150 câu trắc nghiệm dao động cơ có lời giải (cơ bản - phần 2)
Với 150 câu trắc nghiệm dao động cơ có lời giải chi tiết sẽ giúp học sinh ôn tập, biết cách làm câu trắc nghiệm dao động cơ.
150 câu trắc nghiệm dao động cơ có lời giải (cơ bản - phần 2)
(199k) Học Vật Lí 12 KNTTHọc Vật Lí 12 CDHọc Vật Lí 12 CTST
Câu 1: Một quả cầu có khối lượng m = 100g được treo vào đầu dưới của một lò xo có chiều dài tự nhiên l0 = 30cm, độ cứng k = 100N/m, đầu trên cố định. Cho g = 10m/s2. Chiều dài của lò xo ở vị trí cân bằng là
A. 31cm. B. 29cm. C. 20cm. D. 18cm.
Lời giải:
Chọn A
Câu 2: Con lắc lò xo nằm ngang. Khi vật đang đứng yên ở vị trí cân bằng ta truyền cho vật nặng vận tốc v = 31,4cm/s theo phương ngang để vật dao động điều hoà. Biết biên độ dao động là 5cm, chu kì dao động của con lắc là
A. 0,5s. B. 1s. C. 2s. D. 4s.
Lời giải:
Chọn B
+ Vận tốc của vật tại vị trí cân bằng có độ lớn cực đại:
vmax = ωA ⇒ ω = vmax : A = 31,4 : 5 = 6,28 rad/s.
+
Câu 3: Một con lắc lò xo treo thẳng đứng, độ dài tự nhiên của lò xo là 22cm. Vật mắc vào lò xo có khối lượng m = 120g. Khi hệ thống ở trạng thái cân bằng thì độ dài của lò xo là 24cm. Lấy π2 = 10; g = 10m/s2. Tần số dao động của vật là
Lời giải:
Chọn B
Câu 4: Một vật nhỏ khối lượng m, được treo vào đầu một lò xo nhẹ ở nơi có gia tốc rơi tự do bằng 9,8m/s2. Khi vật ở vị trí cân bằng lò xo giãn ra một đoạn bằng 5,0 cm. Kích thích để vật dao động điều hoà. Thời gian ngắn nhất để vật đi từ vị trí cân bằng đến vị trí có li độ bằng nửa biên độ là
A. 7,5.10-2s. B. 3,7.10-2s.
C. 0,22s. D. 0,11s.
Lời giải:
Chọn B
+ Thời gian ngắn nhất để vật đi từ vị trí cân bằng đến vị trí có li độ bằng nửa biên độ là
+ Mà
⇒ t = 3,7.10-2s.
Câu 5: Cho hai lò xo giống nhau có cùng độ cứng là k, lò xo thứ nhất treo vật m1 = 400g dao động với T1, lò xo thứ hai treo m2 dao động với chu kì T2. Trong cùng một khoảng thời gian con lắc thứ nhất thực hiện được 5 dao động, con lắc thứ hai thực hiện được 10 dao động. Khối lượng m2 bằng
A. 200g. B. 50g. C. 800g. D. 100g
Lời giải:
Chọn D
Câu 6: Có hai lò xo được cắt từ một lò xo ban đầu, độ cứng lần lượt là 300N/m và 600N/m. Treo vật nặng m vào lò xo thứ nhất và cho vật dao động thì vật có chu kỳ 2s. Mắc lần lượt hai lò xo thành bộ nối tiếp và song song rồi mắc vật nặng m và cho dao động, thì chu kỳ của vật lần lượt là
A. 1,16s; 2,45s. B. 4s; 2,5s.
C. 2,5s; 4s. D. 2,45s; 1,16s
Lời giải:
Chọn D
Câu 7: Khi gắn quả nặng m1 vào một lò xo thấy nó dao động với chu kì 6s. Khi gắn quả nặng có khối lượng m2 vào lò xo đó, nó dao động với chu kì 8s. Nếu gắn đồng thời m1 và m2 vào lò xo đó thì hệ dao động với chu kì bằng
