75 Bài tập trắc nghiệm Dao động điều hòa có lời giải (phần 3)
Với Bài tập trắc nghiệm Dao động điều hòa (phần 3) có lời giải chi tiết sẽ giúp học sinh ôn tập, biết cách làm Bài tập trắc nghiệm Dao động điều hòa có lời giải (phần 3).
75 Bài tập trắc nghiệm Dao động điều hòa có lời giải (phần 3)
(199k) Xem Khóa học Vật Lí 12 KNTTXem Khóa học Vật Lí 12 CDXem Khóa học Vật Lí 12 CTST
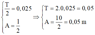
Câu 51. Một vật dao động điều hòa phải mất 0,025 s để đi từ điểm có vận tốc bằng không tới điểm tiếp theo cũng có vận tốc bằng không, hai điểm ấy cách nhau 10 cm. Chọn đáp án
A. chu kì dao động là 0,025 s
B. tần số dao động là 10 Hz
C. biên độ dao động là 10 cm
D. vận tốc cực đại của vật là 2π cm/s.
Lời giải:
Chọn D.
Ta có:
Câu 52. Một vật dao động điều hòa, ở thời điểm t1 vật có li độ x1 = 1 cm, và có vận tốc v1 = 20 cm/s. Đến thời điểm t2 vật có li độ x2 = 2 cm và có vận tốc v2 = 10 cm/s. Hãy xác định biên độ, vận tốc cực đại của vật?
A. ω = 10 rad/s và vmax = 10√5 cm/s
B. ω = 15 rad/s và vmax = 10 cm/s
C. ω = 15 rad/s và vmax = 10 cm/s
D. ω = 10 rad/s và vmax = 10√5 cm/s
Lời giải:
Chọn A. Hướng dẫn: Tại thời điểm t ta có :
x = Acos(ωt + φ) và v = x' = -ωAsin(ωt + φ)
Từ (1) và (2) ta được:
Chu kỳ: T = 2π/ω = 2π/10 = 0,625 s Tần số: f = 2π/ω = 1/T = 1,59 Hz
Biên độ
Vận tốc cực đại: vmax = Aω = 10√5 cm/s
Câu 53. Vật dao động điều hòa với biên độ A = 4 cm và T = 2 s. Chọn gốc thời gian là lúc vật qua VTCB theo chiều dương của quỹ đạo. Phương trình dao động của vật là :
Lời giải:
Chọn A. Hướng dẫn: Ta có: ω = 2πf = π rad/s và A = 4 cm
Khi: t = 0 : x0 = 0, v0 > 0 :
Câu 54. Một vật dao động điều hoà trên trục Ox với tần số f = 4 Hz, biết toạ độ ban đầu của vật là x = 3 cm và sau đó 1/24 s thì vật lại trở về toạ độ ban đầu. Phương trình dao động của vật là
Lời giải:
Chọn B. Hướng dẫn: Vẽ vòng lượng giác so sánh thời gian đề cho với chu kì T sẽ xác định được vị trí ban đầu của vật ở thời điểm t = 0 và thời điểm sau 1/24 s
Ta có: T = 1/f = 0,25 s ⇒ Δt = 1/24
suy ra vật chưa quay hết được một vòng Dễ dàng suy ra góc quay:
Δα = 2|φ| = ωΔt = 8π/24 = π/3
Vì đề cho x = 3 cm ⇒ góc quay ban đầu là φ = –π/6
Câu 55. Một vật dao động điều hòa có phương trình
Li độ và vận tốc của vật lúc t = 0,25 s là :
A. 1 cm; ± 2√3π cm/s.
B. 1,5 cm; ± π√3 cm/s.
C. 0,5 cm; ±√3 cm/s.
D. 1 cm; ± π cm/s.
Lời giải:
Chọn A. Hướng dẫn: Từ phương trình
Thay t = 0,25 s vào phương trình x và v, ta được: x = 1 cm, v = ±2√3 cm/s
Câu 56. Một vật dao động điều hòa có phương trình:
Vận tốc cực đại và gia tốc cực đại của vật là :
A. 10 m/s; 200 m/s2.
B. 10 m/s; 2 m/s2.
C. 100 m/s; 200 m/s2.
D. 1 m/s; 20 m/s2.
Lời giải:
Chọn D. Hướng dẫn: Áp dụng : |vmax| = ωA và a = ω2A
Câu 57. Một vật dao động điều hòa với biên độ A = 10 cm, chu kì T. Vào một thời điểm t, vật đi qua li độ x = 5 cm theo chiều âm. Vào thời điểm t + T/6, li độ của vật
A. 5√3 cm B. 5 cm C. –5√3 cm D. –5 cm
Lời giải:
Chọn D.Hướng dẫn: Ở thời điểm t: x1 = 5 cm, v < 0
t = T/6, α = π/3 ⇒ x2 = -5 cm.
