ A có khối lượng 100g, vật A được nối với vật B khối lượng 100g bằng môt sợi dây mềm, mảnh, không dãn và đủ dài. Từ vị trí cân bằng của hệ, kéo vật B thẳng đứng xuống dưới một đoạn 20cm rồi thả nhẹ để vật B đi lên với vận tốc ban đầu bằng không. Khi vật B bắt đầu đổi chiều chuyển động thì bất ngờ bị tuột khỏi dây nối. Bỏ qua các lực cản, lấy g = 10m/s2. Khoảng thời gian từ khi vậ B tuột khỏi dây nối đến khi rơi đến vị trí thả ban đầu là:
A. 0,30 s B. 0,68 s C. 0,26 s D. 0,28 s
Lời giải:
Đáp án: C
Sau khi kéo vật B xuống dưới 20 cm và thả nhẹ thì hệ dao động với biên độ 20cm.
Vật B đi lên được h1 = 30 cm thì không chịu tác dụng của lực đàn hồi của lò xo nữa. Khi đó vận tốc của B có độ lớn
Vật B đi lên thêm được độ cao Vật B đổi chiều chuyển động khi lên được độ cao h = h1 + h2 = 45cm = 0,45m
Khoảng thời gian từ khi vậ B tuột khỏi dây nối đến khi rơi đến vị trí thả ban đầu là
Câu 7. (Câu 22 Đề thi THPT QG 2016 – Mã đề 536): Một con lắc lò xo dao động điều hòa theo phương nằm ngang. Nếu biên độ dao động tăng gấp đôi thì tần số dao động điều hòa của con lắc
A. tăng √2 lần. B. giảm 2 lần.
C. không đổi. D. tăng 2 lần.
Lời giải:
Đáp án: C
Tần số dao động điều hòa của con lắc lò xo: không phụ thuộc biên độ A
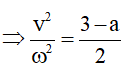
Câu 8. (Câu 41 Đề thi THPT QG 2016 – Mã đề 536): Một con lắc lò xo treo vào một điểm cố định, dao động điều hòa theo phuơng thẳng đứng. Tại thời điểm lò xo dãn 2 cm, tốc độ của vật là 4√5 v (cm/s); tại thời điểm lò xo dãn 4 cm, tốc độ của vật là 6√2 v (cm/s); tại thời điểm lò xo dãn 6 cm, tốc độ của vật là 3√6 v (cm/s). Lấy g = 9,8 m/s2. Trong một chu kì, tốc độ trung bình của vật trong khoảng thời gian lò xo bị dãn có giá trị gần nhất với giá trị nào sau đây ?
A. 1,26 m/s. B. 1,43 m/s. C. 1,21 m/s. D. 1,52 m/s.
Lời giải:
Đáp án: B
Chọn chiều dương hướng xuống, gốc O tại VTCB. Gọi a là độ dãn của lò xo khi vật cân bằng, li độ của vật khi lò xo dãn Δl là Δl − a ; ω là tần số góc và A là biên độ của vật.
Ta có hệ:
Từ
(1)
(2)
Giải hệ (1) và (2) ta tìm được . Từ đó tính được A = 8,022 cm.
Thời gian lò xo dãn trong một chu kì ứng với vật chuyển động giữa hai li độ -1,4 cm và 8,022cm. Ta chỉ cần tính tốc độ trung bình khi vật đi từ điểm có li độ -1,4 cm đến biên có li độ 8,022 cm với thời gian chuyển động và quãng đường s = A + a = 9,422 (cm).
Câu 9. (Câu 48 Đề thi THPT QG 2016 – Mã đề 536): Hai con lắc lò xo giống hệt nhau đặt trên cùng mặt phẳng nằm ngang. Con lắc thứ nhất và con lắc thứ hai dao động điều hòa cùng pha với biên độ lần lượt là 3A và A. Chọn mốc thế năng của mỗi con lắc tại vị trí cân bằng của nó. Khi động năng của con lắc thứ nhất là 0,72 J thì thế năng của con lắc thứ hai là 0,24 J. Khi thế năng của con lắc thứ nhất là 0,09 J thì động năng của con lắc thứ hai là
A. 0,31 J. B. 0,01 J. C. 0,08 J. D. 0,32 J.
Lời giải:
Đáp án: A
Hai con lắc lò xo giống hệt nhau nên chúng có cùng khối lượng m và độ cứng k.
Cơ năng của hai con lắc lần lượt là
=> E1 = 9 E2 (1)
Thế năng của hai con lắc lần lượt là:
Do hai dao động cùng chu kì và cùng pha nên
Khi Wđ1 = 0,72 J thì Wt2 = 0,24 J => Wt1 = 9 Wt2 = 9 . 0,24 = 2,16J => E1 = Wd1 + Wt1 = 2,88J
Từ (1) tính được
Khi W't1 = 0,09J => W't2 = 0,01J => W'đ2 = E2 − W't2 = 0,32 − 0,01 = 0,31 (J)
Câu 10. (Câu 1 Đề thi Minh họa 2017): Một con lắc lò xo gồm một vật nhỏ khối lượng m và lò xo có độ cứng k. Con lắc dao động điều hòa với tần số góc là
Lời giải:
Đáp án: D
Tần số góc của con lắc lò xo
Câu 11. (Câu 26 Đề thi Minh họa 2017): Một con lắc lò xo gồm vật nhỏ có khối lượng m và lò xo có độ cứng 40 N/m đang dao động điều hòa với biên độ 5 cm. Khi vật đi qua vị trí có li độ 3 cm, con lắc có động năng bằng
