Các dạng bài tập Dao động cơ có lời giải
Các dạng bài tập Dao động cơ có lời giải
(199k) Xem Khóa học Vật Lí 12 KNTTXem Khóa học Vật Lí 12 CDXem Khóa học Vật Lí 12 CTST
Bài giảng: Đại cương về dao động điều hòa (phần 1) - Thầy Lê Xuân Vượng (Giáo viên VietJack)
Phần Dao động cơ Vật Lí lớp 12 sẽ tổng hợp Lý thuyết, trên 20 dạng bài tập chọn lọc giúp ôn thi Tốt nghiệp môn Vật Lí và trên 800 bài tập trắc nghiệm có lời giải. Vào Xem chi tiết để theo dõi các dạng bài Dao động cơ hay nhất tương ứng.
Tổng hợp Lý thuyết Chương Dao động cơ
- Lý thuyết Dao động điều hòa Xem chi tiết
- Lý thuyết Con lắc lò xo Xem chi tiết
- Lý thuyết Con lắc đơn Xem chi tiết
- Lý thuyết Dao động tắt dần - Dao động cưỡng bức Xem chi tiết
- Lý thuyết Tổng hợp hai dao động điều hòa cùng phương cùng tần số - Phương pháp giản đồ Fre-nen Xem chi tiết
Chủ đề: Dao động điều hòa
- Bài tập Đại cương về dao động điều hòa ôn thi Tốt nghiệp (có lời giải) Xem chi tiết
Dạng 6: Tìm quãng đường, quãng đường lớn nhất, nhỏ nhất (smax, smin) vật đi được
Dạng 7: Tốc độ trung bình và vận tốc trung bình trong dao động điều hòa
Dạng 8: Phương pháp đường tròn hỗn hợp trong dao động điều hòa
Dạng 9: Tìm thời gian ngắn nhất, lớn nhất vật đi qua li độ, vật có vận tốc, gia tốc
Dạng 11: Bài toán Hai vật dao động điều hòa cùng tần số khác biên độ
Dạng 12: Bài toán Hai vật dao động điều hòa khác tần số cùng biên độ
Bài tập Hai vật dao động điều hòa cùng tần số hoặc khác tần số
Dạng 13: Tìm số lần vật đi qua vị trí có li độ x, có vận tốc v từ thời điểm t1 đến t2
75 Bài tập trắc nghiệm dao động điều hòa có lời giải (phần 1)
75 Bài tập trắc nghiệm dao động điều hòa có lời giải (phần 2)
75 Bài tập trắc nghiệm dao động điều hòa có lời giải (phần 3)
Chủ đề: Con lắc lò xo
- Bài tập Con lắc lò xo ôn thi Tốt nghiệp (có lời giải) Xem chi tiết
Dạng 2: Tính chiều dài con lắc lò xo, Lực đàn hồi, Lực phục hồi
3 dạng bài toán liên quan đến hai vật trong con lắc lò xo hay và khó
- Liên kết giữa hai vật khi dao động theo phương ngang (Bài tập Con lắc lò xo hay và khó) Xem chi tiết
- Liên kết giữa hai vật khi dao động theo phương thẳng đứng (Bài tập Con lắc lò xo hay và khó) Xem chi tiết
- Khoảng cách hai vật trong dao động con lắc lò xo hay và khó Xem chi tiết
Bài toán va chạm trong con lắc lò xo hay và khó
- Bài toán va chạm theo phương ngang trong con lắc lò xo hay và khó Xem chi tiết
- Bài toán va chạm theo phương thẳng đứng trong con lắc lò xo hay và khó Xem chi tiết
- Bài toán kích thích Con lắc lò xo dao động bằng ngoại lực hay và khó Xem chi tiết
Bài tập Con lắc lò xo tổng hợp
Chủ đề: Con lắc đơn
- Bài tập Con lắc đơn ôn thi Tốt nghiệp (có lời giải) Xem chi tiết
Bài toán va chạm trong con lắc đơn và con lắc đơn đứt dây hay và khó
Chủ đề: Tổng hợp giao động điều hòa
- Bài tập Tổng hợp dao động điều hòa ôn thi Tốt nghiệp (có lời giải) Xem chi tiết
Dạng 2: Tìm điều kiện để biên độ A, A1, A2 đạt cực đại, cực tiểu
50 bài tập trắc nghiệm Tổng hợp dao động điều hòa có lời giải (phần 1)
50 bài tập trắc nghiệm Tổng hợp dao động điều hòa có lời giải (phần 2)
Chủ đề: Dao động tắt dần, dao động cưỡng bức, dao động duy trì
Dao động tắt dần là gì? Dao động cưỡng bức, dao động duy trì ?
- Bài tập Dao động tắt dần, cưỡng bức, duy trì ôn thi Tốt nghiệp (có lời giải) Xem chi tiết
40 bài tập trắc nghiệm Dao động tắt dần, dao động cưỡng bức, dao động duy trì có lời giải (phần 1)
40 bài tập trắc nghiệm Dao động tắt dần, dao động cưỡng bức, dao động duy trì có lời giải (phần 2)
Sai số, Đồ thị Dao động điều hòa
Sai số các đại lượng vật lí trong thí nghiệm dao động điều hòa
Chinh phục bài tập Đồ thị dao động điều hòa, dao động cơ có giải chi tiết
Bài tập trắc nghiệm Dao động cơ
150 câu trắc nghiệm Dao động cơ có đáp án chi tiết (cơ bản - p1)
150 câu trắc nghiệm Dao động cơ có đáp án chi tiết (cơ bản - p2)
150 câu trắc nghiệm Dao động cơ có đáp án chi tiết (cơ bản - p3)
150 câu trắc nghiệm Dao động cơ có đáp án chi tiết (cơ bản - p4)
150 câu trắc nghiệm Dao động cơ có đáp án chi tiết (nâng cao - p1)
150 câu trắc nghiệm Dao động cơ có đáp án chi tiết (nâng cao - p2)
150 câu trắc nghiệm Dao động cơ có đáp án chi tiết (nâng cao - p3)
150 câu trắc nghiệm Dao động cơ có đáp án chi tiết (nâng cao - p4)
Cách xác định các đại lượng đặc trưng trong dao động điều hòa
A. Phương pháp & Ví dụ
1. Phương pháp
Xác định các đại lượng như biên độ A, vận tốc góc ω, chu kỳ, tần số, pha ban đầu, ... bằng cách đồng nhất với phương trình chuẩn của dao động điều hòa.
