Cách tìm li độ của vật tại thời điểm t (hay, chi tiết)
Bài viết Cách tìm li độ của vật tại thời điểm t với phương pháp giải chi tiết giúp học sinh ôn tập, biết cách làm bài tập tìm li độ của vật tại thời điểm t.
Cách tìm li độ của vật tại thời điểm t (hay, chi tiết)
(199k) Xem Khóa học Vật Lí 12 KNTTXem Khóa học Vật Lí 12 CDXem Khóa học Vật Lí 12 CTST
A. Phương pháp & Ví dụ
a) Tìm li độ và hướng chuyển động.
Vật chuyển động về vị trí cân bằng là nhanh dần (không đều) và chuyển động ra xa vị trí cân bằng là chậm dần (không đều).
Cách 1:
+ v(t0) > 0: Vật đi theo chiều dương (x đang tăng).
+ v(t0) < 0: Vật đi theo chiều âm (x đang giảm).
Cách 2:
Xác định vị trí trên vòng lượng giác ở thời điểm t0: ϕ = ωt0 + φ.
Hạ M xuống trục Ox ta được vị trí của vật ở thời điểm t0.
Nếu véctơ quay thuộc nửa trên vòng tròn lượng giác thì hình chiếu chuyển động theo chiều âm (li độ đang giảm).
Nếu véctơ quay thuộc nửa dưới vòng tròn lượng giác thì hình chiếu chuyển động theo chiều dương (li độ đang tăng).
Vậy li độ dao động điều hòa: x = A.cosϕ(t0) = A.cos(ωt0 + φ)
Vận tốc dao động điều hòa: v = x’ = -ωAsin ϕ(t0) = - ωAsin(ωt0 + φ).
Ví dụ 1: Một vật dao động điều hoà với phương trình x = 5cos(5πt + π/3)(cm). Biết ở thời điểm t có li độ là 3cm. Li độ dao động ở thời điểm sau đó 1/10(s) là:
A. 4cm. B. 3cm. C. -3cm. D. 2cm
Lời giải:
+ Ở thời điểm t: x = 5cos(5πt + π/3) = 3 cm
⇒ cos(5πt + π/3) =
⇒ sin(5πt + π/3) =
+ Ở thời điểm (t +
): x = 5cos[5π(t +
) + π/3] = 5cos(5πt + π/3 + π/2) = -5sin(5πt + π/3) = 4cm.
Chọn A
Ví dụ 2: Một vật dao động điều hòa với biên độ 13cm, t = 0 tại biên dương. Sau khoảng thời gian t (kể từ lúc ban đầu chuyển động) thì vật cách vị trí cân bằng O một đoạn 12cm. Sau khoảng thời gian 2t (kể từ t = 0) vật cách O một đoạn bằng x. Giá trị x gần giá trị nào nhất sau đây?
A. 9,35cm B. 8,75cm
C. 6,15cm D. 7,75cm
Lời giải:
+ Phương trình dao động của vật là x = 13cosωt (cm).
+ Tại thời điểm t ta có: 12 = 13cosωt ⇒ cosωt =
+ Tại thời điểm 2t ta có: x = 13cos2ωt = 13.[2cos2ωt –1] = 13.[2.(
)2-1] = 9,15cm.
Chọn A
Ví dụ 3: Một vật doa động điều hòa có phương trình
cm, trong đó t được tính bằng đơn vị giây (s). Lúc t = 5s vật chuyển động
A. nhanh dần theo chiều dương của trục Ox.
B. nhanh dần theo chiều âm của trục Ox.
C. chậm dần theo chiều dương của trục Ox.
D. chậm dần theo chiều âm của trục Ox.
Lời giải:
Quan sát đường tròn lượng giác ta thấy vật đang chuyển động theo chiều âm về vị trí cân bằng (nhanh dần).
Chọn B
b) Tìm trạng thái quá khứ và tương lai đối với bài toán chưa cho biết phương trình của x, v, a, F...
Phương pháp chung:
Cách 1:
+ Dựa vào trạng thái ở thời điểm t0 để xác định vị trí tương ứng trên vòng tròn lượng giác.