A. 0,024 J. B. 0,032 J. C. 0,018 J. D. 0,050 J.
Lời giải:
Đáp án: B
Động năng tại x = 3cm bằng cơ năng trừ thế năng:
Câu 12. (Câu 28 Đề thi Minh họa 2017): Khảo sát thực nghiệm một con lắc lò xo gồm vật nhỏ có khối lượng 216 g và lò xo có độ cứng k, dao động dưới tác dụng của ngoại lực F = F0cos2πft, với F0 không đổi và f thay đổi được. Kết quả khảo sát ta được đường biểu diễn biên độ A của con lắc theo tần số f có đồ thị như hình vẽ. Giá trị của k xấp xỉ bằng
A. 13,64 N/m. B. 12,35 N/m.
C. 15,64 N/m. D. 16,71 N/m.
Lời giải:
Đáp án: A
Ta thấy con lắc cộng hưởng ở tần số xấp xỉ bằng 1,275Hz (dựa theo đồ thị). Lúc đó tần số góc cộng hưởng của dao động điều hòa
Câu 13. (Câu 15 Đề thi Thử nghiệm 2017): Một con lắc lò xo gồm vật nhỏ có khối lượng m và lò xo có độ cứng k, dao động điều hòa với phương trình x = Acos(ωt + φ). Mốc thế năng ở vị trí cân bằng. Cơ năng của con lắc là
Lời giải:
Đáp án: B
Cơ năng của con lắc lò xo là
Câu 14. (Câu 40 Đề thi Thử nghiệm 2017): Trên mặt phẳng nằm ngang có hai con lắc lò xo. Các lò xo có cùng độ cứng k, cùng chiều dài tự nhiên là 32 cm. Các vật nhỏ A và B có khối lượng lần lượt là m và 4m. Ban đầu, A và B được giữ vị trí sao cho lò xo gắn với A bị dãn 8 cm còn lò xo gắn với B bị nén 8 cm. Đồng thời thả nhẹ để hai vật dao động điều hòa trên cùng một đường thẳng đi qua giá I cố định (hình vẽ). Trong quá trình dao động, khoảng cách lớn nhất và nhỏ nhất giữa hai vật có giá trị lần lượt là
A. 64 cm và 48 cm. B. 80 cm và 48 cm.
C. 64 cm và 55 cm. D. 80 cm và 55 cm.
Lời giải:
Đáp án: D
Chọn trục tọa độ Ox như hình vẽ, ta có phương trình dao động của hai vật là
xA = 64 + 8cosωAt = 64 + 8cos2ωBt
= 64 + 8(2cos2ωBt - 1) = 56 + 16cos2ωBt;
xB = 8cosωBt. Khoảng cách giữa hai vật là L = y = xA – xB = 56 + 16cos2ωBt - 8cosωBt
Đặt cosωBt = x với , ta có y = 56 + 16x2 – 8x
Hàm số y = 56 + 16x2 – 8x có y = ymin khi
=> ; ymax = 56 + 16.(- 1)2 – 8.(-1) = 80.
Câu 15. (Câu 9 Đề thi Tham khảo 2017): Một con lắc lò xo đang dao động điều hòa, đại lượng nào sau đây của con lắc được bảo toàn?
A. Cơ năng và thế năng. B. Động năng và thế năng.
C. Cơ năng. D. Động năng.
Lời giải:
Đáp án: C
Trong dao động điều hòa cơ năng được bảo toàn
Câu 16. (Câu 21 Đề thi Tham khảo 2017): Hình vẽ bên là đồ thị biểu diễn sự phụ thuộc của thế năng đàn hồi Wđh của một con lắc lò xo vào thời gian t. Tần số dao động của con lắc bằng:
A. 33 Hz. B. 25 Hz.
C. 42 Hz. D. 50 Hz.
Lời giải:
Đáp án: B
Từ đồ thị ta thấy chu kỳ dao động của thế năng đàn hồi là 10 . 2ms = 20 ms. Suy ra chu kì dao động của con lắc lò xo là T = 2 . 20s = 40ms = 0,04 s
Câu 17. (Câu 37 Đề thi Tham khảo 2017): Một con lắc lò xo đang dao động điều hòa với biên độ 5 cm và chu kì 0,5 s trên mặt phẳng nằm ngang. Khi vật nhỏ của con lắc có tốc độ v thì người ta giữ chặt một điểm trên lò xo, vật tiếp tục dao động điều hòa với biên độ 2,25 cm và chu kì 0,25 s. Giá trị của v gần nhất với giá trị nào sau đây?
A. 50 cm/s. B. 60 cm/s. C. 70 cm/s. D. 40 cm/s.
Lời giải:
Đáp án: A
Ta có . Giả sử khi có tốc độ v, thì vật có tọa độ x (so với VTCB), nếu giữ chặt một điểm trên lò xo như trên thì vật có tọa độ là
(so với VTCB) vì lò xo dãn đều. Ta có biên độ dao động mới
Ta có
Câu 18. (Câu 12 Đề thi THPT QG 2017 – Mã đề 201): Một con lắc lò xo gồm vật nhỏ và lò xo nhẹ có độ cứng k, dao động điều hòa dọc theo trục Ox quanh vị trí cân bằng O. Biểu thức lực kéo về tác dụng lên vật theo li độ x là
Lời giải:
Đáp án: B
Lực kéo về F = − kx
Câu 19. (Câu 25 Đề thi THPT QG 2017 – Mã đề 201): Một con lắc lò xo gồm vật nhỏ và lò xo có độ cứng 20 N/m dao động điều hòa với chu kì 2 s. Khi pha cùa dao động là π/2 thì vận tốc của vật là − 20 √3 cm/s. Lấy π2 = 10. Khi vật đi qua vị trí có li độ 3π (cm) thì động năng của con lắc là