- Dao động điều hòa là dao động mà li độ của vật được biểu thị bằng hàm cosin hay sin theo thời gian.
Hoặc là nghiệm của phương trình vi phân: x’’ + ω2x = 0 có dạng như sau:
x = Acos(ωt + φ)
Trong đó:
x: Li độ, li độ là khoảng cách từ vật đến vị trí cân bằng ( Đơn vị độ dài)
A: Biên độ (li độ cực đại) ( Đơn vị độ dài)
ω: Vận tốc góc (rad/s)
ωt + φ: Pha dao động (rad/s) tại thời điểm t, cho biết trạng thái dao động của vật ( gồm vị trí và chiều )
φ: Pha ban đầu (rad) tại thời điểm t = 0s, phụ thuộc vào cách chọn gốc thời gian, gốc tọa độ.
φ, A là những hằng số dương;
- Phương trình vận tốc v (m/s)
v = x’ = v = - Aωsin(ωt + φ) = ωAcos(ωt + φ + π/2 )
→ vmax = ωA Tại vị trí cân bằng x = 0
vmin = 0 Tại 2 biên x = 2 hoặc x = -2.
Nhận xét: Trong dao động điều hoà vận tốc sớm pha hơn li độ góc π/2.
- Phương trình gia tốc a (m/s2)
a = v’ = x’’ = a = - ω2Acos(ωt + φ) = - ω2x = ω2Acos(ωt + φ + π/2)
→ amax = ω2A tại 2 biên
amin = 0 tại vtcb x = 0
Nhận xét: Trong dao động điều hoà gia tốc sớm pha hơn vận tốc góc π/2 và ngược pha với li độ.
- Chu kỳ:
. Trong đó (t: thời gian; N là số dao động thực hiện trong khoảng thời gian t)
“Thời gian để vật thực hiện được một dao động hoặc thời gian ngắn nhất để trạng thái dao động lặp lại như cũ.”
- Tần số:
“Tần số là số dao động vật thực hiện được trong một giây (số chu kỳ vật thực hiện trong một giây).”
2. Ví dụ
Ví dụ 1: Một vật dao động điều hòa với phương trình x = 4cos(2πt + π/2) cm. Xác định biên độ, chu kỳ và vị trí ban đầu của vật?
Lời giải:
Đồng nhất phương trình với phương trình chuẩn dao động điều hòa x = Acos(ωt + φ), ta được:
A = 4; ω = 2π →
Thời điểm ban đầu là lúc t = 0, thay vào phương trình, được x = 4cos (π/2) = 0, thời điểm ban đầu vật đang ở vị trí cân bằng.
Ví dụ 2: Một vật dao động điều hòa với biên độ 10 cm. Trong khoảng thời gian 90 giây, vật thực hiện được 180 dao động. Lấy π2 = 10.
a) Tính chu kỳ, tần số dao động của vật.
b) Tính tốc độ cực đại và gia tốc cực đại của vật.
Lời giải:
a) Ta có Δt = N.T → T = Δt/N = 90/180 = 0,5 s
Từ đó ta có tần số dao động là f = 1/T = 2 (Hz).
b) Tần số góc dao động của vật là
Tốc độ cực đại, gia tốc cực đại của vật được tính bởi công thức
Ví dụ 3: Một vật dao động điều hòa có vmax = 16π (cm/s); amax = 6,4 (m/s2 ). Lấy π2 = 10.
a) Tính chu kỳ, tần số dao động của vật.
b) Tính độ dài quỹ đạo chuyển động của vật.
c) Tính tốc độ của vật khi vật qua các li độ
Lời giải:
a) Ta có
Từ đó ta có chu kỳ và tần số dao động là:
b) Biên độ dao động A thỏa mãn
→ Độ dài quỹ đạo chuyển động là 2A = 8 (cm).
c) Áp dụng công thức tính tốc độ của vật ta được:
B. Bài tập trắc nghiệm
Câu 1. Trong dao động điều hòa, giá trị cực đại của vận tốc là:
A. vmax = ωA B. vmax = ω2A
C. vmax = - ωA D. vmax = - ω2A
Lời giải:
Chọn A
Câu 2. Biểu thức li độ của vật dao động điều hòa có dạng x = Acos(2ωt + φ), vận tốc của vật có giá trị cực đại là:
Lời giải:
Chọn B
Câu 3. Trong dao động điều hòa x = Acos(ωt + φ), tốc độ nhỏ nhất bằng:
A. 0,5Aω B. 0 C. –Aω D. Aω
Lời giải:
Chọn B
Câu 4. Trong dao động điều hòa x = 2Acos(ωt + φ), giá trị cực đại của gia tốc là:
Lời giải:
Chọn B
Câu 5. Trong dao động điều hòa x = Acos(ωt + φ), giá trị cực tiểu của vận tốc là:
Lời giải:
Chọn C
Câu 6. Trong dao động điều hòa x = 2Acos(2ωt + φ), giá trị cực tiểu của gia tốc là:
Lời giải:
Chọn D
Câu 7. Một chất điểm dao động điều hòa với chu kỳ 0,5π s và biên độ 2 cm. Vận tốc của chất điểm tại vị trí cân bằng có độ lớn bằng
A. 3 cm/s B. 0,5 cm/s C. 4 cm/s D. 8 cm/s
Lời giải:
Đáp án D
Câu 8. Biểu thức li độ của vật dao động điều hòa có dạng . Chu kỳ dao động của vật là:
A. T = 4s B. T = 1s C. T = 0.5s D. T = 2s
Lời giải:
Đáp án C
Câu 9. Biểu thức li độ của vật dao động điều hòa có dạng:
Biên độ dao động A và pha ban đầu φ của vật lần lượt là
Lời giải:
Đáp án A
Câu 10. Một vật dao động điều hòa có gia tốc cực đại là 314 cm/s2 và tốc độ trung bình trong một chu kỳ là 20 cm/s. Lấy π = 3,14. Biên độ dao động của vật bằng:
A. 3,5 cm B. 3,14 cm C. 2,24 cm D. 1,5 cm
Lời giải:
Trong một chu kỳ
Đáp án B
Câu 11. Một vật nhỏ dao động điều hòa theo một quỹ đạo dài 12 cm. Dao động này có biên độ
A. 12 cm B. 24 cm C. 6 cm D. 3 cm
Lời giải:
A = L/2 = 6 cm. Đáp án C.