A. 10s. B. 4,8s. C. 7s. D. 14s.
Lời giải:
Chọn A
Câu 8: Cho một con lắc lò xo dao động điều hoà với phương trình
(cm). Biết vật nặng có khối lượng m = 100g. Động năng của vật nặng tại li độ x = 8cm bằng
A. 2,6J. B. 0,072J. C. 7,2J. D. 0,72J.
Lời giải:
Chọn B
+ Năng lượng toàn phần
+ Thế năng tại x = 8cm:
+ Từ W = Wt + Wđ ⇒ Động năng tại li độ x = 8cm : Wđ = 0,02 – 0,128 = 0,72(J)
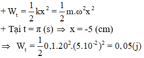
Câu 9: Cho một con lắc lò xo dao động điều hoà với phương trình
(cm). Biết vật nặng có khối lượng m = 100g. Thế năng của con lắc tại thời điểm t = π (s) bằng
A. 0,5J. B. 0,05J. C. 0,25J. D. 0,5mJ.
Lời giải:
Chọn B
Câu 10: Cho một con lắc lò xo dao động điều hoà với phương trình
(cm). Biết vật nặng có khối lượng m = 200g. Cơ năng của con lắc trong quá trình dao động bằng
A. 0,1mJ. B. 0,01J. C. 0,1J. D. 0,2J.
Lời giải:
Chọn C
Câu 11: Một con lắc lò xo dao động điều hoà với phương trình x = 10cosωt (cm). Tại vị trí có li độ x = 5cm, tỉ số giữa động năng và thế năng của con lắc là
A. 1. B. 2. C. 3 D. 4.
Lời giải:
Chọn C
⇒ Tỉ số giữa động năng và thế năng của con lắc là 3.
Câu 12: Một con lắc lò xo dao động điều hoà đi được 40cm trong thời gian một chu kì dao động. Con lắc có động năng gấp ba lần thế năng tại vị trí có li độ bằng
Lời giải:
Chọn B
+ Trong một chu kì vật nặng đi được quãng đường 4A ⇒ A = 40 : 4 = 10 cm
Câu 13: Một con lắc lò xo gồm một vật nhỏ và lò xo nhẹ có độ cứng 100 N/m. Con lắc dao động đều hòa theo phương ngang với phương trình x = Acos(ωt + φ). Mốc thế năng tại vị trí cân bằng. Khoảng thời gian giữa hai lần liên tiếp con lắc có động năng bằng thế năng là 0,1 s. Lấy π2 = 10. Khối lượng vật nhỏ bằng
A. 40 g. B. 200 g. C. 100 g. D. 400 g.
Lời giải:
Chọn D
+ Thời gian con lắc đi từ
đến
và ngược lại đều bằng T/4
⇒ T = 4.0,1 = 0,4 (s)
Câu 14: Con lắc lò xo dao động điều hoà trên phương ngang, lực đàn hồi cực đại tác dụng vào vật bằng 2N và gia tốc cực đại của vật là 2m/s2. Khối lượng vật nặng bằng
A. 1kg. B. 2kg. C. 4kg. D. 100g.
Lời giải:
Chọn A
+ Fmax = mamax ⇒ m = Fmax : amax = 2 : 2 = 1 (kg).
Câu 15: Một con lắc lò xo treo thẳng đứng dao động điều hoà với biên độ 4cm, chu kì 0,5s. Khối lượng quả nặng 400g. Lấy g = π2 ≈ 10m/s2. Giá trị cực đại của lực đàn hồi tác dụng vào quả nặng là
A. 6,56N. B. 2,56N. C. 256N. D. 656N
Lời giải:
Chọn A
+ Độ giãn của lò xo ở vị trí cân bằng:
+ Giá trị cực đại của lực đàn hồi: Fđhmax = k (A + Δl) = 64.(0,0625 + 0,04) = 6,56N.