Câu 58. Một chất điểm dao động dọc theo trục Ox.
Phương trình dao động là
Tại thời điểm t vật có li độ x = 6 cm và đang chuyển động theo chiều dương sau đó 0,25 s thì vật có li độ là :
A. 6 cm B. 8 cm C. – 6 cm D. – 8 cm
Lời giải:
Chọn B. Hướng dẫn:
Ở thời điểm t1 : x1 = 6 cm, v > 0
T = 1s ⇒ 0,25 s = T/4
⇒ ở thời điểm t2 = t1 + 0,25s : α = α1 + α2 = π/2
⇒ sinα1 = cosα2 ⇒ x2 = 8 cm.
Câu 59. Một chất điểm M chuyển động với tốc độ 0,75 m/s trên đường tròn có đường kính bằng 0,5 m. Hình chiếu M’ của điểm M lên đường kính của đường tròn dao động điều hoà. Tại t = 0 s, M’ đi qua vị trí cân bằng theo chiều âm. Khi t = 8 s hình chiếu M’ qua li độ
A. -10,17 cm theo chiều dương
B. -10,17 cm theo chiều âm
C. 22,64 cm theo chiều dương
D. 22.64 cm theo chiều âm
Lời giải:
Chọn D. Hướng dẫn:
Với chất điểm M :
v = ωR = ωA ⇒ ω = 3 rad/s (A = 25 cm)
Với M’ : x = 25cos( 3t + π/2 )
+ ở thời điểm t = 8 s ⇒ x = 22,64 cm và v < 0
Câu 60. Một chất điểm dao động điều hòa với phương trình:
Tại thời điểm t1 gia tốc của chất điểm có giá trị cực tiểu. Tại thời điểm t2 = t1 + Δt (trong đó t2 < 2013T ) thì tốc độ của chất điểm là 10π√2 cm/s. Giá trị lớn nhất của Δt là
A. 4024,75 s B. 4024,25 s
C. 4025,25 s D. 4025,75 s.
Lời giải:
Chọn A. Hướng dẫn:
Tại thời điểm t1 : amin = – 20π2 cm/s2 khi cos(πt - 5π/6) = 1 ⇒ t1 = 5/6 s và v = 0.
Ở thời điểm t2 :
Giá trị lớn nhất của Δt1 ứng với Δt2
Câu 61. Một chất điểm dao động điều hòa với phương trình:
Ở thời điểm t = π/15 (s) vật có:
A. Vận tốc 60√3 cm/s, gia tốc 12 m/s2 và đang chuyển động theo chiều dương quĩ đạo.
B. Vận tốc -60√3 cm/s, gia tốc –12 m/s2 và đang chuyển động theo chiều âm quĩ đạo.
C. Vận tốc 60 cm/s, gia tốc 12√3 m/s2 và đang chuyển động theo chiều dương quĩ đạo.
D. Vận tốc –60 cm/s, gia tốc -12√3 m/s2 và đang chuyển động theo chiều âm quĩ đạo.
Lời giải:
Chọn D. Hướng dẫn:
Biểu thức vận tốc:
v < 0 ⇒ chuyển động theo chiều âm quỹ đạo
Biểu thức gia tốc:
Câu 62. Một vật nhỏ dao động điều hòa với chu kỳ T = 1 s. Tại thời điểm t1 nào đó, li độ của vật là – 2 cm. Tại thời điểm t2 = t1 + 0,25 s, vận tốc của vật có giá trị:
A. 4π cm/s B. – 2π m/s
C. 2π cm/s D. – 4π m/s
Lời giải:
Chọn A. Hướng dẫn: Giả sử phương trình dao động của vật có dạng x = Acos(2π/T)t cm.
Câu 63. Một vật dao động điều hoà với phương trình x = 4cos(4πt + π/6 ) cm. Thời điểm thứ 2011 vật đi qua vị trí x = 2 cm.