Câu 12. Một vật dao động điều hòa có phương trình dao động x = 5cos(2πt + ) cm. Xác định gia tốc của vật khi x = 3 cm
A. - 12 m/s2 B. - 120 cm/s2
C. - 1,2 m/s2 D. - 60 m/s2
Lời giải:
a = -ω2x = -(2π)2.3 = -120 cm/s2. Đáp án B
Câu 13. Một chất điểm dao động điều hòa trên trục Ox theo phương trình x = 5cos4πt (x tính bằng cm, t tính bằng s). Tại thời điểm t = 5 s, vận tốc của chất điểm này có giá trị bằng:
A. 0 cm/s B. 5 cm/s
C. - 20π cm/s D. 20π cm/s
Lời giải:
v = x’ = - ωAsin(ωt + φ) = - 4π.5.sin4π.5 = 0. Đáp án A.
Câu 14. Một chất điểm dao động điều hòa dọc theo trục Ox với phương trình x = 10cos2πt (cm). Quãng đường đi được của chất điểm trong một chu kì dao động là:
A. 10 cm B. 30 cm C. 40 cm D. 20 cm
Lời giải:
Trong một chu kỳ vật dao động điều hòa đi được quãng đường 4A = 4.10 = 40 (cm). Đáp án C.
Câu 15. Một vật dao động điều hòa với biên độ 4 cm và chu kì 2 s. Quãng đường vật đi được trong 4 s là:
A. 64 cm B. 16 cm C. 32 cm D. 8 cm
Lời giải:
Quãng đường đi trong 2 chu kì là 8A = 32 cm. Đáp án C.
Cách giải bài tập Mối quan hệ giữa x, v, a, f trong dao động điều hòa
A. Phương pháp & Ví dụ
1. Phương pháp
Dựa vào độ lệch pha giữa 2 đại lượng dao động điều hòa, ta thiết lập nên được mối quan hệ không phụ thuộc thời gian giữa chúng cho dưới bảng sau. Sử dụng các mối quan hệ này để giải quyết những bài toán tìm giá trị tức thời của x, v, a, F khi đã cho 1 trong các đại lượng x, v, a , F.
* Đồ thị biểu diễn các mối quan hệ độc lập với thời gian:
* Hệ thức độc lập:
Chú ý: Việc áp dụng các phương trình độc lập về thời gian sẽ giúp chúng ta giải toán vật lý rất nhanh, do đó, học sinh cần học thuộc dựa vào mối quan hệ của từng đại lượng trong các công thức với nhau và phải vận dụng thành thạo cho các bài toán xuôi ngược khác nhau.
Với hai thời điểm t1, t2 vật có các cặp giá trị x1, v1 và x2, v2 thì ta có hệ thức tính ω, A và T như sau:
* Vật ở VTCB: x = 0; |v|Max = ωA; |a|Min = 0.
Vật ở biên: x = ± A; |v|Min = 0; |a|Max = ω2A.
* Sự đổi chiều và đổi dấu của các đại lượng:
+ x, a và F đổi chiều khi qua VTCB, v đổi chiều ở biên.
+ x, a, v và F biến đổi cùng T, f và
2. Ví dụ
Ví dụ 1: Một vật dao động điều hòa với phương trình x = 4cos(2πt + π/2) cm. Khi vật có li độ x = 2 cm thì vật có tốc độ là bao nhiêu?
Lời giải:
Từ phương trình x = 4cos(2πt + π/2) cm, ta xác định được các đại lượng sau:
Biên độ A = 4 (cm), tốc độ góc ω = 2π (rad/s)
Khi x = 2 (cm), áp dụng hệ thức liên hệ ta được
Ví dụ 2: [ĐH - 2011] Một chất điểm dao động điều hòa trên trục Ox. Khi chất điểm đi qua vị trí cân bằng thì tốc độ của nó là 20 cm/s. Khi chất điểm có tốc độ là 10 cm/s thì gia tốc của nó có độ lớn là cm/s2. Biên độ dao động của chất điểm là
Lời giải:
Khi chất điểm qua VTCB thì có tốc độ cực đại vmax = Aω = 20 cm/s.
Áp dụng hệ thức độc lập thời gian:
→ Biên độ dao động của chất điểm là A = vmax/ω = 20/4 = 5 cm.
Ví dụ 3: Một vật nhỏ khối lượng 100 g dao động điều hòa dưới tác dụng của một lực kéo về F = –2cos(4πt + π/3) N. Lấy π2 = 10. Biên độ dao động của vật bằng
Lời giải:
Đổi m = 100 g = 0,1 kg.
Ta có ω = 4π rad/s, Fmax = 2 N
Do Fmax = mω2A → A = Fmax/(mω2) =
= 0,125 m = 12,5 cm
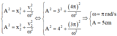
Ví dụ 4: Một vật dao động điều hòa: khi vật có li độ x1 = 3cm. Thì vận tốc là v1 = 4π cm/s, khi vật có li độ x2 = 4cm thì vận tốc là v2 = 3π cm/s. Tìm tần số góc và biên độ của vật?
Lời giải:
Từ các hệ thức độc lập với thời gian ta có:
Ví dụ 5: Cho hai vật dao động điều hòa trên hai đường thẳng song song với trục ox. Vị trí cân bằng của mỗi vật nằm trên đường thẳng vuông góc với ox tại O. Trong hệ trục vuông góc xov, đường (1) là đồ thị biểu diễn mối quan hệ giữa vận tốc và li độ của vật 1, đường (2) là đồ thị biểu diễn mối quan hệ giữa vận tốc và li độ của vật 2 (hình vẽ). Biết các lực kéo về cực đại tác dụng lên hai vật trong quá trình dao động là bằng nhau. Tỉ số giữa khối lượng của vật 2 với khối lượng của vật 1 là
Lời giải:
Cách giải 1: Nhìn vào đồ thị ta thấy: A2 = 3A1
Theo giả thiết: Fphmax1 = Fphmax2
Từ (1) và (2), ta thu được:
Chọn đáp án C
Cách giải 2:
Từ đồ thị ta có:
Mặt khác:
B. Bài tập trắc nghiệm
Câu 1. Một vật dao động điều hòa có phương trình x = Acos(ωt + φ). Gọi v và a lần lượt là vận tốc và gia tốc của vật. Hệ thức đúng là.