Câu 16: Một con lắc lò xo dao động điều hoà với biên độ A = 0,1m chu kì dao động T = 0,5s. Khối lượng quả nặng m = 0,25kg. Lực phục hồi cực đại tác dụng lên vật có giá trị
A. 0,4N. B. 4N. C. 10N. D. 40N.
Lời giải:
Chọn B
+
+ Fphmax = mamax = mω2A = 0,25.(4π)2.0,1 = 4N
Câu 17: Một con lắc lò xo gồm một quả nặng có khối lượng m = 0,2kg treo vào lò xo có độ cứng k = 100N/m. Cho vật dao động điều hoà theo phương thẳng đứng với biên độ A = 3cm. Lực đàn hồi cực tiểu có giá trị là
A. 3N. B. 2N. C. 1N. D. 0N.
Lời giải:
Chọn D
+ Do A = 3cm > Δlo nên lực đàn hồi cực tiểu có giá trị là 0N.
Câu 18: Một con lắc lò xo treo thẳng đứng dao động điều hòa với chu kỳ 0,2s. Trong quá trình dao động, chiều dài của con lắc biến thiên từ 20cm đến 30cm. Tìm chiều dài tự nhiên của con lắc
A. 24 cm. B. 20 cm. C. 10 cm. D. 15 cm.
Lời giải:
Chọn A
+ Chiều dài tự nhiên l0 = lmax – A - Δl0 = 30 - 5 – 1 = 24cm
Câu 19: Có ba con lắc đơn treo cạnh nhau cùng chiều dài, ba vật bằng sắt, nhôm và gỗ (có khối lượng riêng của sắt > nhôm > gỗ) cùng khối lượng và được phủ mặt ngoài một lớp sơn để lực cản như nhau. Kéo ba vật sao cho ba sợi dây lệch một góc nhỏ như nhau rồi đồng thời buông nhẹ thì:
A. Con lắc bằng gỗ dừng lại sau cùng.
B. Cả ba con lắc dừng cùng một lúc.
C. Con lắc bằng sắt dừng lại sau cùng.
D. Con lắc bằng nhôm dừng lại sau cùng.
Lời giải:
Chọn C
Năng lượng của con lắc đơn: E = Et max = mghmax= mgl.(1 - cosα0)
m = D.V (D là khối lượng riêng của chất làm việc, V là thể thích của vật)
Trong cả 3 con lắc đều có cùng chiều dài l, cùng biên độ góc α0, cùng thể tích, cùng lực cản nhưng khối lượng riêng của con lắc bằng sắt là lớn nhất, nên cơ năng của nó lớn nhất → Con lắc bằng sắt dừng lại sau cùng.
Câu 20: Một con lắc đơn có chiều dài dây treo 1m dao động với biên độ góc nhỏ có chu kì 2s. Cho π = 3,14. Con lắc dao động tại nơi có gia tốc trọng trường là
A. 9,7m/s2. B. 10,27m/s2.
C. 10m/s2. D. 9,86m/s2.
Lời giải:
Chọn D
Câu 21: Một con lắc đơn có độ dài l1 dao động với chu kì T1 = 4s. Một con lắc đơn khác có độ dài l2 dao động tại nơi đó với chu kì T2 = 3s. Chu kì dao động của con lắc đơn có độ dài l1 + l2 là
A. 5s. B. 3,5s. C. 1s. D. 2,65s.
Lời giải:
Chọn A
Câu 22: Hai con lắc đơn có chiều dài lần lượt là l1 và l2, tại cùng một vị trí địa lý chúng có chu kỳ tương ứng là T1 = 3,0s và T2 = 1,8s. Chu kỳ dao động của con lắc có chiều dài bằng l = l1 – l2 sẽ bằng