+ Để tìm trạng thái ở thời điểm quá khứ (t0 – ∆t) ta quét
theo theo chiều âm của vòng tròn một góc ∆φ = ω.∆t.
+ Để tìm trạng thái ở thời điểm tương lai (t0 + ∆t) ta quét
theo theo chiều dương của vòng tròn một góc ∆φ = ω.∆t.
Cách 2: Dùng phương trình lượng giác:
+ Chọn gốc thời gian t = t0 = 0 và dùng vòng tròn lượng giác để viết pha dao động: ϕ = ωt + φ
+ Lần lượt thay t = -∆t và t = +∆t để tìm trạng thái quá khứ và tương lai:
Nếu v > 0: Vật đi theo chiều dương (x đang tăng).
Nếu v < 0: Vật đi theo chiều âm (x đang giảm).
Ví dụ 1: Một vật thực hiện dao động điều hòa với biên độ A, tại thời điểm t1 = 1,2s vật đang ở vị trí x = A/2 theo chiều âm, tại thời điểm t2 = 9,2s vật đang ở biên âm và đã đi qua vị trí cân bằng 3 lần tính từ thời điểm t1. Hỏi tai thời điểm ban đầu thì vật đang ở đâu và đi theo chiều nào.
A. 0,98 chuyển động theo chiều âm.
B. 0,98A chuyển động theo chiều dương.
C. 0,588A chuyển động theo chiều âm.
D. 0,55A chuyển động theo chiều dương.
Lời giải:
Cách 1:
Chọn lại gốc thời gian t = t1 = 1,2s thì pha dao động có dạng: ϕ = ωt + π/3
Từ M1 quay một vòng(ứng với thời gian T) thì vật qua vị trí cân bằng 2 lần, rồi lại trở về vị trí cũ, sau đó vật quay tiếp 1 góc 2π/3 (ứng với khoảng thời gian T/3) vật đến biên âm và tổng cộng đã đi qua VTCB 3 lần.
Do vậy: t2 – t1 = T + T/3 = 9,2 – 1,2 → T = 6s → ω = 2π/T = π/3.
Để tìm trạng thái ban đầu ta cho t = -1,2s thì ϕ = ωt + π/3
Chọn B
Cách 2: Ta xác định được vị trí của vật tại thời điểm t1 = 1,2s trên vòng tròn lượng giác là ứng với điểm M1.
Từ M1 quay một vòng(ứng với thời gian T) thì vật qua vị trí cân bằng 2 lần, rồi lại trở về vị trí cũ, sau đó vật quay tiếp 1 góc 2π/3 (ứng với khoảng thời gian T/3) vật đến biên âm và tổng cộng đã đi qua VTCB 3 lần.
Do vậy: t2 – t1 = T + T/3 = 9,2 – 1,2 → T = 6s→ ω = 2π/T = π/3.
Để tìm trạng thái ban đầu ta cho M1 quay theo chiều âm 1 góc:
∆φ = ω.∆t = π/3.1,2 = 0,4π (rad) = 72º
Khi đó, ta được vị trí ban đầu của vật có x = A.cos(0,4π-π/3) = 0,98A, và v > 0 (vecto quay khi đó nằm ở nữa dưới vòng tròn). Chọn B
Ví dụ 2: Một chất điểm chuyển động tròn đều với tốc độ 0,75 m/s trên đường tròn bán kính 0,25m. Hình chiếu M’ của điểm M lên đường kính của đường tròn dao động điều hòa. Biết tại thời điểm ban đầu, M’ đi qua vị trí x = A/2 theo chiều âm. Tại thời điểm t = 8s, M’ có tọa độ:
A. 24,9 cm đi theo chiều dương.
B. 24,9 cm đi theo chiều âm.
C. 22,6 cm đi theo chiều dương.
D. 22,6 cm đi theo chiều âm.
Lời giải:
Biên độ và tần số góc: A = 25cm, ω = vT/A = 3 (rad/s)
→ Pha dao động: ϕ = 3t + π/3
Thay t = 8s thì ϕ = 3.8 + π/3
Chọn A
Ví dụ 3: Một chất điểm chuyển động tròn đều với tốc độ 1 m/s trên đường tròn đường kính 0,5m. Hình chiếu M’ của điểm M lên đường kính của đường tròn dao động điều hòa. Biết tại thời điểm t – t0, M’ đi qua vị trí qua vị trí cân bằng theo chiều âm. Hỏi trước thời điểm và sau thời điểm t0 là 8,5s hình chiếu M’ ở ví trí nào và đi theo chiều nào?