Lời giải:
Chọn C
Câu 2. Một vật dao động điều hòa với tần số góc ω và biên độ B. Tại thời điểm t1 thì vật có li độ và tốc độ lần lượt là x1, v1, tại thời điểm t2 thì vật có li độ và tốc độ lần lượt là x2, v2. Tốc độ góc ω được xác định bởi công thức
Lời giải:
Chọn D
Câu 3. Một vật dao động điều hòa với tần số góc ω và biên độ B. Tại thời điểm t1 thì vật có li độ và tốc độ lần lượt là a1, v1, tại thời điểm t2 thì vật có li độ và tốc độ lần lượt là a2, v2. Tốc độ góc ω được xác định bởi công thức
Lời giải:
Chọn A
Câu 4. Một vật nhỏ dao động điều hòa trên trục Ox. Mốc thế năng tại vị trí cân bằng. Ở li độ x = 2 cm, vật có động năng gấp 3 lần thế năng. Biên độ dao động của vật là:
A. 6,0 cm B. 4,0 cm C. 3,5 cm D. 2,5 cm
Lời giải:
→ 4x2 = A2
→ A = 2x = 4 cm. Đáp án B
Câu 5. Một vật dao động điều hòa dọc theo trục Ox với chu kì T, vị trí cân bằng và mốc thế năng ở gốc tọa độ. Tính từ lúc vật có li độ dương lớn nhất, thời điểm đầu tiên mà động năng và thế năng của vật bằng nhau là:
A. T/4 B. T/8 C. T/12 D. T/6
Lời giải:
Khi Wt = Wđ thì 2Wt = W
khoảng thời gian ngắn nhất để vật đi từ vị trí có li độ A đến vị trí có li độ . Đáp án B.
Câu 6. Một con lắc lò xo gồm viên bi nhỏ và lò xo nhẹ có độ cứng 100 N/m, dao động điều hòa với biên độ 0,1 m. Mốc thế năng ở vị trí cân bằng. Khi viên bi cách vị trí cân bằng 6 cm thì động năng của con lắc bằng
A. 0,64 J B. 3,2 mJ C. 6,4 mJ D. 0,32 J
Lời giải:
Wđ = W – Wt =
Đáp án D.
Câu 7. Một vật đang dao động điều hòa với tần số góc 10π rad/s và biên độ √2 cm. Khi vật có vận tốc 10√10 cm/s thì gia tốc của nó có độ lớn:
A. 4 m/s2 B. 10 m/s2 C. 2 m/s2 D. 5 m/s2.
Lời giải:
Đáp án B
Câu 8. Một con lắc lò xo gồm lò xo nhẹ và vật nhỏ dao động điều hòa theo phương ngang với tần số góc 10 rad/s. Biết khi động năng và thế năng (mốc ở vị trí cân bằng của vật) bằng nhau thì vận tốc của vật có độ lớn bằng 0,6 m/s. Biên độ dao động của con lắc là:
A. 6 cm B. 6√2 cm C. 12 cm D. 12√2 cm
Lời giải:
Khi Wđ = Wt thì Wt + Wđ = 2Wđ = W
Đáp án B
Câu 9. Một con lắc lò xo dao động điều hòa với chu kì T và biên độ 5 cm. Biết trong một chu kì, khoảng thời gian để vật nhỏ của con lắc có độ lớn gia tốc không vượt quá 100 cm/s2 là T/3. Lấy π2 = 10. Tần số dao động của vật là:
A. 4 Hz B. 3 Hz C. 1 Hz D. 2 Hz
Lời giải:
Trong 1/4 chu kì thời gian để độ lớn gia tốc không vượt quá 100 cm/s2 là T/12. Càng gần vị trí cân bằng thì gia tốc có độ lớn càng nhỏ nên sau khoảng thời gian T/12 kể từ vị trí cân bằng vật có độ lớn li độ |x| = A/2 = 2,5 cm. Khi đó
→ f = ω/2π = 1 Hz
Đáp án C
Câu 10. Một chất điểm dao động điều hòa trên trục Ox. Khi chất điểm đi qua vị trí cân bằng thì tốc độ của nó là 20 cm/s. Khi chất điểm có tốc độ là 10 cm/s thì gia tốc của nó có độ lớn là 40√3 cm/s2. Biên độ dao động của chất điểm là:
A. 5 cm B. 4 cm C. 10 cm D. 8 cm
Lời giải:
Đáp án A
Câu 11. Một chất điểm dao động điều hòa với chu kì T và biên độ 10 cm. Biết trong một chu kì, khoảng thời gian để chất điểm có vận tốc không vượt quá 20π√3 cm/s là 2T/3. Chu kì dao động của chất điểm là:
A. 3 s B. 2 s C. 1 s D. 0,5 s
Lời giải:
Trong 1/4 chu kỳ khoảng thời gian để chất điểm có vận tốc không vượt quá 20π√3 cm/s là T/6. Càng gần vị trí biên thì vận tốc của vật càng nhỏ nên sau khoảng thời gian T/6 kể từ vị trí biên vật có
Đáp án D
Câu 12. Một vật dao dao động điều hòa với p.trình x = Acos(ωt + φ). Tại các vị trí có li độ x1 = 2 cm và x2 = 2 cm, vật có vận tốc tương ứng là v1 = 20π√3 cm/s và v2 = 20π√2 cm/s. Biên độ dao động của vật có giá trị nào sau đây?
A. 4 cm B. 6 cm C. 4 cm D. 6 cm
Lời giải:
Đáp án A
Câu 13. Một vật nhỏ dao động điều hòa theo phương trình x = Acos4πt (t tính bằng s). Tính từ t = 0; khoảng thời gian ngắn nhất để gia tốc của vật có độ lớn bằng một nửa độ lớn gia tốc cực đại là:
A. 0,083 s B. 0,104 s C. 0,167 s D. 0,125s
Lời giải:
T = 2π/ω = 0,5 s; khi t = 0 thì x = A và a = amax
Sau thời gian ngắn nhất Δt = T/6 = 0,083 s thì x = A/2 và a = amax/2. Đáp án A
Câu 14. Một chất điểm dao động điều hòa. Tại thời điểm t1 li độ của chất điểm bằng x1 = 3 cm và vận tốc bằng v1 = - 60√3 cm/s. Tại thời điểm t2 li độ bằng x2 = -3√2 cm và vận tốc bằng v2 = -60√2 cm/s. Biên độ và tần số góc dao động của chất điểm lần lượt bằng:
A. 6 cm; 12 rad/s B. 12 cm; 10 rad/s
C. 6 cm; 20 rad/s D. 12 cm; 20 rad/s
Lời giải:
Ta có:
Câu 15. Một chất điểm dao động điều hòa trên trục Ox. Khi chất điểm đi qua vị trí cân bằng thì tốc độ của nó là 20 cm/s. Khi chất điểm có tốc độ là 10 cm/s thì gia tốc của nó có độ lớn là 40√3 cm/s2. Biên độ dao động của chất điểm
A. 5 cm B. 4 cm C. 10 cm D. 8 cm
Lời giải:
Từ công thức:
Đáp án A
Cách Viết phương trình dao động điều hòa
Phần 1: Viết phương trình dao động của vật khi VTCB nằm tại gốc tọa độ
A. Phương pháp & Ví dụ
1. Phương pháp
- Tìm A:
Trong đó:
- L là chiều dài quỹ đạo của dao động
- S là quãng đường vật đi được trong một chu kỳ
- Tìm ω:
- Tìm φ
Cách 1: Dựa vào t = 0 ta có hệ sau:
(Lưu ý: v.φ < 0)
Cách 2: Sử dụng vòng tròn lượng giác (VLG)
Góc Φ là góc hợp bởi giữa trục Ox và OM tại thời điểm ban đầu.