A. 1,2s. B. 2,4s. C. 4,8s. D. 2,6.
Lời giải:
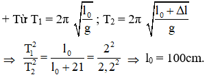
Chọn B
Câu 23: Tại một nơi, chu kì dao động điều hoà của một con lắc đơn là 2,0 s. Sau khi tăng chiều dài của con lắc thêm 21 cm thì chu kì dao động điều hoà của nó là 2,2 s. Chiều dài ban đầu của con lắc này là
A. 98 cm. B. 100 cm. C. 101 cm. D. 99 cm.
Lời giải:
Chọn B
Câu 24: Con lắc đơn chiều dài l = 16cm. Kéo lệch dây một góc nhỏ rồi buông không vận tốc ban đầu. Khi đi qua vị trí cân bằng, dây gặp một chiếc đinh ở chính giữa chiều dài. Lấy g = π2. Chu kỳ dao động của con lắc là
A. 0,4(s) B. 0,68(s) C. 0,28(s) D. 0,12(s)
Lời giải:
Chọn B
+ Con lắc dao động ở một bên với thời gian
+ Và một bên đối diện con lắc dao động với thời gian
+ Chu kỳ dao động của con lắc là T = t1 + t2 ≈ 0,68s.
Câu 25: Con lắc đơn chiều dài 40cm đang đứng yên ở vị trí cân bằng. Lúc t = 0 truyền cho con lắc vận tốc v0 = 20cm/s nằm ngang theo chiều dương thì nó dao động điều hoà với chu kì T = 2π/5(s). Phương trình dao động của con lắc dạng li độ góc là
A. = 0,1sin(t/5)(rad).
B. = 0,1sin(t/5 + π)(rad).
C. = 0,1cos(5t - π/2) (rad).
D. = 0,1sin(5t + π) (rad).
Lời giải:
Chọn C
+
+ vmax = ωA ⇒ A = vmax : ω = 0,2 : 5 = 0,04m ⇒
= 0,1 rad
+ t = 0: α = 0,1cosφ = 0 và v = -0,5sinφ > 0 ⇒ φ = -π/2 (rad)
Vậy: α = 0,1cos(5t - π/2) (rad).
Câu 26: Một con lắc đơn có chiều dài dây treo 1m dao động điều hòa với biên độ góc
rad tại nơi có gia tốc trọng trường g = 10 m/s2. Lấy π2 = 10. Thời gian ngắn nhất để con lắc đi từ vị trí cân bằng đến vị trí có li độ góc
rad là
Lời giải:
Chọn D
+
+ Thời gian ngắn nhất để con lắc đi từ vị trí cân bằng đến vị trí có li độ góc
rad là đến
Câu 27: Một con lắc đơn dao động điều hoà với phương trình s = 6cos(0,5πt-π/2)(cm). Khoảng thời gian ngắn nhất để con lắc đi từ vị trí có li độ s = 3cm đến li độ cực đại S0 = 6cm là
A. 1/3s. B. 4s. C. 2/3s. D. 1s.
Lời giải:
Chọn C
+
+ Khoảng thời gian ngắn nhất để con lắc đi từ vị trí có li độ s = 3cm đến li độ cực đại S0 = 6cm :
Câu 28: Một con lắc đơn đang dao động điều hòa với biên độ góc α0 tại nơi có gia tốc trọng trường là g. Biết lực căng dây lớn nhất bằng 1,02 lần lực căng dây nhỏ nhất. Giá trị của α0 là
A. 5,6º B. 6,6º C. 3,3º D. 9,6º
Lời giải:
Chọn B
+ Lực căng dây: T = mg(3cosα – 2cosα0)
⇒ Tmax = mg(3 - 2cosα0)
Tmin = mgcosα0
+ Ta có: Tmax = 1,02 Tmin ⇔ 3 - 2cosα0 = 1,02cosα0 ⇒ α0 ≈ 0,1149 rad ≈ 6,6º.