Lời giải:
Chọn A
Hướng dẫn: Cách giải 1:
Vật qua lần thứ 2011(lẻ) ứng với nghiệm trên k = (2011-1)/2 = 1005
Cách giải 2: Vật qua x = 2 là qua M1 và M2. Vật quay 1 vòng (1 chu kỳ) qua x = 2 là 2 lần
Qua lần thứ 2011 thì phải quay 1005 vòng rồi đi từ M0 đến M1
Góc quét:
Câu 64. Một dao động điều hoà với.Thời điểm thứ 2014 vật qua vị trí có vận tốc v = -8π cm/s
A. 1006,5 s B. 1005,5 s
C. 2014 s D. 1007 s
Lời giải:
Chọn A. Hướng dẫn:Cách giải 1: Ta có v = –16πsin(2πt – π/6) = – 8π
Thời điểm thứ 2012 ứng với nghiệm
Cách giải 2:
Ta cóVì v < 0 nên vật qua M1 và M2; Qua lần thứ 2014 thì phải quay 1006 vòng rồi đi từ M0 đến M2. Góc quét Δφ = 1006.2π + π ⇒ t = 1006,5 s.
Câu 65. Một chất điểm dao động điều hoà trên trục Ox có vận tốc bằng 0 tại hai thời điểm liên tiếp t1 = 1,75 s và t2 = 2,5 s, tốc độ trung bình trong khoảng thời gian đó là 16 cm/s. Toạ độ chất điểm tại thời điểm t = 0 là
A. – 8 cm B. – 4 cm C. 0 cm D. – 3 cm
Lời giải:
Chọn D. Hướng dẫn:
Giả sử tại thời điểm t0 = 0; t1 và t2 chất điểm ở các vị trí M0; M1 và M2; từ thời điểm t1 đến t2 chất điểm CĐ theo chiều dương.
Chất điểm có vận tốc bằng 0 tại các vị trí biên.
Chu kì T = 2(t2 – t1 ) = 1,5 s. vtb = 16 cm/s
Suy ra M1M2 = 2A = vtb(t2 – t1) = 12 cm
Do đó A = 6 cm. Từ t0 = 0 đến t1:
t1 = 1,5 s + 0,25 s = T + T/6
Vì vậy khi chất điểm ở M0, chất điểm CĐ theo chiều âm, đến vị trí biên âm, trong t = T/6 đi được quãng đường A/2
Do vậy tọa độ chất điểm ở thời điểm t = 0 là x0 = –A/2 = – 3 cm.
Câu 66. Một vật dao động có phương trình là
Trong giây đầu tiên vật đi qua vị trí có tọa độ là x = 1 cm mấy lần?
A. 2 lần B. 3 lần C. 4 lần D. 5 lần
Lời giải:
Chọn D. Hướng dẫn: Vật dao động hòa quanh vị trí x = 1cm
Ta có:
Ở thời điểm
Trong 2 chu kì vật qua vị trí x = 1 cm được 4 lần( mỗi chu kì qua 2 lần)
Trong nửa chu kì tiếp theo vật qua x = 1 cm thêm 1 lần nữa
Câu 67. Vật dao động điều hòa có phương trình x = Acosωt. Thời gian ngắn nhất kể từ lúc bắt đầu dao động đến lúc vật có li độ x = -A/2 là :
A. T/6 B. T/8 C. T/3 D. T/4
Lời giải:
Chọn C. Hướng dẫn:
Tại t = 0 : x0 = A, v0 = 0 : Trên đường tròn ứng với vị trí M
Tại t : x = -A/2 : Trên đường tròn ứng với vị trí N
Vật đi ngược chiều + quay được góc Δφ = 120° = 2π/3
Câu 68. Vật dao động điều hòa theo phương trình x = 4cos(8πt – π/6) cm. Thời gian ngắn nhất vật đi từ x1 = –2√3 cm theo chiều dương đến vị trí có li độ x2 = 2√3 cm theo chiều dương là:
A. 1/16 (s) B. 1/12 (s)
C. 1/10 (s) D. 1/20 (s)
Lời giải:
Chọn B
Hướng dẫn: Tiến hành theo các bước ta có :
Vật dao động điều hòa từ x1 đến x2 theo chiều dương tương ứng vật CĐTĐ từ M đến N.
Trong thời gian t vật quay được góc
Δφ = 120° = 2π/3
Vậy
Câu 69. Một dao động điều hòa có chu kì dao động là T và biên độ là A. Tại thời điểm ban đầu vật có li độ x1 (mà x1 ≠ 0; +A, -A) bất kể vật đi theo hướng nào thì cứ sau khoảng thời gian ngắn nhất Δt nhất định thì vật lại có li độ cách vị trí cân bằng như cũ. Chọn phương án:
Lời giải:
Chọn B. Hướng dẫn: Theo giả thuyết, cứ sau khoảng thời gian ngắn nhất Δt nhất định thì vật lại có li độ cách vị trí cân bằng như cũ.