Bước 3: Thay kết quả vào phương trình: x = Acos(ωt + Φ ) được phương trình dao động điều hòa của vật.
2. Ví dụ
Ví dụ 1: Một vật dao động điều hòa với biên độ A = 5cm, Trong 10 giây vật thực hiện được 20 dao động. Xác định phương trình dao động của vật biết rằng tại thời điểm ban đầu vật tại ví trí cân bằng theo chiều dương.
Lời giải:
Cách 1: Ta có: Phương trình dao động của vật có dạng: x = A.cos(ωt + φ) cm
Trong đó:
- A = 5 cm
- f = N/t = 20/10 = 2 Hz → ω = 2πf = 4π (rad/s).
- Tại t = 0 s vật đang ở vị trí cân bằng theo chiều dương
→ Phương trình dao động của vật là: x = 5cos(4πt - π/2)cm
Cách 2: Tìm φ:
- Tại t = 0 s vật đang ở vị trí cân bằng theo chiều dương (v > 0) → Φ < 0 → Chọn B
Ví dụ 2: Một vật dao động điều hòa trên quỹ đạo dài 6cm, Biết cứ 2s vật thực hiện được một dao động, tại thời điểm ban đầu vật đang ở vị trí biên dương. Xác định phương trình dao động của vật.
Lời giải:
Cách 1: Phương trình dao động của vật có dạng: x = A cos(ωt + φ) cm
Trong đó:
- A = L/2 = 3cm.
- T = 2 s
- ω = 2π/T = π (rad/s).
Tại t = 0s vật đang ở vị trí biên dương
Vậy phương trình dao động của vật là: x = 3cos(πt) cm
Cách 2: Tìm Φ:
- Tại t = 0s vật đang ở vị trí biên dương
⇒ Loại A, C còn lại B, D khác nhau biên độ A
- Tìm A = L/2 = 3cm
Ví dụ 3: Một vật dao động điều hòa với vận tốc khi đi qua vị trí cân bằng là v = 20cm/s. Khi vật đến vị trí biên thì có giá trị của gia tốc là a = 200 cm/s2. Chọn gốc thời gian là lúc vận tốc của vật đạt giá trị cực đại theo chiều dương
Lời giải:
Cách 1: Phương trình dao động có dạng: x = A cos(ωt + φ) cm.
Trong đó:
- vmax = A.ω = 20 cm/s
- amax = A.ω2 = 200 cm/s2
- Tại t = 0 s vật có vận tốc cực đại theo chiều dương
Vậy phương trình dao động là: x = 2cos(10t - π/2 ) cm.
Cách 2: Tìm Φ
- Tại t = 0 s vật có vận tốc cực đại theo chiều dương (v > 0) ⇒ Φ < 0
⇒ Loại A, D còn lại B, C khác nhau ω
Ví dụ 4: Một vật dao động điều hòa với tần số góc 10π rad/s, tại thời điểm t = 0 vật đi qua vị trí có li độ x = 2√2π cm thì vận tốc của vật là 20√2 cm/s. Xác định phương trình dao động của vật?
Lời giải:
- Tại t = 0 s vật có vận tốc v = 20√2 π > 0 ⇒ Φ < 0
⇒ Loại B, C còn lại A, D khác nhau A
Phần 2: Viết phương trình dao động của vật có VTCB nằm ngoài gốc tọa độ
1. Phương pháp
Nếu dịch chuyển trục Ox sao cho vị trí cân bằng có tọa độ xo, khi đó biên dương là A + x, biên âm là –A + xo. Áp dụng phép di chuyển trục tọa độ ta có:
Phương trình tọa độ của vật:
x = Acos( ωt + φ) + xo
+ x là tọa độ của vật
+ Acos( ωt + φ) là li độ của vật
+ xo là tọa độ của VTCB
2. Ví dụ
Ví dụ 1: Một chất điểm dao động điều hòa trên trục Ox, quỹ đạo của chất điểm nằm trong khoảng từ tọa độ -1 cm đến + 7 cm. Thời gian chất điểm đi từ tọa độ + 3 cm đến + 5 cm bằng 1/6 s. Thời điểm ban đầu, t = 0 được chọn lúc chất điểm đi qua vị trí tọa độ + 1 cm theo chiều âm. Phương trình dao động của chất điểm là
Lời giải:
Vẽ đường tròn mô tả dao động điều hòa từ –1cm đến 7 cm thì VTCB của vật có tọa độ xo = + 3 cm.
Chất điểm đi từ 3 cm ⇒ 5cm: tương đương quay trên đường tròn góc
Vật đi từ -1 cm ⇒ + 7 cm nên độ dài quĩ đạo L = 8cm = 2A ⇒ A = 4cm.
Lúc t = 0, x = 1 cm theo chiều âm: dựng đường vuông góc với trục Ox tại 1cm và lấy điểm trên đường tròn. Suy ra, xác định được góc φ = 2π/3 rad.
⇒ Phương trình: x = Acos(ωt + φ) + xo
x = 4cos(πt – 2π/3) + 3 cm.