Câu 29: Một con lắc đơn có dây treo dài 1m và vật có khối lượng 1kg dao động với biên độ góc 0,1rad. Chọn gốc thế năng tại vị trí cân bằng của vật, lấy g = 10m/s2. Cơ năng toàn phần của con lắc là
A. 0,5J. B. 0,05J. C. 0,01J. D. 0,1J.
Lời giải:
Chọn B
Câu 30: Chu kì dao động của con lắc đơn là 1s. Thời gian ngắn nhất để con lắc đi từ vị trí mà tại đó động năng cực đại đến vị trí mà tại đó động năng bằng 3 lần thế năng bằng
Lời giải:
Chọn C
+ Động năng cực đại: x = 0
+ Động năng bằng 3 lần thế năng
+ Thời gian ngắn nhất để con lắc đi như đề ra:
Câu 31: Một con lắc đơn có l = 1m, dao động điều hòa tại nơi có g = 10m/s2 và góc lệch cực đại là 9º. Chọn gốc thế tại vị trí cân bằng. Giá trị của vận tốc con lắc tại vị trí động năng bằng thế năng là bao nhiêu ?
A. 0,35m/s B. 0,25m/s
C. 0,4m/s D. 0,45m/s.
Lời giải:
Chọn A
+ Động năng bằng thế năng ⇒
Câu 32: Một đồng hồ chạy đúng ở nhiệt độ t1 = 10ºC. Nếu nhiệt độ tăng đến 20ºC thì mỗi ngày đêm đồng hồ nhanh hay chậm bao nhiêu? Cho hệ số nở dài của dây treo con lắc là α = 2.10-5K-1
A. Nhanh 17,28s. B. Chậm 8,64s.
C. Chậm 17,28s. D. Nhanh 8,64s
Lời giải:
Chọn B
Chu kì của con lắc ở nhiệt độ t1 là
với l1 = l0(1+α.t1)
Chu kì của con lắc ở nhiệt độ t2 là
với l2 = l0(1+α.t2)
Lập tỷ lệ:
(phép biến đổi có sử dụng công thức gần đúng)
+ Mỗi chu kỳ đồng hồ chỉ sai thời gian ΔT.
+ Do ΔT > 0 đồng hồ chạy chậm và mỗi ngày chậm:
Câu 33: Một đồng hồ quả lắc chạy đúng giờ trên mặt đất. Biết bán kính Trái Đất là 6400km và coi nhiệt độ không ảnh hưởng đến chu kì của con lắc. Đưa đồng hồ lên đỉnh núi cao 640m so với mặt đất thì mỗi ngày đồng hồ chạy nhanh hay chậm bao nhiêu?
A. nhanh 8,64s. B. nhanh 17,28s.
C. chậm 17,28s. D. chậm 8,64s.
Lời giải:
Chọn D
Chu kì của con lắc ở mặt đất là:
Chu kì của con lắc ở độ cao h là T’:
Lập tỷ lệ:
⇔ T' > T ⇔ Đồng hồ chạy chậm hơn so với ở mặt đất
Mỗi chu kì đồng hồ sai thời gian ΔT:
Do ΔT > 0 đồng hồ chạy chậm và mỗi ngày chậm:
Câu 34: Một đồng hồ quả lắc chạy đúng giờ trên mặt đất. Đưa đồng hồ xuống giếng sau d = 400m so với mặt đất. Coi nhiệt độ không đổi. Bán kính Trái Đất R = 6400km. Sau một tuần lễ đồng hồ đó chạy nhanh hay chậm bao nhiêu?
