150 câu trắc nghiệm dao động cơ có lời giải (nâng cao - phần 4)
Với 150 câu trắc nghiệm dao động cơ có lời giải chi tiết sẽ giúp học sinh ôn tập, biết cách làm câu trắc nghiệm dao động cơ.
150 câu trắc nghiệm dao động cơ có lời giải (nâng cao - phần 4)
(199k) Học Vật Lí 12 KNTTHọc Vật Lí 12 CDHọc Vật Lí 12 CTST
Câu 1: Một vật đồng thời thực hiện ba dao động điều hòa cùng phương, cùng tần số tương ứng là (1), (2) và (3). Dao động (1) ngược pha và có năng lượng gấp đôi dao động (2). Dao động tổng hợp (13) có năng lượng là 3W. Dao động tổng hợp (23) có năng lượng W và vuông pha với dao động (1). Dao động tổng hợp của vật có năng lượng gần nhất với giá trị nào sau đây?
A. 2,7W B. 3,3W C. 2,3W D. 1,7W
Lời giải:
Chọn D
+ Phương pháp giản đồ vectơ:
E1 = 2E2 ⇒ A1 = A2√2
E13 = 3E23 ⇒ A13 = A23√3
Chuẩn hóa A2 = 1 ⇒ A1 = √2
+ Từ hình vẽ:
+ Vì x1 vuông pha với x23 nên biên độ của dao động tổng hợp là:
Câu 2: Một vật tham gia đồng thời hai dao động điều hòa kết hợp ngược pha nhau. Tại thời điểm li độ của dao động thành phần thứ nhất và dao động tổng hợp lần lượt là 2cm và – 3cm. Ở thời điểm ly độ dao động tổng hợp là 4,5cm thì li độ của thành phần thứ hai là
A. – 3cm. B. -7,5cm. C. 7,5cm. D. 3cm.
Lời giải:
Chọn C
+ Tổng hợp dao động x = x1 + x2 ⇒ x2 = x – x1 = (-3) – 2 = - 5cm.
⇒ dao động tổng hợp luôn cùng pha với dao động thứ hai. Li độ dao động thứ hai khi x = 4,5cm là:
Câu 3: Hai chất điểm thực hiện dao động điều hòa trên hai đường thẳng song song nằm ngang, có gốc tọa độ nằm cùng trên một đường thẳng có phương thẳng đứng. Phương trình dao động của các chất điểm tương ứng là
và
(gốc thời gian là lúc hai vật bắt đầu chuyển động). Trong quá trình dao động, khoảng cách theo phương ngang giữa hai chất điểm được biểu diễn bằng phương trình d = Acos(ωt + φ) cm. Thay đổi A1 đến khi biên độ A đạt giá trị cực tiểu thì
Lời giải:
Chọn B
+ Khoảng cách giữa hai vật: d = |x1 – x2|.
+ Từ hình vẽ, ta có:
Câu 4: Một con lắc lò xo được treo thẳng đứng. Trong quá trình dao động người ta quan sát đo đặc và thấy được lò xo không bị biến dạng tại vị trí gia tốc của lò xo có giá trị bằng một nửa giá trị cực đại. Tỉ số giữa thời gian lò xo nén và giãn là
Lời giải:
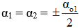
Chọn A
+ Tại vị trí gia tốc của vật bằng một nửa gia tốc cực đại
+ Mặt khác, ta biết lò xo không biến dạng ở vị trí
(chiều dương hướng xuống) ⇒
(sử dụng vòng tròn trong dao động điều hòa).
Câu 5: Một con lắc lò xo được treo thẳng đứng dao động điều hòa với chu kì 1s. Sau 2,5s kể từ lúc bắt đầu dao động, vật có li độ x= -5√2 cm đi theo chiều âm với tốc độ 10π√2 cm/s. Biết lực đàn hồi nhỏ nhất bằng 6N. Chọn trục Ox trùng với trục của lò xo, gốc tọa độ O ở vị trí cân bằng, chiều dương hướng xuống. Lấy g = 10 = π2 m/s2. Lực đàn hồi của lò xo tác dụng vào vật tại thời điểm t = 0 là
A. 1,228N. B. 7,18N. C. 8,71N. D. 12,82N.
Lời giải:
Chọn D
+ T = 1s ⇒ ω = 2π rad/s.
