150 câu trắc nghiệm dao động cơ có lời giải (cơ bản - phần 4)
Với 150 câu trắc nghiệm dao động cơ có lời giải chi tiết sẽ giúp học sinh ôn tập, biết cách làm câu trắc nghiệm dao động cơ.
150 câu trắc nghiệm dao động cơ có lời giải (cơ bản - phần 4)
(199k) Học Vật Lí 12 KNTTHọc Vật Lí 12 CDHọc Vật Lí 12 CTST
Câu 1: Tại vị trí cân bằng, truyền cho quả nặng một năng lượng ban đầu E = 0,0225J để quả nặng dao động điều hoà theo phương thẳng đứng xung quanh vị trí cân bằng. Lấy g = 10m/s2. Độ cứng của lò xo là k = 18 N/m. Chiều dài quỹ đạo của vật bằng:
A. 5cm. B. 10cm. C. 3cm. D. 2cm.
Lời giải:
Chọn B
+ Chiều dài quỹ đạo của vật là 2A = 10cm.
Câu 2: Nếu gia tốc trọng trường giảm đi 6 lần, độ dài sợi dây của con lắc đơn giảm đi 2 lần thì chu kì dao động điều hoà của con lắc đơn tăng hay giảm bao nhiêu lần ?
A. Giảm 3 lần. B. Tăng √3 lần.
C. Tăng √12 lần. D. Giảm √12 lần.
Lời giải:
Chọn B
Chu kỳ con lắc đơn:
Nếu g giảm 6 lần, l giảm 2 lần thì l/g tăng 3 lần → T tăng √3 lần
Câu 3: Một con lắc lò xo dao động điều hoà theo phương thẳng đứng, trong quá trình dao động của vật lò xo có chiều dài biến thiên từ 20cm đến 28cm. Biên độ dao động của vật là:
A. 8cm. B. 24cm. C. 4cm. D. 2cm.
Lời giải:
Chọn C
+ A = (lmax – lmin) : 2 = (28 – 20) : 2 = 4cm.
Câu 4: Một chất điểm dao động dọc theo trục Ox có phương trình dao động x = 2cos(2πt+π)(cm). Thời gian ngắn nhất vật đi từ lúc bắt đầu dao động đến lúc vật có li độ x = √3cm là:
A. 2,4s. B. 1,2s. C. 5/6s. D. 5/12s.
Lời giải:
Chọn D
+
+ t = 0: x = 2cosπ = -2cm ⇒ chất điểm ở vị trí biên âm.
Câu 5: Một vật dao động điều hoà theo phương trình x = 4cos(8πt - 2π/3) (cm). Tốc độ trung bình của vật khi đi từ vị trí có li độ x1 = -2√3 cm theo chiều dương đến vị trí có li độ x2 = 2√3 cm theo chiều dương bằng
A. 4,8√3 cm/s. B. 4,8√2 m/s.
C. 48√2 cm/s. D. 48√3 cm/s.
Lời giải:
Chọn D
+
+ Quãng đường vật đi được là: S = 2√3 + 2√3 = 4√3 cm.
+ Sử dụng vòng tròn ta có thời gian vật đi từ
+ Tốc độ trung bình: vtb = S: t = 48√3 cm/s.
Câu 6: Một vật dao động điều hoà với phương trình x = 5cos(5πt + π/3)(cm). Biết ở thời điểm t có li độ là 3cm. Li độ dao động ở thời điểm sau đó 1/10(s) là:
A. 4cm. B. 3cm. C. -3cm. D. 2cm
Lời giải:
Chọn A
Câu 7: Một vật dao động điều hoà theo phương trình
(cm). Quãng đường vật đi được trong thời gian t = 0,125s là:
A. 1cm. B. 2cm. C. 4cm. D. 1,27cm
Lời giải:
Chọn D
+ T = 0,5s
+ t = 0: x = 2cos(-π/3) = 1cm (x = A/2) và v = -8π sin(-π/3) = 4√3 cm/s > 0.