A. 0,36 J. B. 0,72 J. C. 0,03 J. D.0,18J.
Lời giải:
Đáp án: C
PT dao động có dạng: x = Acos(ωt + φ)
Khi pha của dao động là π/2 -> -> vật qua VTCB -> tốc độ cực đại của vật là vmax = 20 cm/s . Mặt khác:
Khi li độ x = 3π cm thì động năng của vật
Câu 20. (Câu 38 Đề thi THPT QG 2017 – Mã đề 201): Một con lắc lò xo treo vào một điểm cố định ở nơi có gia tốc trọng trường g = π2 (m/s2). Cho con lắc dao động điều hòa theo phương thẳng đứng, Hình bên là đồ thị biểu diễn sự phụ thuộc của thế năng đàn hồi Wđh của lò xo vào thời gian t. Khối lượng của con lắc gần nhất với giá trị nào sau đây?
A. 0,65 kg. B. 0,35 kg. C.0,55kg. B.0,45kg,
Lời giải:
Đáp án: C
Con lắc dao động điều hòa theo phương thẳng đứng.
Từ đồ thị => gốc thế năng đàn hồi ở vị trí lò xo có độ dài tự nhiên và thuộc trường hợp A > Δl
Từ đồ thị ta có mỗi dòng ngang có mức thế năng: 0,25 /4 = 0,0625J.
Ta có, thế năng đàn hồi của lò xo: (x là độ biến dạng của lò xo so với vị trí lò xo có độ dài tự nhiên). Từ đồ thị ta thấy:
+ Tại vị trí lò xo không biến dạng: Wt = 0
+ Tại vị trí vật lên cao nhất: x= A − Δl -> thế năng đàn hồi: (1)
+ Tại vị trí vật xuống thấp nhất:x= A + Δl -> thế năng đàn hồi cực đại : (2)
Từ (1) và (2) : (3)
+ Chu kì dao động của con lắc:T = 0,3s
Suy ra A =2Δl0 = 4,5cm. Từ
Từ
Câu 21. (Câu 2 Đề thi THPT QG 2017 – Mã đề 202): Một con lắc lò xo đang dao động điều hòa. Lực kéo về tác dụng vào vật nhỏ của con lắc có độ lớn tỉ lệ thuận với
A. độ lớn vận tốc của vật. B. độ lớn li độ của vật.
C. biên độ dao động của con lắc. D. chiều dài lò xo của con lắc.
Lời giải:
Đáp án: B
F = − kx. Độ lớn lực kéo về tỉ lệ với độ lớn li độ
Câu 22. (Câu 5 Đề thi THPT QG 2017 – Mã đề 203): Một con lắc lò xo gồm vật nhỏ và lò xo nhẹ có độ cứng k dao động điều hòa dọc theo trục Ox quanh vị trí cân bằng O. Biểu thức xác định lực kéo về tác dụng lên vật ở li độ x là F = − kx. Nếu F tính bằng niutơn (N), x tính bằng mét (m) thì k tính bằng
A. N.m2. B. N/m2. C. N.m. D. N/m.
Lời giải:
Đáp án: D
Độ cứng k có đơn vị N/m
Câu 23. (Câu 16 Đề thi THPT QG 2017 – Mã đề 203): Một con lắc lò xo gồm vật nhỏ và lò xo nhẹ, đang dao động điều hòa trên mặt phẳng nằm ngang. Động năng của con lắc đạt giá trị cực tiểu khi
A. lò xo không biến dạng. B. vật có vận tốc cực đại.
C. vật đi qua vị trí cân bằng. D. lò xo có chiều dài cực đại.
Lời giải:
Đáp án: D
Động năng cực tiểu bằng 0 khi v = 0 tại vị trí biên (lò xo có độ dài cực đại hoặc cực tiểu)
Câu 24. (Câu 34 Đề thi THPT QG 2017 – Mã đề 203): Một con lắc lò xo dao động tắt dần trên mặt phẳng nằm ngang. Cứ sau mỗi chu kì biên độ giảm 2%. Gốc thế năng tại vị trí của vật mà lò xo không biến dạng. Phần trăm cơ năng của con lắc bị mất đi trong hai dao động toàn phần liên tiếp có giá trị gần nhất với giá trị nào sau đây?
A. 7%. B. 4%. C. 10%. D. 8%.
Lời giải:
Đáp án: D
A1 = 0,98A; A2 = 0,98 A1 = 0,982A; lập tỷ số
=> mất đi gần 8%
Câu 25. (Câu 4 Đề thi THPT QG 2017 – Mã đề 204): Một con lắc lò xo gồm vật nhỏ và lò xo nhẹ có độ cứng k, đang dao động điều hòa. Mốc thế năng tại vị trí cân bằng. Biểu thức thế năng của con lắc ở li độ x là
Lời giải:
Đáp án: B
Thế năng
Câu 26. (Câu 26 Đề thi THPT QG 2017 – Mã đề 204): Một con lắc lò xo gồm lò xo có độ cứng 100 N/m và vật nhỏ có khối lượng m. Tác dụng lên vật ngoại lực F = 20cos10πt (N) (t tính bằng s) dọc theo trục lò xo thì xảy ra hiện tượng cộng hưởng. Lấy π2 = 10. Giá trị của m là
A. 100 g. B. 1 kg. C. 250 g. D. 0,4 kg.
Lời giải:
Đáp án: A
Câu 27. (Câu 28 Đề thi THPT QG 2017 – Mã đề 204): Một con lắc lò xo đang dao động điều hòa. Hình bên là đồ thị biểu diễn sự phụ thuộc của động năng Wđ của con lắc theo thời gian t. Hiệu t2 – t1 có giá trị gần nhất với giá trị nào sau đây?