+ Độ biến dạng của lò xo ở vị trí cân bằng:
+ Biên độ dao động:
+ Thời điểm t = 0 tương ứng với một gốc lùi Δφ = ωt = 2π.2,5 = 5π trên đường tròn.
+ Lực đàn hồi khi đó có độ lớn:
Fđh = k(Δlo + x) = k(25 + 5√2).10-2 N.
Kết hợp với Fđhmin = k.(Δlo - A) = k. 15.10-2 = 6N.
+ Từ hai biểu thức trên ta thu được Fđh = 12,82N.
Câu 6: Một con lắc lò xo dao động theo phương thẳng đứng với phương trình x = 5cos(5πt + π) cm. Biết lò xo có độ cứng 100N/m và gia tốc trọng trường tại nơi đặt con lắc là g = 10 = π2. Trong một chu kì, khoảng thời gian lực đàn hồi tác dụng lên vật nặng có độ lớn |Fđh| > 1,5N là
A. 0,249s. B. 0,151s. C. 0,267s. D. 0,3s.
Lời giải:
Chọn C
+ Độ biến dạng của lò xo tại vị trí cân bằng:
+ Lực đàn hồi tác dụng lên vật thỏa mãn:
|Fđh| > 1,5N khi |Δl| > 0,015m = 1,5cm hay -2,5 cm < x < 5cm.
+ Từ hình vẽ ta xác định được khoảng thời gian tương ứng là:
Câu 7: Một con lắc lò xo dao động điều hòa theo phương ngang với năng lượng dao động là 20mJ và lực đàn hồi cực đại là 2N. Gọi I là điểm cố định của lò xo. Khoảng thời gian ngắn nhất từ khi I chịu tác dụng của lực kéo đến khi I chịu tác dụng của lực đẩy có cùng độ lớn 1N là 0,1s. Quãng đường ngắn nhất mà vật đi được trong 0,2s là
A. 2 cm. B. (2 - √3) cm. C. 2√3 cm. D. 1 cm.
Lời giải:
Chọn A
+ Từ hình vẽ, ta thấy khoảng thời gian ngắn nhất để I chịu tác dụng của lực kéo và nén có cùng độ lớn 1N là
⇒ T = 0,6s.
+ Quãng đường ngắn nhất mà vật đi được trong 0,2s = T/3 < T/2 được xác định bằng công thức:
Câu 8: Một con lắc lò xo treo thẳng đứng, từ vị trí cân bằng kéo vật xuống phía dưới để lò xo giãn 10cm rồi thả nhẹ. Sau khoảng thời gian nhỏ nhất tương ứng là Δt1, Δt2 thì lực phục hồi và lực đàn hồi của lò xo bị triệt tiêu, với
. Lấy g = 10m/s2. Chu kì dao động của con lắc là
A. 0,68s. B. 0,15s. C. 0,76s. D. 0,44s.
Lời giải:
Chọn D
+ Từ vị trí cân bằng kéo vật xuống phía dưới để lò xo giãn 10cm rồi thả nhẹ ⇒ A = 10cm.