Lời giải:
Biên độ và tần số góc lần lượt là: A = 50/2 = 25cm; ω = vd/A = 100/25 = 4 (rad/s)
Góc cần quét: ∆φ = ω.∆t = 4.8,5 = 34 rad = 5.2π + 0,08225π.
+ Để tìm trạng thái ở thời điểm t = t0 – 8,5s ta chỉ cần quét theo chiều âm 1 góc 0,8225π (rad):
x = 25.cos(0,8225π – π/2) = 13,2 > 0. Đồng thời ta thấy chất điểm nằm ở nữa dưới nên hình chiếu đi chiều dương.
+ Để tìm trạng thái ở thời điểm t = t0 + 8,5s ta chỉ cần quét theo chiều dương 1 góc 0,8225π (rad):
x = 25.cos(0,8225π + π/2) = -13,2 < 0. Đồng thời ta thấy chất điểm nằm ở nữa dưới nên hình chiếu đi chiều dương.
c) Tìm trạng thái quá khứ và tương lai đối với bài toán cho biết phương trình của x, v, a, F...
Phương pháp chung: Biết tại thời điểm t vật có li độ x = x1.
Cách 1: Giải bằng phương trình lượng giác (PTLG)
Từ phương trình dao động điều hòa x = Acos(ωt + φ) cho x = x1.
Lấy nghiệm ωt + φ = α ứng với x đang giảm (vật chuyển động theo chiều âm vì v < 0) hoặc lấy nghiệm ωt + φ = -α ứng với x đang tăng (vật chuyển động theo chiều dương vì v > 0).
* Li độ và vận tốc dao động sau (trước) thời điểm đó ∆t giây là:
Dùng máy tính Casio 570ES, 570ESphus…ta có quy trình giải nhanh như sau:
* Li độ và vận tốc dao động sau thời điểm đó ∆t giây là:
* Li độ và vận tốc dao động trước thời điểm đó ∆t giây là:
Lưu ý: Lấy dấu cộng trước shiftcos(x1 + A) nếu ở thời điểm t li độ đang giảm (theo chiều âm) và lấy dấu trừ (-) nếu ở thời điểm t li độ đang tăng (theo chiều dương).
Cách 2: Dùng vòng tròn lượng giác (VTLG)
+ Dánh dấu vị trí x0 trên trục Ox. Kẻ đoạn thẳng vuông góc Ox, cắt đường tròn tại hai điểm. căn cứ vào chiều chuyển động để chọn vị trí M duy nhất trên đường tròn.
+ Vẽ bán kính OM. Trong khoảng thời gian ∆t, góc ở tâm mà OM quét được là α = ω.∆t > 0.
+ Vẽ OM’ lệch với OM một góc α, từ M’ hạ đường vuông góc với Ox cắt ở đâu thì đó là li độ cần xác định.
Ví dụ 1: Một vật dao động điều hòa theo phương trình x = 4cos(πt/6) cm (t tính bằng giây). Tại thời điểm t1 li độ của vật là 2√3 cm và đang giảm. Tính li độ sau thời điểm t1 là 3s
A. -2,5cm. B. -2cm. C. 2cm. D. 3cm.
Lời giải:
Cách 1: Dùng phương trình lượng giác.
Bấm máy tính: Chọn đơn vị góc trong máy tính là rad.
Bấm nhẩm:
rồi bấm = sẽ được -2. Chọn B.
Cách 2. Dùng VTLG
Tại thời điểm t1 có li độ là 2√3 cm và đnag giảm nên chất điểm chuyển động tròn đều trên vòng tròn nằm tai M1.
+ Để tìm trạng thái ở thời điểm t = t1 + 3s ta quét theo chiều dương góc: ∆ϕ = ω∆t + π/2 và lúc này chuyển động tròn đều tại M2. Điểm M2 nằm ở nửa trên vòng tròn nên hình chiếu của nó đi theo chiều âm (x đang giảm).