A. 0,27 s. B. 0,24 s. C. 0,22 s. D. 0,20 s.
Lời giải:
Đáp án: B
Ta có
=> t2 - t1 = 0,25
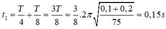
Câu 28. (Câu 39 Đề thi THPT QG 2017 – Mã đề 204): Một lò xo nhẹ có độ cứng 75 N/m, đầu trên của lò xo treo vào một điểm cố định. Vật A có khối lượng 0,1 kg được treo vào đầu dưới của lò xo. Vật B có khối lượng 0,2 kg treo vào vật A nhờ một sợi dây mềm, nhẹ, không dãn và đủ dài để khi chuyển động vật A và vật B không va chạm nhau (hình bên). Ban đầu giữ vật B để lò xo có trục thẳng đứng và dãn 9,66 cm (coi 9,66 ~ 4 + 4√2 ) rồi thả nhẹ. Lấy g = 10 m/s2 và π2 = 10. Thời gian tính từ lúc thả vật B đến khi vật A dừng lại lần đầu là
A. 0,19 s. B. 0,21 s. C. 0,17 s. D. 0,23 s.
Lời giải:
Đáp án: A
Ban đầu hệ hai vật dao động với biên độ A = 9,66 – 4 = 4√2 cm;
Xét các lực tác dụng vào vật B: mBg – T = mBa => T = mB(g – a) = mB (g + ω2 x)
Dây còn căng khi
Vậy cả 2 vật cùng chuyển động từ biên dương đến vị trí có loi độ x = − 4 hết thời gian
Tại x = − 4 cm 2 vật có cùng vận tốc
Từ x = − 4 cm thì vật mA đi lên chậm hơn mB nên dây sẽ trùng.
Khi đó mA nhận OA làm VTCB mới, cách vị trí đoạn nên mA dao động với biên độ
Thời gian mA đi từ x1 đến biên âm của nó là
Thời gian cần tìm là t = t1 + t2 = 0,1885 s
Câu 29. (Câu 13 Đề thi Minh họa 2018): Một con lắc lò xo gồm lò xo có độ cứng k, vật nhỏ khối lượng 100g, dao động điều hòa với tần số góc 20 rad/s. Giá trị của k là
A. 80 N/m. B. 20 N/m. C. 40 N/m. D. 10 N/m.
Lời giải:
Đáp án: C
Giá trị độ cứng k của lò xo được xác định bởi biểu thức k = ω2m = 202 . 0,1 = 40N/m
Câu 30. (Câu 29 Đề thi Minh họa 2018): Hai con lắc lò xo giống hệt nhau được treo vào hai điểm ở cùng độ cao, cách nhau 3cm. Kích thích cho hai con lắc dao động điều hòa theo phương thẳng đứng với phương trình lần lượt x1 = 3cosωt và x2 = 6cos(ωt + ω/3) (cm) Trong quá trình dao động, khoảng cách lớn nhất giữa hai vật nhỏ của các con lắc bằng
A. 9 cm B. 6 cm C. 5,2 cm D. 8,5 cm
Lời giải:
Đáp án: B
Ta có: Khoảng cách giữa hai vật nhỏ của con lắc bằng:
Ta có:
Biên độ tổng hợp: của x1 - x2 là
Câu 31. (Câu 30 Đề thi Minh họa 2018): Một con lắc lò xo có m = 100g và k = 12,5 N/m Thời điểm ban đầu (t = 0) lò xo không biến dạng, thả nhẹ để hệ vật và lò xo rơi tự do sao cho trục lò xo luôn có phương thẳng đứng và vật nặng ở phía dưới lò xo. Đến thời điểm t1 = 0,11s, điểm chính giữa của lò xo được giữ cố định, sau đó vật dao động điều hòa. Lấy g = 10 m/s2 Biết độ cứng của lò xo tỉ lệ nghịch với chiều dài tự nhiên của nó. Tốc độ của vật tại thời điểm t2 = 0,21s là
A. 40π cm/s B. 20√3 cm/s
C. 20π cm/s D. 20π√3 cm/s
Lời giải:
Đáp án: B
Giữ ở giữa chiều dài giảm một nửa nên độ cứng tăng gấp đôi
k = k0 = 25 N/m; m = 0,1 kg =>
Khi giữ vật VTCB của vật cách vị trí lò xo không biến dạng đoạn:
Vậy ngay sau khi giữ lò xo thì vật đang cách VTCB đoạn x1 = x0 = 4cm
Ta có t2 – t1 = 0,1 s = T/4 => so với t1 pha của vận tốc tăng thêm một góc
Do đó vận tốc v2 sẽ ngược pha với li độ x1 nên
Câu 32. (Câu 25 Đề thi THPT QG 2018 – Mã đề 201): Một con lắc lò xo có k = 40 N/m và m = 100 g. Dao động riêng của con lắc này có tần số góc là
A. 400 rad/s. B. 0,1π rad/s.
C. 20 rad/s. D. 0,2π rad/s.
Lời giải:
Đáp án: C
Giữ ở giữa chiều dài giảm một nửa nên độ cứng tăng gấp đôi
Câu 33. (Câu 40 Đề thi THPT QG 2018 – Mã đề 201): Cho cơ hệ như hình bên. Vật m khối lượng 100 g có thể chuyển động tịnh tiến, không ma sát trên mặt phẳng nằm ngang dọc theo trục lò xo có k = 40 N/m. Vật M khối lượng 300 g có thể trượt trên m với hệ số ma sát µ = 0,2. Ban đầu, giữ m đứng yên ở vị trí lò xo dãn 4,5 cm, dây D (mềm, nhẹ, không dãn) song song với trục lò xo. Biết M luôn ở trên m và mặt tiếp xúc giữa hai vật nằm ngang. Lấy g = 10 m/s2. Thả nhẹ cho m chuyển động. Tính từ lúc thả đến khi lò xo trở về trạng thái có chiều dài tự nhiên lần thứ 3 thì tốc độ trung bình của m là
A. 16,7 cm/s. B. 23,9 cm/s.
C. 29,1 cm/s. D. 8,36 cm/s.
Lời giải:
Đáp án: A
Lực ma sát giữa M và m làm cho lò xo có độ dãn .