+ Lực phục hồi triệt tiêu tại vị trí cân bằng
+ Lực đàn hồi triệt tiêu khi vật qua vị trí lò xo không giãn:
Vậy chu kì dao động của con lắc là:
Câu 9: Một con lắc đơn dao động điều hòa với chu kì To trong chân không. Tại nơi đó, đưa con lắc ra ngoài không khí ở cùng một nhiệt độ thì chu kì của con lắc là T. Biết T khác To chỉ do lực đẩy Acsimet của không khí. Gọi tỉ số giữa khối lượng riêng của không khí và khối lượng riêng của chất làm vật nặng là ε. Mối liên hệ giữa T và To là:
Lời giải:
Chọn A
+ Chu kì dao động của con lắc đơn trong chân không
+ Chu kì của con lắc đơn chịu thêm tác dụng của lực đẩy Acsimet:
Câu 10: Ba con lắc lò xo đặt thẳng đứng 1, 2 và 3. Vị trí cân bằng của ba vật cùng nằm trên một đường thẳng. Chọn trục Ox có phương thẳng đứng, gốc tọa độ ở vị trí cân bằng thì phương trình dao động lần lượt là x1 = A1cos(20t + φ1) cm,
và
. Để ba vật dao động của ba con lắc luôn nằm trên một đường thẳng thì
Lời giải:
Chọn C
+ Để trong quá trình dao động ba vật luôn thẳng hàng thì:
⇒ 2x2 = x1 + x3 ⇒ x1 = 2x2 – x3
+ Ta có thể sử dụng phương pháp tổng hợp dao động bằng số phức trên máy tính ⇒
Câu 11: Ba chất điểm dao động điều hòa với cùng biên độ A, cùng một vị trí cân bằng với tần số góc lần lượt là ω, 2ω và 3ω. Biết rằng tại mọi thời điểm
. Tại thời điểm t, tốc độ của các chất điểm lần lượt là 10 cm/s; 15 cm/s và v3 = ?
A. 20 cm/s. B. 18 cm/s.
C. 24 cm/s. D. 25 cm/s.
Lời giải:
Chọn B
+ Ta có:
, đạo hàm hai vế thời gian: (chú ý x’ = v, v’ = a)
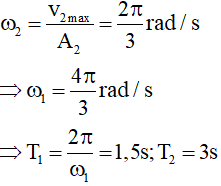
Câu 12: Đồ thị li độ theo thời gian của chất điểm 1(đường 1) và chất điểm 2 (đường 2) như hình vẽ, tốc độ cực đại của chất điểm 2 là 4π cm/s. Không kể thời điểm t = 0, thời điểm hai chất điểm có cùng li độ lần thứ 5 là:
A. 4,0s B. 3,25s C. 3,75s D. 3,5s
Lời giải:
Chọn D
+ T2 = 2T1 ⇒ ω1 = 2ω2
+ Mặt khác:
+ Từ hình vẽ: lần thứ 5 (không kể thời điểm t = 0):
2,25T1 < t < 2,5T1 ⇔ 3,375s < t < 3,75s → Đáp án D là hợp lý
Câu 13: Một lò xo đồng chất, tiết diện đều được cắt thành ba lò xo có chiều dài tự nhiên là l cm, (l – 10) cm và (l – 20) cm. Lần lượt gắn mỗi lò xo này (theo thứ tự trên) với vật nhỏ khối lượng m thì được ba con lắc có chu kì dao động riêng tương ứng là : 2s; √3s và T. Biết độ cứng của các lò xo tỉ lệ nghịch với chiều dài tự nhiên của nó. Giá trị của T là
A. 1,00 s B. 1,28s C. 1,41s D. 1,50s
Lời giải:
Chọn C
Gọi lo, k là chiều dài tự nhiên và độ cứng của lò xo khi chưa cắt ta có:
Câu 14: Một lò xo nhẹ có độ cứng 20N/m, đầu trên được treo vào một điểm cố định, đầu dưới gắn vào vặt nhỏ A có khối lượng 100g; vật A được nối với vật nhỏ B có khối lượng 100g bằng một sợi dây mềm, mảnh, nhẹ, không dãn và đủ dài. Từ vị trí cân bằng của hệ, kéo vật B thẳng đứng xuống dưới một đoạn 20cm rồi thả nhẹ để vật B đi lên với vận tốc ban đầu bằng không. Khi vật B bắt đầu đổi chiều chuyển động thì bất ngờ bị tuột khỏi dây nối. Bỏ qua các lực cản, lấy g = 10m/s2. Khoảng thời gian từ khi vật B bị tuột khỏi dây nối đến khi rơi đến vị trí được thả ban đầu là
A. 0,30s B. 0,68s C. 0,26s D. 0,28s
Lời giải:
Chọn A
+ Sau khi kéo vật B xuống dưới 20 cm và thả nhẹ thì hệ dao động với biên độ 20cm.