+ t = 0,125s: x = 2cos(4π. 0,125 - π/3) = √3cm (x = A√3/2) và v = -8π sin(4π. 0,125 - π/3) = -4π cm/s < 0.
+ Vì t = 0,125s < T nên vật sẽ đi từ vị trí
:
S = 1 + (4 - √3) = 1,27 cm.
Câu 8: Một vật dao động điều hoà với chu kỳ T và biên độ A. Tốc độ trung bình lớn nhất của vật thực hiện được trong khoảng thời gian 2T/3 là:
Lời giải:
Chọn A
Ta dựa vào tính chất của dao động là vật chuyển động càng nhanh khi càng gần vị trí cân bằng cho nên quãng đường dài nhất ΔS vật đi được trong thời gian Δt với 0 < Δt < T/2 phải đối xứng qua vị trí cân bằng (hình vẽ)
Với thời gian t = 2T/3 = T/2 + T/6 → S = 2A + ΔS (Δφ = 60º)
Do vậy, tốc độ trung bình lớn nhất của vật thực hiện được trong khoảng thời gian 2T/3 khi vật đi được quảng đường lớn nhất trong khoảng thời gian 2T/3 →ΔS phải lớn nhất
Câu 9: Con lắc lò xo treo thẳng đứng, độ dài tự nhiên của lò xo là 22cm. Vật mắc vào lò xo có khối lượng m = 120g. Khi hệ thống ở trạng thái cân bằng thì độ dài của lò xo là 24cm. Lấy π2 = 10; g = 10m/s2. Tần số dao động của vật là:
Lời giải:
Chọn B
+ Độ giãn của lò xo ở vị trí cân bằng: Δlo = 24 – 22 = 2cm = 0,02m.
+
Câu 10: Con lắc lò xo treo thẳng đứng, dao động điều hòa với phương trình x = 2cos(20t) cm. Chiều dài tự nhiên của lò xo là ℓ0 = 30 cm, lấy g = 10m/s2. Chiều dài của lò xo tại vị trí cân bằng là:
A. ℓcb = 32 cm B. ℓcb = 33 cm
C. ℓcb = 32,5 cm D. ℓcb = 35 cm
Lời giải:
Chọn C
+
⇒ Δlo = 0,025m = 2,5cm.
+ lCB = lo + Δlo = 30 + 2,5 = 32,5 cm.
Câu 11: Một con lắc lò xo gồm vật có khối lượng m và lò xo có độ cứng k, dao động điều hòa. Nếu tăng độ cứng k lên 2 lần và giảm khối lượng m đi 8 lần thì tần số dao động của vật sẽ
A. tăng 2 lần. B. giảm 2 lần.
C. giảm 4 lần. D. tăng 4 lần.
Lời giải:
Chọn D
. Khi k tăng 2 lần, m giảm 8 lần thì k/m tăng 16 lần → f tăng 4 lần
Câu 12: Một con lắc lò xo gồm viên bi nhỏ khối lượng m và lò xo khối lượng không đáng kể có độ cứng 10 N/m. Con lắc dao động cưỡng bức dưới tác dụng của ngoại lực tuần hoàn có tần số góc ωF. Biết biên độ của ngoại lực tuần hoàn không thay đổi. Khi thay đổi ωF thì biên độ dao động của viên bi thay đổi và khi ωF = 10 rad/s thì biên độ dao động của viên bi đạt giá trị cực đại. Khối lượng m của viên bi bằng
A. 40 gam. B. 10 gam.
C. 120 gam. D. 100 gam.
Lời giải:
Chọn D
+ Dao động cưỡng bức đạt biên độ cực đại khi tần số góc của ngoại lực bằng tần số góc của dao động riêng
⇒ ω = ωF ⇔
⇒ m = 0,1 kg = 100 g.