Vật m đi từ vị trí lò xo giãn 4,5cm qua vị trí lò xo có chiều dài tự nhiên lần thứ nhất đến vị trí biên đối diện rồi đổi chiều qua vị trí lò xo có chiều dài tự nhiên lần thứ 2; tiếp tục chạy đến vị trí biên rồi đồi chiều về vị trí lò xo có chiều dài tự nhiên lần thứ 3
Giai đoạn 1: . ( dây căng, vật M không dao động )
Giai đoạn 2: . (dây trùng, vật M dao động cùng với m)
Giai đoạn 3: (dây trùng, vật M dao động cùng với m)
Câu 34. (Câu 31 Đề thi THPT QG 2018 – Mã đề 203): Cho cơ hệ như hình bên. Vật m khối lượng 100 g có thể chuyển động tịnh tiến, không ma sát trên mặt phẳng nằm ngang dọc theo trục lò xo có k = 40 N/m. Vật M khối lượng 300 g có thể trượt trên m với hệ số ma sát µ = 0,2. Ban đầu, giữ m đứng yên ở vị trí lò xo dãn 4,5 cm, dây D (mềm, nhẹ, không dãn) song song với trục lò xo. Biết M luôn ở trên m và mặt tiếp xúc giữa hai vật nằm ngang. Lấy g = 10 m/s2 . Thả nhẹ cho m chuyển động. Tính từ lúc thả đến khi m đổi chiều chuyển động lần thứ 3 thì tốc độ trung bình của m là
A. 15,3 cm/s. B. 28,7 cm/s.
C. 25,5 cm/s. D. 11,1 cm/s.
Lời giải:
Đáp án: A
Vật m đi từ vị trí lò xo giãn 4,5cm đến vị trí biên đối diện rồi đổi chiều, chạy quay lại đến vị trí biên đổi chiều lần thứ hai, tiếp tục chạy quay lại đến vị trí biên đổi chiều lần thứ 3.
Giai đoạn 1: . ( dây căng, vật M không dao động )
Giai đoạn 2: . (dây trùng, vật M dao động cùng với m)
Câu 35. (Câu 19 Đề thi THPT QG 2018 – Mã đề 206): Một con lắc lò xo gồm vật nhỏ và lò xo nhẹ có độ cứng 10 N/m dao động điều hòa với chu kì riêng 1s. Lấy π2 = 10. Khối lượng của vật là:
A. 100 g. B. 250 g.
C. 200 g. D. 150 g.
Lời giải:
Đáp án: B
Vận dụng công thức tính chu kỳ :
Câu 36. (Câu 39 Đề thi THPT QG 2018 – Mã đề 206): Cho cơ hệ như hình bên. Vật m khối lượng 100g có thể chuyển động tịnh tiến, không ma sát trên mặt phẳng nằm ngang dọc theo trục lò xo có k = 40 N/m. Vật M khối lượng 300 gam có thể trượt trên m với hệ số ma sát µ = 0,2. Ban đầu, giữ m đứng yên ở vị trí lò xo dãn 4,5 cm, dây D(mềm,nhẹ, không dãn) song song với trục lỏ xo. Biết M luôn ở trên m và mặt tiếp xúc giữa hai vật nằm ngang. Lấy g = 10 m/s2. Thả nhẹ cho m chuyển động. Tính từ lúc thả đến khi m đổi chiều chuyển động lần thứ 2 thì tốc độ trung bình của m là:
A. 22,3 cm/s. B. 19,1 cm/s.
C. 28,7 cm/s. D. 33,4 cm/s.
Lời giải:
Đáp án: B
Lực ma sát của M và m là : Fms = µ . M . g = 0,6N.
Tần số góc và chu kỳ m và (m+M) là :
Khoảng lệch giữa hai vị trí cân bằng O1O2là :
(Với O1 là vị trí cân bằng khi lò xo có chiều dài tự nhiên và O2 là vị trí cân bằng khi hệ (m+M) chịu tác dụng lực ma sát)
Do đó biên độ của m và hệ (m+M) là : A1 = 3cm và A2 = 1,5cm.
Tính từ lúc thả đến khi m đổi chiều chuyển động lần thứ 2 thì:
+ Thời gian m đi được:
+ Quãng đường m đi được: S = 2 A1 + 2 A2 = 9 (cm)
+ Tốc độ trung bình:
Câu 37. (Câu 17 Đề thi THPT QG 2018 – Mã đề 210): Một con lắc lò xo dao động điều hòa theo phương ngang với biên độ 3cm. Trong quá trình dao động chiều dài lớn nhất của lò xo là 25 cm Khi vật nhỏ của con lắc đi qua vị trí cân bằng thì chiều dài của lò xo là
A. 19 cm B. 18 cm
C. 31 cm D. 22 cm
Lời giải:
Đáp án: D
lcb = lmax − A
Câu 38. (Câu 37 Đề thi THPT QG 2018 – Mã đề 210): Cho hệ cơ học như hình bên. Vật m khối lượng 100 g có thể chuyển động tịnh tiến, không ma sát trên mặt phẳng nằm ngang dọc theo trục lò xo có k = 40 N/m. Vật M khối lượng 300 g có thể trượt trên m và với hệ số ma sát µ = 0,2. Ban đầu giữ m đứng yên ở vị trí lò xo giãn 4,5 cm, dây D (mềm, nhẹ, không dãn) song song với trục lò xo. Biết M luôn ở trên m và mặt tiếp xúc giữa hai vật nằm ngang. Lấy g = 10 m/s2. Thả nhẹ cho m chuyển động. Tính từ lúc thả đến khi lò xo trở về trạng thái có chiều dài tự nhiên lần thứ 2 thì tốc độ trung bình của m là:
A. 19,1 cm/s B. 23,9 cm/s
C. 16,7 cm/s D. 15,3 cm/s
Lời giải:
Đáp án: B
Lực ma sát giữa M và m làm cho lò xo có độ dãn .