∆l12 = m12g/k = 0,1m = 10cm
+ Vật B đi lên được h1 = 30 cm thì lực đàn hồi của lò xo triệt tiêu (x12 = -10cm = -A/2). Khi đó vận tốc của B
Sau đó vận tốc của vật A có độ lớn giảm dần (vì đang đi về biên trên), vật B
+ Vật B đi lên thêm được độ cao
+ Vật B đổi chiều chuyển động khi khi lên được độ cao
h = h1 + h2 = 45cm = 0,45m
+ Khoảng thời gian từ khi vật B tuột khỏi dây nối đến khi rơi đến vị trí thả ban đầu là:
Câu 15: Một lò xo đang dao động điều hòa, lực đàn hồi và chiều dài của lò xo có mối liên hệ được cho bởi đồ thị như hình vẽ, cho g = 10 m/s2. Biên độ và chu kì dao động của con lắc là:
A. A = 8cm; T = 0,56s.
B. A = 6cm; T = 0,28s.
C. A = 4cm; T = 0,28s.
D. A = 6cm; T = 0,56s.
Lời giải:
Chọn B
+ lmin = 6cm; lmax = 18cm ⇒ A = (lmax – lmin) : 2 = 6cm.
+ Fcuctieu = 0 ⇒ lo =10cm.
+ Vị trí cân bằng tại lCB = (lmax + lmin) : 2 = 12 cm.
⇒ Δlo = 12 – 10 = 2cm = 0,02m.
Câu 16: Một lò xo nhẹ độ cứng k = 20N/m đặt thẳng đứng, đầu dưới gắn cố định, đầu trên gắn với một cái đĩa nhỏ khối lượng M = 600g. Một vật nhỏ khối lượng m = 200g được thả rơi tự do từ độ cao h = 20cm so với đĩa. Coi va chạm hoàn toàn không đàn hồi (va chạm mềm). Chọn t = 0 ngay lúc va chạm, gốc tọa độ tại vị trí cân bằng của hệ vật (M + m), chiều dương hướng xuống, lấy g = 10m/s2. Phương trình dao động của hệ vật là:
Lời giải:
Chọn C
+ Khi chỉ có đĩa M thì độ nén lò xo:
+ Khi cho thêm vật m thì
+ Khi xảy ra va chạm thì hệ vật có li độ x = l2 – l1 = 0,1m.
+ Vì vật m rơi tự do nên vận tốc của vật m ngay trước va chạm là: v2 = 2gh ⇒v = 2m/s.
+ Áp dụng bảo toàn động lượng là: mv = vo(M + m) ⇒ vo = 0,5m.
+ Dựa vào chuyển động tròn đều, lúc trước va chạm hệ vật ở vị trí là lúc lò xo nén 10cm hay
, vật đi theo chiều dương
Câu 17: Một con lắc lò xo nằm ngang có chiều dài tự nhiên lo = 100 cm dao động điều hòa trên đoạn thẳng có độ dài
. Tại thời điểm ban đầu, vật đang đi theo chiều dương (là chiều lò xo giãn), lực kéo về có độ lớn cực tiểu thì gia tốc của con lắc là a1 và khi vật có động năng gấp ba lần thế năng lần thứ ba thì gia tốc của con lắc là a2. Khi con lắc có gia tốc là
thì chiều dài lò xo lúc đó là
A. 101,25 cm. B. 103,75 cm.
C. 98,75 cm. D. 97,25 cm.
Lời giải:
Chọn C
+ Lò xo dao động điều hòa trên đoạn dài
= 10cm ⇒ A = 5cm.