Li độ của dao động lúc này là:
. Chọn B
Ví dụ 2: Một chất điểm dao động theo trục Ox có phương trình dao động là
. Tại thời điểm t vật có li độ x = 2,5 cm và đang có xu hướng tăng, thì tại thời điểm t’ = t + 0,1 s vật có li độ là:
A. 5 cm B. 2,5 cm C. – 5 cm D. – 2,5 cm
Lời giải:
Tại thời điểm t do vật đang ở vị trí x = 2,5 cm và đang có xu hướng tăng nên vật sẽ đi cùng với chiều dương của trục tọa độ. Khi đó, vật quét 1 góc ở tâm là α1:
Sau thời gian t’ = t + 0,1 vật sẽ quét thêm 1 góc α như hình vẽ.
Khi đó: α = ω∆t = 10π.0,1 = π
Suy ra:
Xét tam giác vuông OIM1 ta có:
Chọn D
d) Li độ, vận tốc, gia tốc, … tại 3 thời điểm t1, t2, t3
Các đại lượng li độ, vận tốc, gia tốc, động lượng và lực kéo về biến thiên điều hòa cùng tần số
Một đại lượng x biến thiên điều hòa với biên độ A thì phân bố thời gian trên trục và trên vòng tròn lượng giác như sau:
Đối với dạng bài toán cho hệ thức liên hệ giữa t1, t2, t3 với nhau và thỏa mãn điều kiện về li độ x, gia tốc a và vận tốc v ta thường làm theo các bước sau:
+ Xác định li độ (vận, tốc, gia tốc) và chiều chuyển động của chất điểm tại các thời điểm t1, t2, t3. Lưu ý bước này rất quan trọng trong quá trình giải dạng bài toán này.
+ Dựa vào giả thuyết bài toán vẽ thật chính xác sơ đồ thời gian.
+ Dựa vào các hệ thức liên hệ và sơ đồ thời gian để xác định các đại lượng mà bài toán yêu cầu.
Ví dụ 1: Một vật dao động điều hòa mà 3 thời điểm liên tiếp t1, t2, t3 với t3 – t1 = 3(t3 –t2), li độ thỏa mãn x1 = x2 = – x3 = 6 cm. Biên độ dao động của vật là
A. 12 cm. B. 8 cm. C. 16 cm. D. 10 cm.
Lời giải:
Không làm mất tính tổng quát có thể xem ở thời điểm t1 vật có li độ x0 và đang tăng, đến thời điểm t2 vật có li độ x0 và đang giảm, đến thời điểm t3 vật có li độ – x0 và đang giảm.
Chọn đáp án A
Ví dụ 2: Một dao động điều hòa mà 3 thời điểm liên tiếp t1, t2, t3 với t3 – t1 = 2(t3 –t2), vận tốc có cùng độ lớn là
cm/s. Vật có vận tốc cực đại là
A. 28,28 cm/s. B. 40 cm/s.
C. 32,66 cm/s. D. 56,57 cm/s.
Lời giải:
Không làm mất tính tổng quát có thể xem ở thời điểm t1 vật có vận tốc v0 và đang tăng, đến thời điểm t2 vật có vận tốc v0 và đang giảm, đến thời điểm t3 vật có vận tốc – v0 và đang giảm.
Chọn đáp án B
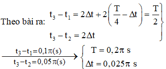
Ví dụ 3: Một chất điểm dao động điều hòa, ba thời điểm liên tiếp t1, t2, t3 có gia tốc lần lượt là a1, a2, a3. Biết t3 – t1 = 2(t3 – t2) = 0,1π s; a1 = – a2 = – a3 = 1 m/s2. Tính tốc độ cực đại của dao động điều hòa.