Vật m đi từ vị trí lò xo giãn 4,5cm qua vị trí lò xo có chiều dài tự nhiên lần thứ nhất đến vị trí biên đối diện rồi đổi chiều qua vị trí lò xo có chiều dài tự nhiên lần thứ 2:
Giai đoạn 1: .( dây căng, vật M không dao động )
Giai đoạn 2: .(dây trùng, vật M dao động cùng với m)
Câu 39. (Câu 2 Đề thi Minh họa 2019): Con lắc lò xo có độ cứng k dao động điều hòa dọc theo trục Ox nằm ngang. Khi vật ở vị trí có li độ x thì lực kéo về tác dụng lên vật có giá trị là
Lời giải:
Đáp án: A
Lực kéo về tác dụng lên vật dao động điều hòa ở li độ x có giá trị Fkv = −kx
Câu 40. (Câu 33 Đề thi Minh họa 2019): Một con lắc lò xo treo thẳng đứng. Từ vị trí cân bằng, nâng vật nhỏ của con lắc theo phương thẳng đứng lên đến vị trí lò xo không biến dạng rồi buông ra, đồng thời truyền cho vật vận tốc 10√3 cm/s hướng về vị trí cân bằng. Con lắc dao động điều hòa với tần số 5 Hz. Lấy g = 10 m/s2; π2 = 10. Trong một chu kì dao động, khoảng thời gian mà lực kéo về và lực đàn hồi của lò xo tác dụng lên vật ngược hướng nhau là
Lời giải:
Đáp án: A
+ Độ biến dạng của lò xo tại vị trí cân bằng
→ Biên độ dao động của con lắc
+ Trong một chu kì dao động, lực kéo về luôn hướng về vị trí cân bằng, lực đàn hồi lại luôn hướng về vị trí lò xo không biến dạng (có li độ x = Δl0 như hình vẽ).
→ Thời gian hai lực này ngược chiều nhau là
Câu 41. (Câu 12 Đề thi THPT QG 2019 – Mã đề 206): Một con lắc lò xo gồm vật nhỏ và lò xo nhẹ có độ cứng k. Con lắc dao động điều hòa theo phương trình x = Acos(ωt + φ) . Chọn mốc thế năng tại vị trí cân bằng. Cơ năng của con lắc là
Lời giải:
Đáp án: D
Cơ năng
Câu 42. (Câu 33 Đề thi THPT QG 2019 – Mã đề 206): Một con lắc lò xo được treo vào một điểm cố định đang dao động điều hòa theo phương thẳng đứng. Hình bên là đồ thị biểu diễn sự phụ thuộc của lực đàn hồi F mà lò xo tác dụng lên vật nhỏ của con lắc theo thời gian t. Tại t = 0,3 s, lực kéo về tác dụng lên vật có độ lớn là
A.3,5N B.4,5N
C.1,5N D.2,5N
Lời giải:
Đáp án: D
Từ đồ thị ta có
(trên đồ thị dịch chuyển trục Ot lên 1 ô dễ thấy đối xứng)
Từ đồ thị ta có 3 ô (từ ô thứ 1 đến ô thứ 4 có 5T/4 =0,3s):
Lúc t = 0,1 s thì vật qua vị trí biên trên lò xo bị nén cực đại (Ox hướng lên, ngược chiều F) nên ta có pha dao động của li độ lúc này là Φx(t - 0,1) = 0
Khi t = 0,15 s thì góc quét sau thời gian 0,3 - 0,1 = 0,2 s là :
=> pha dao động tại thời điểm t = 0,3 s là:
Vậy
Câu 43. (Câu 4 Đề thi THPT QG 2019 – Mã đề 213): Một con lắc lò xo được treo vào một điểm cố định đang dao động điều hòa theo phương thẳng đứng. Hình bên là đồ thị biểu diễn sự phụ thuộc của lực đàn hồi F mà lò xo tác dụng lên vật nhỏ của con lắc theo thời gian t. Tại t=0,3 s, lực kéo về tác dụng lên vật có độ lớn là
Lời giải:
Đáp án: D
Khi con lắc lò xo nằm ngang thì lực kéo về cũng chính là lực đàn hồi: Fđh = Fk = −kx
Câu 44. (Câu 35 Đề thi THPT QG 2019 – Mã đề 213): Một con lắc lò xo được treo vào một điểm cố định đang dao động điều hòa theo phương thẳng đứng. Hình bên là đồ thị biểu diễn sự phụ thuộc của lực đàn hồi F mà lò xo tác dụng lên vật nhỏ của con lắc theo thời gian t. Tại t = 0,15 s, lực kéo về tác dụng lên vật có độ lớn là