+ Lực kéo về có độ lớn cực tiểu khi x1 = 0, đang đi theo chiều dương và a1 = 0.
+ Khi vật có Wđ = 3Wt thì
, tính từ t = 0, tại lần thứ 3 có
⇒ Chiều dài lò xo l = 100 - 1,25 = 98,75(cm)
Câu 18: Hai con lắc lò xo giống nhau đều có khối lượng vật nhỏ là m. Lấy mốc thế năng tại vị trí cân bằng và π2 = 10. X1 và X2 lần lượt là đồ thị li độ theo thời gian của con lắc thứ nhất và con lắc thứ 2 (hình vẽ). Tại thời điểm t, con lắc thứ nhất có động năng 0,06 J và con lắc thứ hai có thế năng 0,005 J. Giá trị của m là
A. 800 g. B. 200 g. C. 100 g. D. 400 g.
Lời giải:
Chọn D
Từ đồ thị ta được:
+ Chu kì của cả 2 dao động là T=1s ⇒ ω = 2π = 2√10 rad/s.
+ Con lắc thứ nhất:
+ Con lắc thứ hai:
Câu 19: Hai con lắc đơn có cùng khối lượng vật nặng được treo vào hai điểm gần nhau cùng một độ cao, cho hai con lắc dao động điều hòa trong hai mặt phẳng song song. Chu kì dao động của con lắc thứ nhất bằng hai lần chu kì dao động của con lắc thứ hai và biên độ dao động của con lắc thứ hai bằng hai lần biên độ dao động của con lắc thứ nhất. Tại một thời điểm hai sợi dây treo song song với nhau thì con lắc thứ nhất có động năng bằng ba lần thế năng, khi đó tỉ số độ lớn vận tốc của con lắc thứ hai và con lắc thứ nhất là
Lời giải:
Chọn B
+ Theo đề bài: T1 = 2T2 ⇒ l1 = 4l2
+ A2 = 2A1 ⇒ αo2.l2 = 2.αo1.l1 ⇒ αo2 = 8αo1 (*).
+ Lại có: Khi α1 = α2 và Wđ1 = 3Wt1 ⇒
(**)
Thay (*) và (**) vào (1):
Câu 20: Dao động của một vật là tổng hợp của hai dao động điều hòa cùng phương, cùng tần số với các biên độ lần lượt là 4 cm và 7 cm. Biên độ dao động của vật không thể nhận giá trị nào dưới đây?
A. 3,5 cm. B. 2 cm. C. 6 cm. D. 8 cm.
Lời giải:
Chọn B
+ |A1 – A2| ≤ A ≤ A1 + A2
⇔ 7 – 4 ≤ A ≤ 4 + 7
⇔ 3cm ≤ A ≤ 11cm
⇒ A ≠ 2cm.
Câu 21: Cho hai dao động điều hoà với li độ x1 và x2 có đồ thị như hình vẽ. Tổng tốc độ của hai dao động ở cùng một thời điểm có giá trị lớn nhất là
A. 280π cm/s. B. 200π cm/s.
C. 140π cm/s. D. 20π cm/s.
Lời giải:
Chọn B
+ Từ đồ thị ta có: hai dao động đều có T = 0,1s ⇒ ω = 20π rad/s.
+ Giả sử trong thời điểm t, tổng tốc độ của hai dao động có giá trị lớn nhất.