Lời giải:
Cách 1: Không làm mất tính tổng quát có thể xem ở thời điểm t1 vật có gia tốc a0 và đang giảm, đến thời điểm t2 vật có gia tốc - a0 và đang giảm, đến thời điểm t3 vật có gia tốc - a0 và đang tăng.
a0 = ω2Asinω∆t
Chọn đáp án A
Cách 2: Dựa vào đồ thị gia tốc theo thời gian:
Chọn đáp án A
B. Bài tập trắc nghiệm
Câu 1. Một chất điểm dao động điều hoà với biên độ 10 (cm) và tần số góc 10 (rad/s). Khoảng thời gian ngắn nhất để nó đi từ vị trí có li độ +3,5 cm đến vị trí cân bằng là:
A. 0,036 s B. 0,121 s C. 2,049 s D. 6,951 s
Lời giải:
Đáp án A
Thời gian ngắn nhất dao động điều hòa đi từ x = 3,5 cm đến x = 0 bằng thời gian chuyển động tròn đều đi từ M đến N:
Câu 2. Vật dao động điều hoà, thời gian ngắn nhất vật đi từ vị trí x = +A đến vị trí A/3 là 0,1 s. Chu kì dao động của vật là
A. 1,85 s B. 1,2 s C. 0,51 s D. 0,4 s
Lời giải:
Hướng dẫn: Đáp án C.
Chú ý: Đối với các điểm đặc biệt ta dễ dàng tìm được phân bố thời gian như sau
Câu 3. Vật dao động điều hoà với biên độ A. Thời gian ngắn nhất vật đi từ vị trí có li độ A/2 đến vị trí có li độ A là 0,2 s. Chu kì dao động của vật là:
A. 0,12 s B. 0,4 s C. 0,8 s D. 1,2 s
Lời giải:
Đáp án D
Dựa vào trục phân bố thời gian ta tính được thời gian ngắn nhất đi từ x = A/2 đến x = A là T/6. Do đó T/6 = 0.2 ⇒ T = 1.2(s).
Câu 4. Một chất điểm dao động điều hòa với chu kì 1 s với biên độ 4,5 cm. Khoảng thời gian trong một chu kỳ để vật cách vị trí cân bằng một khoảng nhỏ hơn 2 cm là:
A. 0,29 s B. 16,80 s C. 0,71 s D. 0,15 s
Lời giải:
Đáp án A.
Câu 5. Một chất điểm dao động điều hòa với chu kì T. Khoảng thời gian trong một chu kỳ để vật cách vị trí cân bằng một khoảng lớn hơn nửa biên độ là
A. T/3 B. 2T/3 C. T/6 D. T/2
Lời giải:
Đáp án B.
Dựa vào trục phân bố thời gian ta tính được:
Câu 6. Một dao động điều hoà có chu kì dao động là T và biên độ là A. Tại thời điểm ban đầu vật có li độ x1 > 0. Thời gian ngắn nhất để vật đi từ vị trí ban đầu về vị trí cân bằng gấp ba thời gian ngắn nhất để vật đi từ vị trí ban đầu về vị trí biên x = +A. Chọn phương án đúng.
Lời giải:
Đáp án A.
Ta có hệ
Câu 7. Một dao động điều hoà có chu kì dao động là T và biên độ là A. Tại thời điểm ban đầu vật có li độ x1 (mà x1 ≠ 0, +-A), bất kể vật đi theo hướng nào thì cứ sau khoảng thời gian ngắn nhất Δt nhất định vật lại cách vị trí cân bằng một khoảng như cũ. Chọn phương án đúng.
Lời giải:
Đáp án C
Theo yêu cầu của bài toán suy ra:
Câu 8. Một vật dao động điều hoà có phương trình li độ
Khoảng thời gian tối thiểu để vật đi từ li độ 4√2 cm đến vị trí có li độ 4√3 cm là
A. 1/24 (s) B. 5/12 (s) C. 1/6 (s) D.1/12 (s)
Lời giải:
Đáp án D.
Dựa vào trục phân bố thời gian, ta tính được:
Câu 9. Một dao động điều hoà có chu kì dao động là T và biên độ là A. Thời gian ngắn nhất để vật đi từ điểm có li độ cực đại về điểm có li độ bằng một nửa biên độ cực đại mà véctơ vận tốc có hướng cùng với hướng của trục toạ độ là:
A. T/3 B. 5T/6 C. 2T/3 D. T/6
Lời giải:
Đáp án B.