A. nhanh 2,7s. B. nhanh 18,9s.
C. chậm 2,7s. D. chậm 18,9s.
Lời giải:
Chọn D
- Khối lượng trái đất là:
với R là bán kính trái đất
- Khối lượng phần trái đất tính từ độ sâu h đến tâm là:
- Gia tốc trọng trường trên mặt đất là:
- Gia tốc trọng trường ở độ sâu h là:
- Gọi T là chu kì của con lắc trên mặt đất là:
- Gọi T’ là chu kì của con lắc ở độ sâu h là T’:
+ Ta có:
⇔ T' > T ⇔ Đồng hồ chạy chậm hơn
+ Do ΔT > 0 đồng hồ chạy chậm và một tuần lễ chậm:
Câu 35: Một đồng hồ quả lắc chạy đúng giờ tại Hà Nội với chu kỳ T = 2s. Đưa con lắc vào Hồ Chí Minh giả sử nhiệt độ không thay đổi. Tại Hồ Chí Minh con lắc chạy nhanh hay chậm? Sau 12 giờ nó chạy nhanh hay chậm bao nhiêu thời gian? Biết gia tốc ở Hà Nội và Hồ Chí Minh lần lượt là: g1 = 9,793m/s2 và g2 = 9,787m/s2.
A. nhanh 1,323s. B. chậm 1,323 s
C. chậm13,23 s. D. nhanh 13,23 s.
Lời giải:
Chọn C
+ Mỗi chu kỳ đồng hồ chỉ sai thời gian ΔT:
+ Do Δg = g2 – g1 = 9,787 – 9,793 = -0,006 < 0 nên ΔT > 0 đồng hồ chạy chậm.
+ Mỗi chu kỳ đồng hồ chỉ sai thời gian ΔT nên 12 giờ đồng hồ chậm:
Câu 36: Một vật có khối lượng 100g dao động điều hòa. Khi hợp lực tác dụng lên vật có độ lớn 0,8N thì nó đạt tốc độ 0,6m/s. Khi hợp lực tác dụng lên vật có độ lớn
N thì nó đạt tốc độ
m/s. Cơ năng của vật là:
A. 2,5J. B. 0,05J. C. 0,25J. D. 0,5J.
Lời giải:
Chọn B
+ Ta có vận tốc và hợp lực tác dụng lên vật vuông pha với nhau nên
Câu 37: Một con lắc đơn gồm vật nặng khối lượng m, dây treo có chiều dài l dao động điều hòa với biên độ góc α0 tại một nơi có gia tốc trọng trường g. Độ lớn lực căng dây tại vị trí có động năng gấp hai lần thế năng:
A. T = mg(2 – 2cosα0).
B. T = mg(4 – cosα0).
C. T = mg(4 – 2cosα0).
D. T = mg(2 – cosα0).
Lời giải:
Chọn D
Thế năng: Et = mghB = mgl(1 - cosα)
Năng lượng: E = Et max = mghmax = mgll.(1 - cosα0) (Năng lượng bằng thế năng cực đại ở biên)
- Động năng:
Xét tại vị trí B, hợp lực tác dụng lên quả nặng là lực hướng tâm:
(2) (ở đây ký hiệu T là lực căng)
Chiếu (1) lên hướng T→ ta được:
Thế R = l và (1) vào (3) ta được T = mg(3cosα - 2cosα0)
Câu 38: Một con lắc lò xo gồm lò xo nhẹ có độ cứng k = 100N/m và vật nhỏ khối lượng m. Con lắc dao động điều hòa với biên độ 10cm. Biết ở thời điểm t vật ở vị trí M. ở thời điểm
, vật lại ở vị trí M nhưng đi theo chiều ngược lại. Động năng của vật khi nó ở M là:
A. 375mJ. B. 350mJ. C. 500mJ. D. 750mJ
Lời giải:
Chọn A
+
(nhớ đổi đơn vị của A).
+ Chất điểm ở M nhận cùng một li độ và ngược chiều nhau,ta có hình minh họa. Từ hình vẽ ⇒ x = ± A/2.
+ Wđ = 3Wt (dùng công thức Wđ = nWt ⇔
)
Câu 39: Hai dao động điều hoà lần lượt có phương trình: x1 = A1cos(20πt + π/2)cm và x2 = A2cos(20πt + π/6)cm. Độ lệch pha của dao động thứ nhất với dao động thứ hai là
A. π/3 B. - π/3 C. π/6 D. -π/6
Lời giải:
Chọn A
Câu 40: Hai dao động điều hoà lần lượt có phương trình: x1 = 2cos(20πt + 2π/3)cm và x2 = 3cos(20πt + π/6)cm. Phát biểu nào sau đây là đúng khi nhận xét hai dao động?