Áp dụng bất đẳng thức Bunhiacopxki:
(v1 + v2)2 = (160 πcos(20 πt) + 120 πsin(20 πt)) ≤ [(160 π)2 + (120 π)2][)cos(20 πt))2 + sin(20 πt))2] ⇒ (v1 + v2)2 max = 40000 π2 ⇒ (v1 + v2)max = 200 π(cm/s)
Câu 22: Hai vật dao động điều hòa dọc theo hai đường thẳng song song kề nhau và song song với trục tọa độ Ox sao cho không va chạm vào nhau trong quá trình dao động. Vị trí cân bằng của hai vật đều ở trên một đường thẳng qua gốc tọa độ và vuông góc với Ox. Biết phương trình dao động của hai vật lần lượt là x1 = 4cos(4πt + π/3) cm và x2 = 4√2 cos(4πt + π/12) cm. Tính từ thời điểm t1 = 1/24 s đến thời điểm t2 = 1/3 s thì thời gian mà khoảng cách giữa hai vật theo phương Ox không nhỏ hơn 2√3 cm là bao nhiêu?
A. 1/8 s. B. 1/12 s. C. 1/9 s. D. 1/6 s.
Lời giải:
Chọn A
Khoảng cách giữa hai vật theo phương Ox là: d = |x2 – x1| = 4|cos(4 πt – π/6)|
Theo bài ra ta có d ≥ 2√3
Trong khoảng t1 = 1/24 s đến t2 = 1/3s = t1 + T/2 +T/12, d có độ lớn không nhỏ hơn 2√3 trong khoảng thời gian là:
∆t = T/12 + 2. T/12 = 1/8s.
Câu 23: Cho một con lắc đơn có vật nặng được tích điện dao động trong điện trường đều có phương thẳng đứng thì chu kỳ dao động nhỏ là 2,00s. Nếu đổi chiều điện trường, giữ nguyên cường độ thì chu kỳ dao động nhỏ là 3,00s. Chu kỳ dao động nhỏ của con lắc đơn khi không có điện trường là:
A. 2,35s. B. 2,50s. C. 1,80s. D. 2,81s.
Lời giải:
Chọn A
Chu kỳ dao động nhỏ của con lắc đơn khi không có điện trường là
Trường hợp lực điện trường hướng lên (ngược chiều trọng lực): g’= |g – a|
Đổi chiều điện trường:
Ta có T’ > T nên theo giả thiết ta được T’ = T2 = 3s, T = T1 = 2s
Câu 24: Con lắc lò xo có độ cứng k, chiều dài l , một đầu gắn cố định, một đầu gắn vào vật có khối lượng m. Kích thích cho lò xo dao động điều hoà với biên độ A = l/2 trên mặt phẳng ngang không ma sát. Khi lò xo đang dao động và bị giãn cực đại, tiến hành giữ chặt lò xo tại vị trí cách vật một đoạn l , khi đó tốc độ dao động cực đại của vật là:
Lời giải:
Chọn A
+ Thế năng của vật tại vị trí lò xo giãn cực đại:
Động năng khi đó: Wđ = 0.
Ngay sau khi tiến hành giữ chặt lò xo tại vị trí cách vật một đoạn l, lò xo còn lại dao động có chiều dài tự nhiên là: l’0
Coi lò xo giãn đều, nên ta có:
→ Độ cứng của lò xo mới là: k’ = 1,5k
+ Thế năng của vật ngay sau khi giữ:
Động năng của vật ngay sau khi giữ: W'đ = 0
Cơ năng của vật ngay sau khi giữ:
Câu 25: Cho hai dao động điều hoà với li độ x1 và x2 có đồ thị như hình vẽ. Tổng tốc độ của hai dao động ở cùng một thời điểm có giá trị lớn nhất là:
A. 200π cm/s.
B. 140π cm/s.
C. 280π cm/s.
D. 100π cm/s.
Lời giải:
Chọn A
+ T = 0,1 s ⇒ ω = 20π rad/s.
x1 = 8cos(20πt - π/2) ⇒ v1 = -160π sin(20πt - π/2).
x2 = 6cos(20πt -π) ⇒ v2 = -120π sin(20πt -π).