Dựa vào trục phân bố thời gian, ta tính được:
Câu 10. Một con lắc lò xo đang dao động điều hòa với biên độ A, thời gian ngắn nhất để con lắc di chuyển từ vị trí có li độ x1 = -A đến vị trí có li độ x2 = A/2 là 1 s. Chu kì dao động của con lắc là:
A. 6 s B. 1/3 s C. 2 s D. 3 s
Lời giải:
Đáp án D.
Dựa vào trục phân bố thời gian, ta tính được:
Câu 11. Một chất điểm đang dao động điều hoà trên một đoạn thẳng. Trên đoạn thẳng đó có bảy điểm theo đúng thứ tự M1, M2 ,M3, M4, M5, M6 và M7 với M4 là vị trí cân bằng. Biết cứ 0,05 s thì chất điểm lại đi qua các điểm M1, M2 ,M3, M4, M5, M6 và M7. Tốc độ của nó lúc đi qua điểm M3 là 20π cm/s. Biên độ A bằng
A. 4 cm B. 6 cm C. 12cm D. 4√3 cm
Lời giải:
Đáp án D.
Dựa vào trục phân bố thời gian.
Câu 12. Vật đang dao động điều hòa dọc theo đường thẳng. Một điểm M nằm cố định trên đường thẳng đó, phía ngoài khoảng chuyển động của vật, tại thời điểm t thì vật xa điểm M nhất, sau đó một khoảng thời gian ngắn nhất là Δt thì vật gần điểm M nhất. Độ lớn vận tốc của vật sẽ bằng nửa vận tốc cực đại vào thời điểm gần nhất là
Lời giải:
Đáp án B.
Thời điểm gần nhất vật có tốc độ bằng nửa giá trị cực đại là
Câu 13. Một vật dao động điều hòa mà 3 thời điểm liên tiếp t1, t2, t3 với t3 – t1 = 3(t3 – t2) = 0,1π s, li độ thỏa mãn x1 = x2 = – x3 = 6 cm. Tốc độ cực đại của vật là
A.120 cm/s. B. 180 cm/s.
C. 156,79 cm/s. D. 492,56 cm/s.
Lời giải:
Không làm mất tính tổng quát có thể xem ở thời điểm t1 vật có li độ x0 và đang tăng, đến thời điểm t2 vật có li độ x0 và đang giảm, đến thời điểm t3 vật có li độ – x0 và đang giảm.
Chọn đáp án A
Câu 14. Một chất điểm dao động điều hòa có chu kì T = 1s. Tại thời điểm t = t1 vật có li độ x = – 4cm và sau đó 2,75s vật có vận tốc là:
Lời giải:
Ta có:
Nhận thấy
(hai thời điểm vuông pha và với n là số lẻ) nên
Chọn A.
Câu 15. Một vật dao động điều hòa theo phương ngang với phương trình x = 20cos2πt (cm) (t đo bằng s). Vào một thời điểm nào đó vật có li độ 10√3 cm thì li độ của vật vào thời điểm ngay sau đó là 1/12s là:
A. 10cm hoặc 5cm B. 20cm hoặc 15cm.
C. 10cm hoặc 15cm D. 10cm hoặc 20cm.
Lời giải:
Bài này ta nên dùng phương pháp giải phương trình lượng giác vì bài không nói rõ qua li độ 10√3 cm theo chiều dương hay chiều âm.
C. Bài tập bổ sung
Bài 1: Đầu O của một sợi dây đàn hồi nằm ngang dao động điều hoà theo phương trình x = 3cos(4πt) cm. Sau 2s sóng truyền được 2 m. Li độ của điểm M trên dây cách O đoạn 2,5 m tại thời điểm 2s là
A. xM = -3 cm.
B. xM = 0.
C. xM = 1,5 cm.
D. xM = 3 cm.
Bài 2: Sóng có tần số 20 Hz truyền trên mặt thoáng nằm ngang của một chất lỏng, với tốc độ 2 m/s, gây ra các dao động theo phương thẳng đứng của các phần tư chất lỏng. Hai điểm M và N thuộc mặt thoáng chất lỏng cùng phương truyền sóng, cách nhau 22,5 cm. Biết điểm M nằm gần nguồn sóng hơn. Tại thời điểm t, điểm N hạ xuống thấp nhất. Hỏi sau đó thời gian ngắn nhất là bao nhiêu thì điểm M sẽ hạ xuống thấp nhất?