A. 0,59 N. B. 0,29 N.
C. 1,29 N. D. 0,99 N.
Lời giải:
Đáp án: C
Từ đồ thị ta có
(trên đồ thị dịch chuyển trục Ot lên 1 ô dễ thấy đối xứng)
Từ đồ thị ta có 3 ô (từ ô thứ 1 đến ô thứ 4 có 5T/4 =0,3s):
Lúc t = 0,1 s thì vật qua vị trí biên trên lò xo bị nén cực đại (Ox hướng lên, ngược chiều F) nên ta có pha dao động của li độ lúc này là Φx(t − 0,1) = 0
Khi t = 0,15 s thì góc quét sau thời gian 0,15 - 0,1= 0,05 s là :
pha dao động tại thời điểm t = 0,15 s là:
Vậy
Câu 45. (Câu 11 Đề thi THPT QG 2019 – Mã đề 223): Một con lắc lò xo gồm vật nhỏ có khối lượng m và lò xo nhẹ có độ cứng k. Con lắc dao động điều hòa với chu kỳ là
Lời giải:
Đáp án: D
Con lắc dao động điều hòa với chu kì là:
Câu 46. (Câu 37 Đề thi THPT QG 2019 – Mã đề 223): Một con lắc lò xo được treo vào một điểm cố định đang dao động điều hòa theo phương thẳng đứng. Hình bên là đồ thị biểu diễn sự phụ thuộc của lực đàn hồi F mà lò xo tác dụng lên vật nhỏ của con lắc theo thời gian t. Tại t = 0,15s lực kéo về tác dụng lên vật có độ lớn là
A. 4,43N B. 4,83N
C. 5,83N D. 3,43N
Lời giải:
Đáp án: B
Vẽ vòng tròn lượng giác ta có
tại t= 0,2s ta có F=1N → → φ = − 0,5236 rad
Lực hồi phục ; thay t = 0,3 s vào ta tìm được kết quả
Fhp = − 4,82963(N)
Câu 47. (Câu 12 Đề thi THPT QG 2019 – Mã đề 202): Một con lắc lò xo gồm vật nhỏ có khối lượng m và lò xo nhẹ có độ cứng k. Con lắc dao động điều hòa với tần số góc là
Lời giải:
Đáp án: D
Tần số góc là
Bài tập bổ sung
Câu 1: Con lắc lò xo treo thẳng đứng dao động điều hòa (vật nặng có khối lượng 200g). Khi vật cách vị tí cân bằng một đoạn 4 cm thì vận tốc của vật bằng 0 và lúc này lò xo không bị biến dạng. Lấy g = 10 m/s2. Động năng của vật ngay khi cách vị trí cân bằng 2 cm là:
A. 0,04 J
B. 0,01 J
C. 0,02 J
D. 0,03 J
Câu 2: Con lắc lò xo treo thẳng đứng dao động điều hòa: x = 2cos20t (cm). Chiều dài tự nhiên của lò xo là l0 = 30cm, lấy g = 10m/s2. Chiều dài nhỏ nhất và lớn nhất của lò xo trong quá trình dao động lần lượt là:
A. 30,5 cm và 34,5 cm.
B. 28,5 cm và 33 cm.
C. 31 cm và 36 cm.
D. 32 cm và 34 cm.
Câu 3: Một con lắc lò xo nằm ngang gồm vật nặng mang điện q = 20µC và lò xo có độ cứng k = 10 N/m. Khi vật nằm ngang trên mặt bàn nhẵn, cách điện, nằm ngang thì người ta bật một điện trường đều trong không gian bao quanh có hướng dọc theo trục lò xo. Độ lớn cường độ điện trường E là:
A. 104 V/m
B. 1,5.104 V/m
C. 2,5.104 V/m
D. 2.104 V/m
Câu 4: Một con lắc lò xo có vật nặng khối lượng m = 1kg dao động điều hòa trên phương ngang. Khi vật có vận tốc v = 10cm/s thì thế năng bằng ba lần động năng. Năng lượng dao động của vật là
A. 0,03 J
B. 0,00125 J
C. 0,04 J
D. 0,02 J
Câu 5: Trong thang máy treo một con lắc lò xo có độ cứng k = 25N/m, vật nặng có khối lượng 400g. Khi tháng máy đứng yên ta cho con lắc dao động điều hòa; chiều dài con lắc thay đổi từ 32cm đến 48cm. Tại thời điểm mà vật ở vị trí thấp nhất, cho thang máy đi xuống nhanh dần đều với gia tốc a = g/10. Lấy g = 10m/s2. Biên độ dao động của vật trong trường hợp này là
A. 17 cm;
B. 19, cm;
C. 8,5cm;
D. 9,6cm.
Câu 6: Một con lắc lò xo có độ cứng 40 N/m và khối lượng vật M là 75g đang nằm yên trên mặt phẳng ngang, nhắn. Một vật nhỏ m có khối lượng 25g chuyển động theo phương trùng với trục lò xo với tốc độ 3,2 m/s đến va chạm và dính chặt vào M. Sau va chạm, hai vật dao động điều hòa với biên độ bằng
A. 3 cm
B. 4 cm
C. 5 cm
D. 6 cm
Câu 7: Một con lắc lò xo treo thẳng đứng được kích thích cho dao động điều hòa. Thời gian quả cầu đi từ vị trí cao nhất đến vị trí thấp nhất là 0,15s và tỉ số giữa độ lớn của lực đàn hồi lò xo và trọng lượng quả cầu gắn ở đầu con lắc khi nó ở vị trí thấp nhất là 1,8. Lấy g = π2 m/s2. Biên độ dao động của con lắc là