⇒ 2 thành phần v1, v2 vuông pha nhau, nên
Câu 26: Một con lắc lò xo gồm vật nhỏ khối lượng 0,1 kg và lò xo có độ cứng 10 N/m. Vật nhỏ được đặt trên giá đỡ cố định nằm ngang dọc theo trục lò xo. Hệ số ma sát trượt giữa giá đỡ và vật nhỏ là 0,15. Ban đầu giữ vật ở vị trí lò xo bị nén 7 cm rồi buông nhẹ để con lắc dao động tắt dần. Lấy g = 10 m/s2. Khi vật dừng lại thì lò xo :
A. bị nén 1 cm. B. bị dãn 1,5 cm.
C. bị dãn 1 cm. D. bị nén 1,5 cm.
Lời giải:
Chọn D
+ k.Δl = 0,15.mg ⇒ x = 0,015 m = 1,5cm.
Câu 27: Quả cầu kim loại của con lắc đơn có khối lượng m = 0,1 kg tích điện q = 10-7C được treo bằng một sợi dây không giãn, mảnh, cách điện có chiều dài l tại nơi có gia tốc trọng trường g = 9,8m/s2 và được đặt trong một điện trường đều, nằm ngang có cường độ E = 2.106V/m. Ban đầu người ta giữ quả cầu để sợi dây có phương thẳng đứng rồi buông nhẹ cho vật dao động điều hòa. Lực căng cực đại của dây trong quá trình dao động là:
A. 1,02N. B. 1,04N. C. 1,36N. D. 1,39N
Lời giải:
Chọn B
+ Khi con lắc ở VTCB mới O’ dây treo hợp với phương thẳng đứng góc α0:
→ α0 = 0,2012 (rad) với gia tốc hiệu dụng
⇒ Lực căng cực đại của dây trong quá trình dao động là:
T = mg’(3 – 2cosα0 ) = 0,1.10,002(3 – 2cos(0,2012rad)) = 1,0406 N = 1,04N.
Câu 28: Đồ thị vận tốc - thời gian của một vật dao động điều hoà như hình vẽ. Phát biểu nào sau đây là đúng ?
A. Tại thời điểm t2, gia tốc của vật có giá trị âm.
B. Tại thời điểm t1, gia tốc của vật có giá trị dương.
C. Tại thời điểm t4, vật ở biên dương.
D. Tại thời điểm t3, vật ở biên dương.
Lời giải:
Chọn C
Tại thời điểm t4, vận tốc của vật bằng 0 và sau đó v âm, vì v nhanh pha hơn u góc π/2 nên khi đó vật ở biên dương.
Câu 29: Một chất điểm tham gia đồng thời hai dao động trên trục Ox có phương trình x1 = A1cos10t; x2 = A2cos(10t + φ2). Phương trình dao động tổng hợp x = A1√3cos(10t + φ), trong đó có φ2 - φ = π/6. Tỉ số φ/φ2 bằng
A. 1/2 hoặc 3/4 B. 1/3 hoặc 2/3
C. 3/4 hoặc 2/5 D. 2/3 hoặc 4/3
Lời giải:
Chọn A
+ Vẽ giản đồ véc tơ như hình vẽ:
Xét tam giác OA1A:
+ A22 = A12 + A2 – 2AA1cosφ = 4A12 - 2√3A12cosφ (**)
+ 2√3cosφ = 4(1 - sin2φ) = 4cos2φ 2cosφ (2cosφ - √3) = 0 (***)
Câu 30: Một con lắc đơn có chiều dài dây treo l = 0,249 m, quả cầu nhỏ có khối lượng m = 100g. Cho nó dao động tại nơi có gia tốc trọng trường g = 9,8 m/s2 với biên độ góc αo = 0,07 rad trong môi trường dưới tác dụng của lực cản (có độ lớn không đổi) thì nó sẽ dao động tắt dần với cùng chu kì như khi không có lực cản. Biết con lắc đơn chỉ dao động được 100s thì ngừng hẳn. Độ lớn của lực cản bằng
A. 1,7.10-3 N. B. 2,7.10-4 N.
C. 1,7.10-4 N. D. 1,2.10-4 N.
Lời giải:
Chọn C
+ Độ giảm biên độ sau một chu kì:
⇒ Số dao động thực hiện đến khi dừng:
+ Thời gian dao động:
+ Thay biểu thức của Δα và T vào (*) ⇒ Fc = 1,7.10-4 N.