A. s
B. s
C. s
D. s
Bài 3: Một vật dao độNng điều hoà theo phương trình: (cm). Thời điểm vật qua vị trí có li độ x = √3 cm và đang đi theo chiều (-) lần thứ 20 là:
A. 15,34 s.
B. 19,42 s.
C. 18,35 s.
D. 20,56 s
Bài 4: Một nguồn O dao động với tần số ƒ = 50Hz tạo ra sóng trên mặt nước có biên độ 3cm(coi như không đổi khi sóng truyền đi). Biết khoảng cách giữa 7 gợn lồi liên tiếp là 9 cm. Điểm M nằm trên mặt nước cách nguồn O đoạn bằng 5cm. Chọn t = 0 là lúc phần tử nước tại O đi qua vị trí cân bằng theo chiều dương. Tại thời điểm t1 li độ dao động tại M bằng 2 cm. Li độ dao động tại M vào thời điểm t2=(t1+2,01) s bằng bao nhiêu?
A. 2 cm.
B. -2 cm.
C. 0 cm.
D. -1,5 cm.
Bài 5: Hai điểm M, N cùng nằm trên một phương truyền sóng cách nhau . Tại thời điểm t, khi li độ dao động tại M là uM = + 3 cm thì li độ dao động tại N là uN = –3 cm. Biên độ sóng bằng:
A. A = 6 cm.
B. A = 3 cm.
C. A = 2√3 cm.
D. A = 3√3 cm.
Bài 6: Một sóng cơ học được truyền theo phương Ox với vận tốc v = 20 cm/s. Giả sử khi sóng truyền đi biên độ không thay đổi. Tại O dao động có phương trình u0=4sin4πt (mm). Trong đó t đo bằng giây. Tại thời điểm t1 li độ tại điểm O là u = 3 mm và đang giảm. Lúc đó ở điểm M cách O một đoạn d = 40 cm sẽ có li độ là
A. 4 mm.
B. 2 mm.
C. 3 mm.
D. 3 mm.
Bài 7: Nguồn sóng ở O được truyền theo phương Ox. Trên phương này có hai điểm P và Q cách nhau PQ = 15cm. Biết tần số sóng là 10 Hz, tốc độ truyền sóng v = 40 cm/s, biên độ sóng không đổi khi truyền sóng và bằng √3 cm. Nếu tại thời điểm nào đó P có li độ cm thì li độ tại Q có độ lớn là
A. 0 cm
B. 0,75 cm
C. 3 cm
D. 1,5 cm
Bài 8: Một vật dao động điều hòa với chu kì T = 1s và biên độ A = 5 cm. Tại thời điểm t vật có li độ là x = 2,5 cm và đang đi theo chiều đương của quỹ đạo. Tại thời điểm s thì
A. vật qua vị trí cân bằng
B. vật có li độ x = -2,5cm
C. vật có li độ x = 2,5√2cm
D. gia tốc của vật có độ lớn cực đại
Bài 9: Sóng truyền theo phương ngang trên một sợi dây dài với tần số 10 Hz. Điểm M trên dây tại một thời điểm đang ở vị trí cao nhất và tại thời điểm đó điểm N cách M một khoảng 5 cm đang đi qua vị trí có li độ bằng nửa biên độ và đi lên. Coi biên độ sóng không đổi khi truyền. Biết khoảng cách MN nhỏ hơn bước sóng của sóng trên dây. Xác định tốc độ truyền sóng và chiều truyền sóng.
Bài 10: Một rợi dây cao su dài căng thẳng, đầu A của dây dao động theo phương trình u = 2cos(40πt)cm. Tốc độ truyền sóng trên dây là 2 m/s.
a) Viết phương trình dao động tại điểm M cách A một khoảng AM = 15 cm.
b) Xét một điểm N cách A một khoảng d, tìm điều kiện để điểm N luôn dao động ngược pha với A. Vào thời điểm t dao động tại A có li độ là 1,6 cm thì dao động tại N có li độ bằng bao nhiêu?