B. Bài tập trắc nghiệm
Câu 1.(CĐ 2009). Chất điểm dao động điều hòa có phương trình vận tốc v = 4πcos2πt (cm/s). Gốc tọa độ ở vị trí cân bằng. Mốc thời gian được chọn vào lúc chất điểm có li độ và vận tốc là:
A. x = 2 cm, v = 0
B. x = 0, v = 4π cm/s
C. x = - 2 cm, v = 0
D. x = 0, v = - 4π cm/s
Lời giải:
Vì v = 4πcos2πt (cm/s) nên x = 2cos(2πt - π/2) cm;
cosφ = cos(-π/2) = = 0 → x = 0 → |v| = vmax; φ < 0 → v > 0. Đáp án B.
Câu 2. (CĐ 2010). Một chất điểm dao động điều hòa trên trục Ox có phương trình x = 8cos(πt + π/4) (cm). Gốc tọa độ ở vị trí cân bằng. Gốc thời gian (t = 0) được chọn lúc chất điểm có li độ và vận tốc là:
A. x = 4√2 cm và v = - 4π√2 cm/s
B. x = - 4√3 cm và v = 4π√3 cm/s
C. x = 4 cm và v = - 4π cm/s
D. x = 8 cm và v = 0
Lời giải:
cosφ = cos(π/4) = x/A = √2/2 → x = (√2/2)A = 4√2 cm
v = - 8πsin (π/4)= - 4π√2 cm/s. Đáp án A
Câu 3. (CĐ 2013). Một vật nhỏ dao động điều hòa dọc theo trục Ox (vị trí cân bằng ở O) với biên độ 4 cm và tần số 10 Hz. Tại thời điểm t = 0, vật có li độ 4 cm. Phương trình dao động của vật là:
A. x = 4cos(20πt + π) cm
B. x = 4cos20πt cm
C. x = 4cos(20πt – 0,5π) cm
D. x = 4cos(20πt + 0,5π) cm
Lời giải:
ω = 2πf = 20π rad/s; cosφ = x/A = 1 → φ = 0. Đáp án B
Câu 4.(ĐH 2011). Một chất điểm dao động điều hòa trên trục Ox. Trong thời gian 31,4 s chất điểm thực hiện được 100 dao động toàn phần. Gốc thời gian là lúc chất điểm đi qua vị trí có li độ 2 cm theo chiều âm với tốc độ là 40√3 cm/s. Lấy π = 3,14. Phương trình dao động của chất điểm là:
Lời giải:
T = 31,4/100 = 0,314 = 0,1π (s) rarr; ω = 2π/T = 20 rad/s.
v < 0 rarr; φ = π/3
Đáp án B
Câu 5. Vật dao động điều hòa với tần số f = 5 Hz. Khi t = 0, vật có li độ x = 4 cm và vân tốc v = 125,6 cm/s. Phương trình dao động của vật là:
Lời giải:
Đáp án A
Câu 6. Một chất điểm dao động điều hòa theo phương nằm ngang trên đoạn MN = 2a. Thời gian ngắn nhất để nó đi từ M sang N là 1s. Tại thời điểm ban đầu chất điểm có li độ a/2 theo chiều dương. Phương trình dao động của chất điểm có dạng:
Lời giải:
Thời gian ngắn nhất để nó đi từ M sang N là 1s ⇒ T = 2s ⇒ ω = π rad/s
Tại thời điểm ban đầu chất điểm có li độ (a/2) : (a/2) = acosφ ⇒ φ = π/3 và φ = -π/3
Do chất điểm đi theo chiều dương ⇒ φ = -π/3
Phương trình dao động của chất điểm là: x = acos(πt - π/3)
Đáp án D
Câu 7. Một vật dao động điều hòa trên quỹ đạo dài 20cm. Sau (1/12)s kể từ thời điểm ban đầu vật đi được 10cm mà chưa đổi chiều chuyển động vật đến vị trí có li độ 5cm theo chiều dương. Viết phương trình dao động của vật.
Lời giải:
Ứng với thời gian vật từ N đến M với góc quay Δφ = φ/3
Hay thời gian đi là T/6 = 1/12
Suy ra T = (1/2)s , f = 2 Hz
Suy ra ω = 2πf = 4π rad/s.
Vật theo chiều dương nên: góc pha ban đầu dễ thấy là φ = -(2π/3)
Vậy phương trình dao động: Đáp án A.
Câu 8. Một vật nhỏ dao động điều hòa dọc theo trục Ox với biên độ 5 cm, chu kì 2 s. Tại thời điểm t = 0, vật đi qua cân bằng O theo chiều dương. Phương trình dao động của vật là:
Lời giải:
Ta có: A = 5cm; ω = 2π/T = π rad/s
Khi t = 0 vật đi qua cân bằng O theo chiều dương:
x = 0 và v > 0 ⇒ cosφ = 0 ⇒ φ = -π/2
Vậy phương trình dao động của vật là
Đáp án A.
Câu 9. Một chất điểm dao động điều hoà dọc theo trục Ox, quanh vị trí cân bằng O. Trong thời gian 20s vật thực hiện được 40 lần dao động. Tại thời điểm ban đầu vật chuyển động qua vị trí cân bằng theo chiều âm của trục toạ độ với vận tốc 20π cm/s. Phương trình dao động của vật là:
Lời giải:
Vật dao động điều hoà theo phương trình tổng quát x = Acos(ωt + φ), trong khoảng thời gian 20s vật thực hiện được 40 lần dao động suy ra chu kì dao động
T = 0,5s, tần số góc ω = 4π rad/s.
Tại thời điểm ban đầu t = 0 có x0 = 0, v0 = 20π cm/s. Vận tốc của vật khi vật chuyển động qua vị trí cân bằng là vận tốc cực đại vmax = ωA suy ra A = 5 cm
Tại thời điểm ban đầu vật chuyển động theo chiều âm của trục toạ độ nên φ = π/2
Vậy phương trình dao động của vật là Đáp án B.
Câu 10 Một vật dao động điều hòa với tần số f = 0,5 Hz, biên độ A = 2 cm.Viết phương trình dao động của vật. Chọn gốc thời gian khi vật đi qua vị trí cân bằng theo chiều dương.
Lời giải:
Phương trình dao động tổng quát là x = Acos(ωt + φ)
Với A = 2cm, ω = 2πf = π rad/s → phương trình dao động có dạng: x = 2cos(πt + φ)cm.
Tại thời điểm t = 0, ta có :
Phương trình dao động: x = 2cos(πt - π/2)cm.