Câu 13: Chất điểm có khối lượng m1 = 50 gam dao động điều hoà quanh vị trí cân bằng của nó với phương trình dao động x1 = sin(5πt + π/6 ) (cm). Chất điểm có khối lượng m2 = 100 gam dao động điều hoà quanh vị trí cân bằng của nó với phương trình dao động x2 = 5sin(πt – π/6 )(cm). Tỉ số cơ năng trong quá trình dao động điều hoà của chất điểm m1 so với chất điểm m2 bằng
A. 1/2. B. 2. C. 1. D. 1/5.
Lời giải:
Chọn A
Câu 14: Cơ năng của một vật dao động điều hòa
A. biến thiên tuần hoàn theo thời gian với chu kỳ bằng một nửa chu kỳ dao động của vật.
B. tăng gấp đôi khi biên độ dao động của vật tăng gấp đôi.
C. bằng động năng của vật khi vật tới vị trí cân bằng.
D. biến thiên tuần hoàn theo thời gian với chu kỳ bằng chu kỳ dao động của vật.
Lời giải:
Chọn C
Cơ năng E: Là năng lượng cơ học của vật, nó bao gồm tổng của động năng và thế năng.
không biến thiên theo thời gian.
Câu 15: Cho hai dao động điều hòa cùng phương, cùng tần số, cùng biên độ và có các pha ban đầu là π/3 rad và – π/6 rad. Pha ban đầu của dao động tổng hợp hai dao động trên bằng
Lời giải:
Chọn D
+ Hai dao động có cùng biên độ, chọn A1 = A2 = 1cm.
+ Áp dụng phép cộng số phức trên máy tính:
Câu 16: Một vật dao động điều hòa có chu kì là T. Nếu chọn gốc thời gian t = 0 lúc vật qua vị trí cân bằng, thì trong nửa chu kì đầu tiên, vận tốc của vật bằng không ở thời điểm
Lời giải:
Chọn B
+ Vận tốc của vật bằng không khi vật ở vị trí biên. Vật xuất phát từ vị trí cân bằng nên trong nửa chu kì đầu tiên vật sẽ đi tới biên âm rồi quay trở về đúng vị trí cân bằng nên vận tốc của vật bằng không ở thời điểm T/4.
Câu 17: Một chất điểm dao động điều hòa theo phương trình x = 3sin(5πt + π/6) (x tính bằng cm và t tính bằng giây). Trong một giây đầu tiên từ thời điểm t = 0, chất điểm đi qua vị trí có li độ x = +1cm
A. 7 lần. B. 6 lần. C. 4 lần. D. 5 lần.
Lời giải:
Chọn D
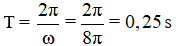
+ T = 0,4s.
+ t = 0: x = 3sin(π/6) = 1,5 cm và v = 15π cos(π/6) = 7,5π√3 cm/s > 0 .
+ t = 1s: x = 3sin(5π.1 + π/6) = - 1,5 cm và v = 15πcos(5π.1 + π/6) = - 7,5π√3 < 0.
+ t = 1s = 2T + 0,2 (s)
* Trong hai chu kì đầu tiên vật đi qua vị trí x = +1 cm là 4 lần (mỗi chu kì 2 lần).
* Trong 0,2s cuối vật đi từ x = 1,5cm ra biên dương rồi quay lại qua vị trí cân bằng đến
x= -1,5cm ⇒ đi qua x = +1cm thêm 1 lần.
Vậy trong 1s vật qua x = +1cm là 5 lần.
Câu 18: Một con lắc lò xo gồm lò xo có độ cứng 20 N/m và viên bi có khối lượng 0,2 kg dao động điều hòa. Tại thời điểm t, vận tốc và gia tốc của viên bi lần lượt là 20 cm/s và 2√3m/s2. Biên độ dao động của viên bi là
A. 16cm. B. 4 cm. C. 4√3 cm. D. 10√3 cm.
Lời giải:
Chọn B
Câu 19: Khi nói về một vật dao động điều hòa có biên độ A và chu kì T, với mốc thời gian (t = 0) là lúc vật ở vị trí biên, phát biểu nào sau đây là sai?