(199k) Xem Khóa học Vật Lí 12 KNTTXem Khóa học Vật Lí 12 CDXem Khóa học Vật Lí 12 CTST
Xem thêm các dạng bài tập Vật Lí lớp 12 ôn thi Tốt nghiệp có lời giải hay khác:
Dạng 6: Tìm quãng đường, quãng đường lớn nhất, nhỏ nhất (smax, smin) vật đi được
Dạng 7: Tốc độ trung bình và vận tốc trung bình trong dao động điều hòa
Dạng 8: Phương pháp đường tròn hỗn hợp trong dao động điều hòa
75 Bài tập trắc nghiệm dao động điều hòa có lời giải (phần 1)
75 Bài tập trắc nghiệm dao động điều hòa có lời giải (phần 2)
75 Bài tập trắc nghiệm dao động điều hòa có lời giải (phần 3)
Đã có app VietJack trên điện thoại, giải bài tập SGK, SBT Soạn văn, Văn mẫu, Thi online, Bài giảng....miễn phí. Tải ngay ứng dụng trên Android và iOS.
Theo dõi chúng tôi miễn phí trên mạng xã hội facebook và youtube:Nếu thấy hay, hãy động viên và chia sẻ nhé! Các bình luận không phù hợp với nội quy bình luận trang web sẽ bị cấm bình luận vĩnh viễn.
- Giải Tiếng Anh 12 Global Success
- Giải sgk Tiếng Anh 12 Smart World
- Giải sgk Tiếng Anh 12 Friends Global
- Lớp 12 Kết nối tri thức
- Soạn văn 12 (hay nhất) - KNTT
- Soạn văn 12 (ngắn nhất) - KNTT
- Giải sgk Toán 12 - KNTT
- Giải sgk Vật Lí 12 - KNTT
- Giải sgk Hóa học 12 - KNTT
- Giải sgk Sinh học 12 - KNTT
- Giải sgk Lịch Sử 12 - KNTT
- Giải sgk Địa Lí 12 - KNTT
- Giải sgk Giáo dục KTPL 12 - KNTT
- Giải sgk Tin học 12 - KNTT
- Giải sgk Công nghệ 12 - KNTT
- Giải sgk Hoạt động trải nghiệm 12 - KNTT
- Giải sgk Giáo dục quốc phòng 12 - KNTT
- Giải sgk Âm nhạc 12 - KNTT
- Giải sgk Mĩ thuật 12 - KNTT
- Lớp 12 Chân trời sáng tạo
- Soạn văn 12 (hay nhất) - CTST
- Soạn văn 12 (ngắn nhất) - CTST
- Giải sgk Toán 12 - CTST
- Giải sgk Vật Lí 12 - CTST
- Giải sgk Hóa học 12 - CTST
- Giải sgk Sinh học 12 - CTST
- Giải sgk Lịch Sử 12 - CTST
- Giải sgk Địa Lí 12 - CTST
- Giải sgk Giáo dục KTPL 12 - CTST
- Giải sgk Tin học 12 - CTST
- Giải sgk Hoạt động trải nghiệm 12 - CTST
- Giải sgk Âm nhạc 12 - CTST
- Lớp 12 Cánh diều
- Soạn văn 12 Cánh diều (hay nhất)
- Soạn văn 12 Cánh diều (ngắn nhất)
- Giải sgk Toán 12 Cánh diều
- Giải sgk Vật Lí 12 - Cánh diều
- Giải sgk Hóa học 12 - Cánh diều
- Giải sgk Sinh học 12 - Cánh diều
- Giải sgk Lịch Sử 12 - Cánh diều
- Giải sgk Địa Lí 12 - Cánh diều
- Giải sgk Giáo dục KTPL 12 - Cánh diều
- Giải sgk Tin học 12 - Cánh diều
- Giải sgk Công nghệ 12 - Cánh diều
- Giải sgk Hoạt động trải nghiệm 12 - Cánh diều
- Giải sgk Giáo dục quốc phòng 12 - Cánh diều
- Giải sgk Âm nhạc 12 - Cánh diều


Giải bài tập SGK & SBT
Tài liệu giáo viên
Sách
Khóa học
Thi online
Hỏi đáp