A. 1,25 cm;
B. 2,8 cm;
C. 1,8 cm;
D. 2,25 cm.
Câu 8: Một lò xo độ cứng k = 50 N/m, một đầu cố định, đầu còn lại treo vật nặng khối lượng m = 100g. Điểm treo lò xo chịu được lực tối đa không quá 4N. Lấy g = 10 m/s2. Để hệ thống không bị rơi thì vật nặng dao động theo phương thẳng đứng với biên độ không quá
A. 10 cm;
B. 5 cm;
C. 8 cm;
D. 6 cm.
Câu 9: Một con lắc lò xo dao động điều hòa. Độ cứng của lò xo là 16,2 N/m, mốc thế năng ở vị trí cân bằng, vật nhỏ của con lắc có động năng cực đại là 5J. Ở thời điểm vật nhỏ có động năng bằng thế năng thì lực kéo về tác dụng lên nó có độ lớn bằng
A. 7,2 N;
B. 12 N;
C. 9 N;
D. 8,1 N.
Câu 10: Gọi M, N, I là các điểm trên một lò xo nhẹ, được treo thẳng đứng ở điểm O cố định. Khi lò xo có chiều dài tự nhiên OM = MN = NI = 10 cm. Gắn vật nhỏ vào đầu dưới I của lò xo và kích thích để vật dao động điều hòa theo phương thẳng đứng. Trong quá trình dao động, tỉ số độ lớn lực kéo lớn nhất và độ lớn lực kéo nhỏ nhất tác dụng lên O bằng 3; lò xo giãn đều, khoảng cách lớn nhất giữa hai điểm M và N là 12cm. Lấy π2 = 10. Vật dao động với tần số là:
A. 2,9 Hz
B. 3,5 Hz
C. 1,7 Hz
D. 2,5 Hz
(199k) Xem Khóa học Vật Lí 12 KNTTXem Khóa học Vật Lí 12 CDXem Khóa học Vật Lí 12 CTST
Xem thêm các dạng bài tập Vật Lí lớp 12 ôn thi Tốt nghiệp có lời giải hay khác:
- Bài tập Đại cương về dao động điều hòa ôn thi Tốt nghiệp (có lời giải)
- Bài tập Con lắc đơn ôn thi Tốt nghiệp (có lời giải)
- Bài tập Tổng hợp dao động điều hòa ôn thi Tốt nghiệp (có lời giải)
- Bài tập Dao động tắt dần, cưỡng bức, duy trì ôn thi Tốt nghiệp (có lời giải)
Đã có app VietJack trên điện thoại, giải bài tập SGK, SBT Soạn văn, Văn mẫu, Thi online, Bài giảng....miễn phí. Tải ngay ứng dụng trên Android và iOS.
Theo dõi chúng tôi miễn phí trên mạng xã hội facebook và youtube:Nếu thấy hay, hãy động viên và chia sẻ nhé! Các bình luận không phù hợp với nội quy bình luận trang web sẽ bị cấm bình luận vĩnh viễn.
- Giải Tiếng Anh 12 Global Success
- Giải sgk Tiếng Anh 12 Smart World
- Giải sgk Tiếng Anh 12 Friends Global
- Lớp 12 Kết nối tri thức
- Soạn văn 12 (hay nhất) - KNTT
- Soạn văn 12 (ngắn nhất) - KNTT
- Giải sgk Toán 12 - KNTT
- Giải sgk Vật Lí 12 - KNTT
- Giải sgk Hóa học 12 - KNTT
- Giải sgk Sinh học 12 - KNTT
- Giải sgk Lịch Sử 12 - KNTT
- Giải sgk Địa Lí 12 - KNTT
- Giải sgk Giáo dục KTPL 12 - KNTT
- Giải sgk Tin học 12 - KNTT
- Giải sgk Công nghệ 12 - KNTT
- Giải sgk Hoạt động trải nghiệm 12 - KNTT
- Giải sgk Giáo dục quốc phòng 12 - KNTT
- Giải sgk Âm nhạc 12 - KNTT
- Giải sgk Mĩ thuật 12 - KNTT
- Lớp 12 Chân trời sáng tạo
- Soạn văn 12 (hay nhất) - CTST
- Soạn văn 12 (ngắn nhất) - CTST
- Giải sgk Toán 12 - CTST
- Giải sgk Vật Lí 12 - CTST
- Giải sgk Hóa học 12 - CTST
- Giải sgk Sinh học 12 - CTST
- Giải sgk Lịch Sử 12 - CTST
- Giải sgk Địa Lí 12 - CTST
- Giải sgk Giáo dục KTPL 12 - CTST
- Giải sgk Tin học 12 - CTST
- Giải sgk Hoạt động trải nghiệm 12 - CTST
- Giải sgk Âm nhạc 12 - CTST
- Lớp 12 Cánh diều
- Soạn văn 12 Cánh diều (hay nhất)
- Soạn văn 12 Cánh diều (ngắn nhất)
- Giải sgk Toán 12 Cánh diều
- Giải sgk Vật Lí 12 - Cánh diều
- Giải sgk Hóa học 12 - Cánh diều
- Giải sgk Sinh học 12 - Cánh diều
- Giải sgk Lịch Sử 12 - Cánh diều
- Giải sgk Địa Lí 12 - Cánh diều
- Giải sgk Giáo dục KTPL 12 - Cánh diều
- Giải sgk Tin học 12 - Cánh diều
- Giải sgk Công nghệ 12 - Cánh diều
- Giải sgk Hoạt động trải nghiệm 12 - Cánh diều
- Giải sgk Giáo dục quốc phòng 12 - Cánh diều
- Giải sgk Âm nhạc 12 - Cánh diều


Giải bài tập SGK & SBT
Tài liệu giáo viên
Sách
Khóa học
Thi online
Hỏi đáp