A. Sau thời gian T/8, vật đi được quảng đường bằng 0,5A.
B. Sau thời gian T/2, vật đi được quảng đường bằng 2 A.
C. Sau thời gian T/4, vật đi được quảng đường bằng A.
D. Sau thời gian T, vật đi được quảng đường bằng 4A.
Lời giải:
Chọn A
Quan sát vòng tròn biểu thị dao động điều hòa ta thấy phát biểu A là sai.
Câu 20: Một chất điểm dao động điều hòa có phương trình vận tốc là v = 4πcos2πt (cm/s). Gốc tọa độ ở vị trí cân bằng. Mốc thời gian được chọn vào lúc chất điểm có li độ và vận tốc là:
A. x = 2 cm, v = 0. B. x = 0, v = 4π cm/s
C. x = -2 cm, v = 0. D. x = 0, v = -4π cm/s
Lời giải:
Chọn B
+ t=0 thay vào biểu thức của v được v = 4π cm/s = vmax ⇒ ban đầu vật ở vị trí cân bằng.
Câu 21: Một vật dao động điều hòa dọc theo trục tọa độ nằm ngang Ox với chu kì T, vị trí cân bằng và mốc thế năng ở gốc tọa độ. Tính từ lúc vật có li độ dương lớn nhất, thời điểm đầu tiên mà động năng và thế năng của vật bằng nhau là
Lời giải:
Chọn B
+ Động năng và thế năng của vật bằng nhau ở vị trí
+ Vật có li độ dương lớn nhất chính là ở biên dương x = +A
+ Sử dụng vòng tròn, vật từ x = +A đến
lần đầu tiên
Câu 22: Một con lắc lò xo có khối lượng vật nhỏ là 50 g. Con lắc dao động điều hòa theo một trục cố định nằm ngang với phương trình x = Acosωt. Cứ sau những khoảng thời gian 0,05 s thì động năng và thế năng của vật lại bằng nhau. Lấy π2 = 10. Lò xo của con lắc có độ cứng bằng
A. 50 N/m. B. 100 N/m. C. 25 N/m. D. 200 N/m.
Lời giải:
Chọn A
+ Cứ sau khoảng thời gian
thì động năng lại bằng thế năng
⇒
= 0,05 ⇒ T = 0,2s ⇒ ω = 10π rad/s.
+ Mà
, thay m = 50g = 0,05kg và ω = 10π rad/s vào ⇒ k = 50 N/m.
Câu 23: Một con lắc lò xo gồm lò xo nhẹ và vật nhỏ dao động điều hòa theo phương ngang với tần số góc 10 rad/s. Biết rằng khi động năng và thế năng (mốc ở vị trí cân bằng của vật) bằng nhau thì vận tốc của vật có độ lớn bằng 0,6 m/s. Biên độ dao động của con lắc là
A. 6 cm B. 6√2 cm C. 12 cm D. 12√2 cm
Lời giải:
Chọn B
+ Động năng và thế năng bằng nhau khi vật ở vị trí
Câu 24: Một vật nhỏ có chuyển động là tổng hợp của hai dao động điều hòa cùng phương. Hai dao động này có phương trình là x1 = A1cosωt và x2 = A2cos(ωt + π/2). Gọi E là cơ năng của vật. Khối lượng của vật bằng
Lời giải:
Chọn D
Hai dao động thành phần vuông pha nhau nên
Câu 25: Phát biểu nào dưới đây với con lắc đơn dao động điều hòa là không đúng?