(199k) Học Vật Lí 12 KNTTHọc Vật Lí 12 CDHọc Vật Lí 12 CTST
Xem thêm các dạng bài tập Vật Lí lớp 12 có trong đề thi Tốt nghiệp THPT khác:
Đã có app VietJack trên điện thoại, giải bài tập SGK, SBT Soạn văn, Văn mẫu, Thi online, Bài giảng....miễn phí. Tải ngay ứng dụng trên Android và iOS.
Theo dõi chúng tôi miễn phí trên mạng xã hội facebook và youtube:Nếu thấy hay, hãy động viên và chia sẻ nhé! Các bình luận không phù hợp với nội quy bình luận trang web sẽ bị cấm bình luận vĩnh viễn.
- Giải Tiếng Anh 12 Global Success
- Giải sgk Tiếng Anh 12 Smart World
- Giải sgk Tiếng Anh 12 Friends Global
- Lớp 12 Kết nối tri thức
- Soạn văn 12 (hay nhất) - KNTT
- Soạn văn 12 (ngắn nhất) - KNTT
- Giải sgk Toán 12 - KNTT
- Giải sgk Vật Lí 12 - KNTT
- Giải sgk Hóa học 12 - KNTT
- Giải sgk Sinh học 12 - KNTT
- Giải sgk Lịch Sử 12 - KNTT
- Giải sgk Địa Lí 12 - KNTT
- Giải sgk Giáo dục KTPL 12 - KNTT
- Giải sgk Tin học 12 - KNTT
- Giải sgk Công nghệ 12 - KNTT
- Giải sgk Hoạt động trải nghiệm 12 - KNTT
- Giải sgk Giáo dục quốc phòng 12 - KNTT
- Giải sgk Âm nhạc 12 - KNTT
- Giải sgk Mĩ thuật 12 - KNTT
- Lớp 12 Chân trời sáng tạo
- Soạn văn 12 (hay nhất) - CTST
- Soạn văn 12 (ngắn nhất) - CTST
- Giải sgk Toán 12 - CTST
- Giải sgk Vật Lí 12 - CTST
- Giải sgk Hóa học 12 - CTST
- Giải sgk Sinh học 12 - CTST
- Giải sgk Lịch Sử 12 - CTST
- Giải sgk Địa Lí 12 - CTST
- Giải sgk Giáo dục KTPL 12 - CTST
- Giải sgk Tin học 12 - CTST
- Giải sgk Hoạt động trải nghiệm 12 - CTST
- Giải sgk Âm nhạc 12 - CTST
- Lớp 12 Cánh diều
- Soạn văn 12 Cánh diều (hay nhất)
- Soạn văn 12 Cánh diều (ngắn nhất)
- Giải sgk Toán 12 Cánh diều
- Giải sgk Vật Lí 12 - Cánh diều
- Giải sgk Hóa học 12 - Cánh diều
- Giải sgk Sinh học 12 - Cánh diều
- Giải sgk Lịch Sử 12 - Cánh diều
- Giải sgk Địa Lí 12 - Cánh diều
- Giải sgk Giáo dục KTPL 12 - Cánh diều
- Giải sgk Tin học 12 - Cánh diều
- Giải sgk Công nghệ 12 - Cánh diều
- Giải sgk Hoạt động trải nghiệm 12 - Cánh diều
- Giải sgk Giáo dục quốc phòng 12 - Cánh diều
- Giải sgk Âm nhạc 12 - Cánh diều


Giải bài tập SGK & SBT
Tài liệu giáo viên
Sách
Khóa học
Thi online
Hỏi đáp