A. Hai dao động cùng pha.
B. Hai dao động ngược pha.
C. Dao động 1 nhanh pha hơn π/2
D. Dao động 1 chậm pha hơn π/2
Lời giải:
Chọn C
(199k) Học Vật Lí 12 KNTTHọc Vật Lí 12 CDHọc Vật Lí 12 CTST
Xem thêm các dạng bài tập Vật Lí lớp 12 có trong đề thi Tốt nghiệp THPT khác:
Đã có app VietJack trên điện thoại, giải bài tập SGK, SBT Soạn văn, Văn mẫu, Thi online, Bài giảng....miễn phí. Tải ngay ứng dụng trên Android và iOS.
Theo dõi chúng tôi miễn phí trên mạng xã hội facebook và youtube:Nếu thấy hay, hãy động viên và chia sẻ nhé! Các bình luận không phù hợp với nội quy bình luận trang web sẽ bị cấm bình luận vĩnh viễn.
- Giải Tiếng Anh 12 Global Success
- Giải sgk Tiếng Anh 12 Smart World
- Giải sgk Tiếng Anh 12 Friends Global
- Lớp 12 Kết nối tri thức
- Soạn văn 12 (hay nhất) - KNTT
- Soạn văn 12 (ngắn nhất) - KNTT
- Giải sgk Toán 12 - KNTT
- Giải sgk Vật Lí 12 - KNTT
- Giải sgk Hóa học 12 - KNTT
- Giải sgk Sinh học 12 - KNTT
- Giải sgk Lịch Sử 12 - KNTT
- Giải sgk Địa Lí 12 - KNTT
- Giải sgk Giáo dục KTPL 12 - KNTT
- Giải sgk Tin học 12 - KNTT
- Giải sgk Công nghệ 12 - KNTT
- Giải sgk Hoạt động trải nghiệm 12 - KNTT
- Giải sgk Giáo dục quốc phòng 12 - KNTT
- Giải sgk Âm nhạc 12 - KNTT
- Giải sgk Mĩ thuật 12 - KNTT
- Lớp 12 Chân trời sáng tạo
- Soạn văn 12 (hay nhất) - CTST
- Soạn văn 12 (ngắn nhất) - CTST
- Giải sgk Toán 12 - CTST
- Giải sgk Vật Lí 12 - CTST
- Giải sgk Hóa học 12 - CTST
- Giải sgk Sinh học 12 - CTST
- Giải sgk Lịch Sử 12 - CTST
- Giải sgk Địa Lí 12 - CTST
- Giải sgk Giáo dục KTPL 12 - CTST
- Giải sgk Tin học 12 - CTST
- Giải sgk Hoạt động trải nghiệm 12 - CTST
- Giải sgk Âm nhạc 12 - CTST
- Lớp 12 Cánh diều
- Soạn văn 12 Cánh diều (hay nhất)
- Soạn văn 12 Cánh diều (ngắn nhất)
- Giải sgk Toán 12 Cánh diều
- Giải sgk Vật Lí 12 - Cánh diều
- Giải sgk Hóa học 12 - Cánh diều
- Giải sgk Sinh học 12 - Cánh diều
- Giải sgk Lịch Sử 12 - Cánh diều
- Giải sgk Địa Lí 12 - Cánh diều
- Giải sgk Giáo dục KTPL 12 - Cánh diều
- Giải sgk Tin học 12 - Cánh diều
- Giải sgk Công nghệ 12 - Cánh diều
- Giải sgk Hoạt động trải nghiệm 12 - Cánh diều
- Giải sgk Giáo dục quốc phòng 12 - Cánh diều
- Giải sgk Âm nhạc 12 - Cánh diều


Giải bài tập SGK & SBT
Tài liệu giáo viên
Sách
Khóa học
Thi online
Hỏi đáp