A. Động năng tỉ lệ với bình phương tốc độ góc của vật.
B. Thế năng tỉ lệ với bình phương tốc độ góc của vật.
C. Thế năng tỉ lệ với bình phương li độ góc của vật.
D. Cơ năng không đổi theo thời gian và tỉ lệ với bình phương biên độ góc.
Lời giải:
Chọn B
Con lắc đơn dao động điều hòa có:
Thế năng
→ Et tỷ lệ với bình phương li độ góc)
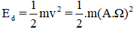
và năng lượng
(x0 = l.α0 là biên độ dao động của con lắc)
Động năng
(Ω là tốc độ góc)
Câu 26: Con lắc lò xo gồm một vật nhỏ có khối lượng 250g và lò xo nhẹ có độ cứng 100 N/m dao động điều hòa dọc theo trục Ox với biên độ 4 cm. Khoảng thời gian ngắn nhất để vận tốc của vật có giá trị từ -40 cm/s đến 40√3 cm/s là
Lời giải:
Chọn A
+ Thay k = 100N/m và m = 250g = 0,25kg vào
Câu 27: Lực kéo về tác dụng lên một chất điểm dao động điều hòa có độ lớn
A. tỉ lệ thuận với độ lớn của li độ và luôn hướng về vị trí cân bằng.
B. tỉ lệ với bình phương biên độ.
C. và hướng không đổi.
D. không đổi nhưng hướng thay đổi.
Lời giải:
Chọn A
Hợp lực F tác dụng lên vật dao động điều hòa, còn gọi là lực hồi phục hay lực kéo về là lực gây ra dao động điều hòa, có biểu thức: F = ma = -mω2x = m.ω2Acos(ωt + φ + π)
Lực này cũng biến thiên điều hòa với tần số f, có chiều luôn hướng về vị trí cân bằng, trái dấu (-), tỷ lệ (ω2) và ngược pha với li độ x (như gia tốc a).
Câu 28: Một hệ dao động điều hòa với tần số dao động riêng 2Hz. Tác dụng vào hệ dao động đó một ngoại lực có biểu thức
thì
A. hệ sẽ dao động với biên độ giảm dần rất nhanh do ngoại lực có tác dụng cản trở dao động.
B. hệ sẽ dao động với biên độ cực đại vì khi đó xảy ra hiện tượng cộng hưởng.
C. hệ sẽ ngừng dao động do hiệu tần số của ngoại lực cưỡng bức và tần số dao động riêng bằng 0.
D. hệ sẽ dao động cưỡng bức với tần số dao động là 4Hz.
Lời giải:
Chọn B
Ngoại lực:
→ tần số ngoại lực: f = 2Hz = tần số dao động riêng → xảy ra hiện tượng cộng hưởng.
Hiện tượng cộng hưởng: Là hiện tượng biên độ dao động cưỡng bức tăng một cách đột ngột khi tần số dao động cưỡng bức xấp xỉ bằng tần số dao động riêng của hệ.
Khi đó: f = f0 hay ω = ω0 hay T = T0 Với f, ω, T và f0, ω0, T0 là tần số, tần số góc, chu kỳ của lực cưỡng bức và của hệ dao động.
Câu 29: Trong dao động điều hoà của con lắc lò xo treo thẳng đứng có biên độ dao động A < Δℓ0 (với Δℓ0 là độ giãn của lò xo tại vị trí cân bằng). Phát biểu nào sau đây là đúng?
A. Khi qua VTCB lực đàn hồi và hợp lực luôn cùng chiều.
B. Khi qua VTCB lực đàn hồi đổi chiều và hợp lực bằng không.
C. Khi qua VTCB lực đàn hồi và hợp lực ngược chiều nhau.
D. Khi qua VTCB hợp lực đổi chiều, lực đàn hồi không đổi chiều trong quá trình dao động của vật.
Lời giải:
Chọn D
Lực phục hồi là hợp lực tác dụng vào vật hay lực kéo về, có xu hướng đưa vật về VTCB và là lực gây ra dao động cho vật, lực này biến thiên điều hòa cùng tần số với dao động của vật và tỷ lệ nhưng trái dấu với li độ.
Fph = - k.x = ma = -mω2.x có độ lớn Fph = k|x
→ Khi qua VTCB hợp lực đổi chiều.
Lực đàn hồi là lực do sự biến dạng của lò xo gây ra, Fđh = -k.(Δl + x) → Khi A < Δℓ0, lò xo luôn giãn nên Fđh luôn hướng lên trên (ngược chiều biến dạng của lò xo) nên lực đàn hồi trong trường hợp này không đổi chiều trong quá trình dao động của vật.
Câu 30: Khi chiều dài dây treo con lắc đơn tăng 20% so với chiều dài ban đầu thì chu kì dao động của con lắc đơn thay đổi như thế nào?