Đáp án C
Câu 11. Một chất điểm dao động điều hòa trên trục Ox. Trong thời gian 31,4 s chất điểm thực hiện được 100 dao động toàn phần. Gốc thời gian là lúc chất điểm đi qua vị trí có li độ 2 cm theo chiều âm với tốc độ là 40√3 cm/s. Lấy π = 3,14. Phương trình dao động của chất điểm là:
Lời giải:
Áp dụng phương trình độc lập với thời gian ta có:
Từ điều kiện ban đầu tại t = 0 ta có x0 = Acosφ = 2cm ; v0 = – ωAsinφ < 0.
Nên cosφ = 1/2 ; sinφ > 0 đo đó φ = π/3
Vậy phương trình dao động của vật là x = 4cos(20t + π/3)cm.
Đáp án B
Câu 12. Một vật dao động điều hòa trên đoạn thẳng dài 4 cm với f = 10 Hz. Lúc t = 0 vật qua vị trí cân bằng theo chiều âm của quỹ đạo. Phương trình dao động của vật là :
Lời giải:
Cách giải 1: Ta có: ω = 2πf = 20π. Và A = MN/2 = 2 cm
Khi t = 0 : x0 = 0, v0 < 0 :
Vậy phương trình dao động của vật là Đáp án B.
Cách giải 2: Dùng Máy Fx 570Es bấm:
Vậy phương trình dao động của vật là Đáp án B.
Câu 13. Một vật dao động điều hoà dọc theo trục Ox. Lúc vật qua vị trí có li độ x = -√2 cm thì có vận tốc v = -π√2 cm/s và gia tốc a = π2√2 cm/s2. Chọn gốc toạ độ ở vị trí trên. Phương trình dao động của vật dưới dạng hàm số sin.
Lời giải:
Phương trình có dạng : x = Acos(ωt + φ)
Phương trình vận tốc : v = – Aωcos(ωt + φ)
Phương trình gia tốc : a = – Aω2cos(ωt + φ)
Khi t = 0 ; thay các giá trị x, v, a vào 3 phương trình đó ta có:
Lấy a chia cho x ta được: ω = π rad/s. Lấy v chia cho a ta được :
tanφ = -1 ⇒ φ = 3π/4 (vì cosφ < 0) ⇒ A = 2 cm
Vậy :Đáp án A.
Câu 14. Vật m dao động điều hòa với tần số 0,5 Hz, tại gốc thời gian nó có li độ x(0) = 4 cm, vận tốc v(0) = 12,56 cm/s, lấy π = 3,14. Hãy viết phương trình dao động.
Lời giải:
Tính ω = 2πf = 2π.0,5 = π rad/s
Khi t = 0
Vậy :
Đáp án B.
Câu 15. Vật dao động điều hòa với biên độ A = 4 cm và T = 2s. Chọn gốc thời gian là lúc vật qua VTCB theo chiều dương của quỹ đạo. Phương trình dao động của vật là:
Lời giải:
Cách giải 1: Ta có: ω = 2πf = π. Và A = 4cm ⇒ loại A và C
Khi t = 0: x0 = 0, v0 > 0:
Cách giải 2: Dùng Máy Fx570Es bấm: Mode 2, Shift Mode 4 (R:radian),
Nhập:
Đáp án A.
Câu 16. Một chất điểm dao động điều hòa theo phương trình: x = 20 + 10sin(10πt)cos(10πt). Tính li độ cực đại của chất điểm ?
A. 10 cm B. 5 cm C. 30 cm D. 10 cm
Lời giải:
Dùng công thức biến đổi tích thành tổng ta thu được phương trình:
Suy ra biên độ cực đại của dao động là A = 5 cm. Đáp án B.
C. Bài tập bổ sung
Câu 1: Một chất điểm dao động điều hoà trên trục Ox với biên độ 10 cm, chu kì 2 s. Mốc thế năng ở vị trí cân bằng. Tốc độ trung bình của chất điểm trong khoảng thời gian ngắn nhất khi chất điểm đi từ vị trí có động năng bằng 3 lần thế năng đến vị trí có động năng bằng lần thế năng là
A. 26,12 cm/s.
B. 21,96 cm/s.
C. 7,32 cm/s.
D. 14,64 cm/s.
Câu 2: Tại cùng một vị trí, dao động nhỏ của ba con lắc đơn có dây dài l1; l2 và l = l1 + l2, lần lượt có chu kì là T1 = 6,0s; T2 = 8,0s và T. T có giá trị
A. 10s.
B. 14s.
C. 3,4s.
D. 4,8s.
Câu 3: Trên mặt nước rộng có một phù kế hình trụ: tiết diện ngang S = 0,8 cm2, khối lượng m = 50 gam, nổi luôn thẳng đứng. Cho phù kế dao động nhỏ theo phương thẳng đứng, tính tần số dao động. Bỏ qua lực ma sát giữa phù kế với nước, khối lượng riêng của nước là 1000 kg/m3.
A. 3,96 Hz.
B. 1,59 Hz.
C. 0,64 Hz.
D. 0,25 Hz.
Câu 4: Đầu trên của một lò xo có độ cứng k = 100N/m được gắn vào điểm cố định thông qua dây mềm, nhẹ, không giãn. Đầu dưới của lò xo treo vật nặng m = 400g. Từ vị trí cân bằng kéo vật xuống dưới theo phương thẳng đứng một khoảng 2,0cm rồi truyền cho vật tốc độ v0 hướng về vị trí cân bằng. Lấy g = 10m.s-2. Giá trị lớn nhất của v0 để vật còn dao động điều hòa là
A. 50,0cm/s.
B. 54,8cm/s.
C. 20,0cm/s.
D. 17,3cm/s.
Câu 5: Cho hai con lắc đơn A và B dao động điều hòa trên hai đường thẳng song song với nhau. Ban đầu kéo vật nặng của hai con lắc về cùng một phía hợp với phương thẳng đứng một góc bằng nhau rồi buông nhẹ cùng một lúc. Biết rằng chu kỳ dao động của con lắc B nhỏ hơn chu kỳ dao động của con lắc A. Người ta đo được sau 4 phút 30 giây thì thấy hai vật nặng lại trùng nhau ở vị trí ban đầu. Biết chu kì dao động của con lắc A là 0,5 (s). Tỉ số chiều dài của con lắc A với so với chiều dài con lắc B là:
A. 1,00371.
B. 1,00223.
C. 1,00257.
D. 0,99624.
Câu 6: Kéo con lắc đơn có chiều dài l = 1m ra khỏi vị trí cân bằng một góc nhỏ so với phương thẳng đứng rồi thả nhẹ cho dao động. Khi đi qua vị trí cân bằng, dây treo bị vướng vào một chiếc đinh đóng dưới điểm treo con lắc một đoạn 36cm. Lấy g = 10m/s2. Chu kì dao động của con lắc là
A. 3,6s.
B. 2,2s.
C. 2s.
D. 1,8s.
Câu 7: Hai con lắc đơn treo cạnh nhau có chu kỳ dao động nhỏ là T1 = 4s và T2 = 4,8s. Kéo hai con lắc lệch một góc nhỏ như nhau rồi đồng thời buông nhẹ. Hỏi sau thời gian ngắn nhất bao nhiêu thì hai con lắc sẽ đồng thời trở lại vị trí này:
A. 8,8s.
B. 12s.
C. 6,248s.
D. 24s.
Câu 8: Con lắc của một đồng hồ có chu kỳ T = 2s ở nơi có gia tốc trọng lực g tại mặt đất. Đưa đồng hồ lên một hành tinh khác có cùng nhiệt độ với trái đất nhưng có gia tốc trọng lực g’ = 0,8g. Trong một ngày đêm ở trái đất thì đồng hồ trên hành tinh đó chạy nhanh hạy chậm bao nhiêu.
A. Chậm 10198s
B. Chậm 9198
C. Chậm 9121s
D. Chậm 10918s
Câu 9: Hai vật dao động điều hoà dọc theo hai đường thẳng song song kề nhau và song song với trục tọa độ Ox sao cho không va vào nhau trong quá trình dao động. Vị trí cân bằng của hai vật đều ở trên một đường thẳng qua góc tọa độ và vuông góc với Ox. Biết phương trình dao động của hai chất điểm lần lượt là và . Tính từ thời điểm s đến thời điểm s, thời gian mà khoảng cách giữa hai vật theo phương Ox không nhỏ hơn 2√3 cm là bao nhiêu?
A. s
B. s
C. s
D. s
Câu 10: Hai chất điểm M và N có cùng khối lượng, dao động điều hòa cùng tần số, cùng biên độ 8cm dọc theo hai đường thẳng song song kề nhau và song song với trục tọa độ Ox, điểm M được kích thích cho dao động trước N. Vị trí cân bằng của M và của N đều ở trên một đường thẳng qua gốc tọa độ và vuông góc với Ox. Trong quá trình dao động, khoảng cách lớn nhất giữa M và N theo phương Ox là 8 cm. Mốc thế năng tại vị trí cân bằng. Ở thời điểm mà M có thế năng bằng ba lần động năng và vật M chuyển động theo chiều âm về vị trí cân bằng. Tỉ số thế năng của N và động năng của M vào thời điểm này là:
A.
B.
C.
D.
(199k) Xem Khóa học Vật Lí 12 KNTTXem Khóa học Vật Lí 12 CDXem Khóa học Vật Lí 12 CTST
Xem thêm các dạng bài tập Vật Lí lớp 12 ôn thi Tốt nghiệp có lời giải hay khác:
- Sóng cơ và Sóng âm
- Dòng điện xoay chiều
- Dao động và Sóng điện từ
- Sóng ánh sáng
- Lượng tử ánh sáng
- Hạt nhân nguyên tử
Đã có app VietJack trên điện thoại, giải bài tập SGK, SBT Soạn văn, Văn mẫu, Thi online, Bài giảng....miễn phí. Tải ngay ứng dụng trên Android và iOS.
Theo dõi chúng tôi miễn phí trên mạng xã hội facebook và youtube:Nếu thấy hay, hãy động viên và chia sẻ nhé! Các bình luận không phù hợp với nội quy bình luận trang web sẽ bị cấm bình luận vĩnh viễn.
- Giải Tiếng Anh 12 Global Success
- Giải sgk Tiếng Anh 12 Smart World
- Giải sgk Tiếng Anh 12 Friends Global
- Lớp 12 Kết nối tri thức
- Soạn văn 12 (hay nhất) - KNTT
- Soạn văn 12 (ngắn nhất) - KNTT
- Giải sgk Toán 12 - KNTT
- Giải sgk Vật Lí 12 - KNTT
- Giải sgk Hóa học 12 - KNTT
- Giải sgk Sinh học 12 - KNTT
- Giải sgk Lịch Sử 12 - KNTT
- Giải sgk Địa Lí 12 - KNTT
- Giải sgk Giáo dục KTPL 12 - KNTT
- Giải sgk Tin học 12 - KNTT
- Giải sgk Công nghệ 12 - KNTT
- Giải sgk Hoạt động trải nghiệm 12 - KNTT
- Giải sgk Giáo dục quốc phòng 12 - KNTT
- Giải sgk Âm nhạc 12 - KNTT
- Giải sgk Mĩ thuật 12 - KNTT
- Lớp 12 Chân trời sáng tạo
- Soạn văn 12 (hay nhất) - CTST
- Soạn văn 12 (ngắn nhất) - CTST
- Giải sgk Toán 12 - CTST
- Giải sgk Vật Lí 12 - CTST
- Giải sgk Hóa học 12 - CTST
- Giải sgk Sinh học 12 - CTST
- Giải sgk Lịch Sử 12 - CTST
- Giải sgk Địa Lí 12 - CTST
- Giải sgk Giáo dục KTPL 12 - CTST
- Giải sgk Tin học 12 - CTST
- Giải sgk Hoạt động trải nghiệm 12 - CTST
- Giải sgk Âm nhạc 12 - CTST
- Lớp 12 Cánh diều
- Soạn văn 12 Cánh diều (hay nhất)
- Soạn văn 12 Cánh diều (ngắn nhất)
- Giải sgk Toán 12 Cánh diều
- Giải sgk Vật Lí 12 - Cánh diều
- Giải sgk Hóa học 12 - Cánh diều
- Giải sgk Sinh học 12 - Cánh diều
- Giải sgk Lịch Sử 12 - Cánh diều
- Giải sgk Địa Lí 12 - Cánh diều
- Giải sgk Giáo dục KTPL 12 - Cánh diều
- Giải sgk Tin học 12 - Cánh diều
- Giải sgk Công nghệ 12 - Cánh diều
- Giải sgk Hoạt động trải nghiệm 12 - Cánh diều
- Giải sgk Giáo dục quốc phòng 12 - Cánh diều
- Giải sgk Âm nhạc 12 - Cánh diều


Giải bài tập SGK & SBT
Tài liệu giáo viên
Sách
Khóa học
Thi online
Hỏi đáp