A. Giảm 20%. B. Giảm 9,54%.
C. Tăng 20%. D. Tăng 9,54%.
Lời giải:
Chọn D
+ Chiều dài dây tăng 20% so với chiều dài ban đầu ⇒ l = lo + 20% lo = 1,2 lo.
Vậy chu kì tăng thêm 0,0954To hay 9,54%.
(199k) Học Vật Lí 12 KNTTHọc Vật Lí 12 CDHọc Vật Lí 12 CTST
Xem thêm các dạng bài tập Vật Lí lớp 12 có trong đề thi Tốt nghiệp THPT khác:
Đã có app VietJack trên điện thoại, giải bài tập SGK, SBT Soạn văn, Văn mẫu, Thi online, Bài giảng....miễn phí. Tải ngay ứng dụng trên Android và iOS.
Theo dõi chúng tôi miễn phí trên mạng xã hội facebook và youtube:Nếu thấy hay, hãy động viên và chia sẻ nhé! Các bình luận không phù hợp với nội quy bình luận trang web sẽ bị cấm bình luận vĩnh viễn.
- Giải Tiếng Anh 12 Global Success
- Giải sgk Tiếng Anh 12 Smart World
- Giải sgk Tiếng Anh 12 Friends Global
- Lớp 12 Kết nối tri thức
- Soạn văn 12 (hay nhất) - KNTT
- Soạn văn 12 (ngắn nhất) - KNTT
- Giải sgk Toán 12 - KNTT
- Giải sgk Vật Lí 12 - KNTT
- Giải sgk Hóa học 12 - KNTT
- Giải sgk Sinh học 12 - KNTT
- Giải sgk Lịch Sử 12 - KNTT
- Giải sgk Địa Lí 12 - KNTT
- Giải sgk Giáo dục KTPL 12 - KNTT
- Giải sgk Tin học 12 - KNTT
- Giải sgk Công nghệ 12 - KNTT
- Giải sgk Hoạt động trải nghiệm 12 - KNTT
- Giải sgk Giáo dục quốc phòng 12 - KNTT
- Giải sgk Âm nhạc 12 - KNTT
- Giải sgk Mĩ thuật 12 - KNTT
- Lớp 12 Chân trời sáng tạo
- Soạn văn 12 (hay nhất) - CTST
- Soạn văn 12 (ngắn nhất) - CTST
- Giải sgk Toán 12 - CTST
- Giải sgk Vật Lí 12 - CTST
- Giải sgk Hóa học 12 - CTST
- Giải sgk Sinh học 12 - CTST
- Giải sgk Lịch Sử 12 - CTST
- Giải sgk Địa Lí 12 - CTST
- Giải sgk Giáo dục KTPL 12 - CTST
- Giải sgk Tin học 12 - CTST
- Giải sgk Hoạt động trải nghiệm 12 - CTST
- Giải sgk Âm nhạc 12 - CTST
- Lớp 12 Cánh diều
- Soạn văn 12 Cánh diều (hay nhất)
- Soạn văn 12 Cánh diều (ngắn nhất)
- Giải sgk Toán 12 Cánh diều
- Giải sgk Vật Lí 12 - Cánh diều
- Giải sgk Hóa học 12 - Cánh diều
- Giải sgk Sinh học 12 - Cánh diều
- Giải sgk Lịch Sử 12 - Cánh diều
- Giải sgk Địa Lí 12 - Cánh diều
- Giải sgk Giáo dục KTPL 12 - Cánh diều
- Giải sgk Tin học 12 - Cánh diều
- Giải sgk Công nghệ 12 - Cánh diều
- Giải sgk Hoạt động trải nghiệm 12 - Cánh diều
- Giải sgk Giáo dục quốc phòng 12 - Cánh diều
- Giải sgk Âm nhạc 12 - Cánh diều


Giải bài tập SGK & SBT
Tài liệu giáo viên
Sách
Khóa học
Thi online
Hỏi đáp