Khi đó:
Nếu ta chọn x1 có dạng
Từ (1) ta có: t1 = t2 = T/8, thay vào (2) suy ra: x1 = +- ((A√2)/2)
Câu 70. Một chất điểm dao động điều hòa với biên độ 10 cm và tần số góc 10 rad/s. Khoảng thời gian ngắn nhất để nó đi từ vị trí có li độ + 3,5 cm đến vị trí cân bằng là
A. 0,036 s B. 0,121 s C. 2,049 s D. 6,951 s
Lời giải:
Chọn A. Hướng dẫn
Bấm máy tính:
Câu 71. Vật dao động điều hòa, thời gian ngắn nhất vật đi từ vị trí x = + A đến vị trí x = A/3 là 0,1 s. Chu kì dao động của vật là
A. 1,85 s B. 1,2 s C. 0,51 s D. 0,4 s
Lời giải:
Chọn C. Hướng dẫn: Bấm máy tính:
Câu 72. Một chất điểm dao động điều hòa với chu kì T. Khoảng thời gian trong một chu kì để vật cách VTCB một khoảng nhỏ hơn một nửa biên độ là
A. T/3 B. 2T/3 C. T/6 D. T/2
Lời giải:
Chọn A. Hướng dẫn:
Câu 73. Một chất điểm dao động điều hòa với chu kì T. Khoảng thời gian trong một chu kì để vật cách VTCB một khoảng nhỏ hơn 0,5√2 biên độ là
A. T/3 B. 2T/3 C. T/6 D. T/2
Lời giải:
Chọn D. Hướng dẫn:
Câu 74. Một chất điểm dao động điều hòa với chu kì T. Khoảng thời gian trong một chu kì để vật cách VTCB một khoảng nhỏ hơn 0,5√3 biên độ là
A. T/3 B. 2T/3 C. T/6 D. T/2
Lời giải:
Chọn C. Hướng dẫn:
Câu 75. Một chất điểm dao động điều hòa với chu kì T. Khoảng thời gian trong một chu kì để vật có tốc độ nhỏ hơn một nửa tốc độ cực đại là :
A. T/3 B. 2T/3 C. T/6 D. T/2
Lời giải:
Chọn A. Hướng dẫn:
(199k) Xem Khóa học Vật Lí 12 KNTTXem Khóa học Vật Lí 12 CDXem Khóa học Vật Lí 12 CTST
Xem thêm các dạng bài tập Vật Lí lớp 12 ôn thi Tốt nghiệp có lời giải hay khác:
- Tổng hợp Lý thuyết Chương Dao động cơ
Chủ đề: Dao động tắt dần, dao động cưỡng bức, dao động duy trì
Đã có app VietJack trên điện thoại, giải bài tập SGK, SBT Soạn văn, Văn mẫu, Thi online, Bài giảng....miễn phí. Tải ngay ứng dụng trên Android và iOS.
Theo dõi chúng tôi miễn phí trên mạng xã hội facebook và youtube:Nếu thấy hay, hãy động viên và chia sẻ nhé! Các bình luận không phù hợp với nội quy bình luận trang web sẽ bị cấm bình luận vĩnh viễn.
- Giải Tiếng Anh 12 Global Success
- Giải sgk Tiếng Anh 12 Smart World
- Giải sgk Tiếng Anh 12 Friends Global
- Lớp 12 Kết nối tri thức
- Soạn văn 12 (hay nhất) - KNTT
- Soạn văn 12 (ngắn nhất) - KNTT
- Giải sgk Toán 12 - KNTT
- Giải sgk Vật Lí 12 - KNTT
- Giải sgk Hóa học 12 - KNTT
- Giải sgk Sinh học 12 - KNTT
- Giải sgk Lịch Sử 12 - KNTT
- Giải sgk Địa Lí 12 - KNTT
- Giải sgk Giáo dục KTPL 12 - KNTT
- Giải sgk Tin học 12 - KNTT
- Giải sgk Công nghệ 12 - KNTT
- Giải sgk Hoạt động trải nghiệm 12 - KNTT
- Giải sgk Giáo dục quốc phòng 12 - KNTT
- Giải sgk Âm nhạc 12 - KNTT
- Giải sgk Mĩ thuật 12 - KNTT
- Lớp 12 Chân trời sáng tạo
- Soạn văn 12 (hay nhất) - CTST
- Soạn văn 12 (ngắn nhất) - CTST
- Giải sgk Toán 12 - CTST
- Giải sgk Vật Lí 12 - CTST
- Giải sgk Hóa học 12 - CTST
- Giải sgk Sinh học 12 - CTST
- Giải sgk Lịch Sử 12 - CTST
- Giải sgk Địa Lí 12 - CTST
- Giải sgk Giáo dục KTPL 12 - CTST
- Giải sgk Tin học 12 - CTST
- Giải sgk Hoạt động trải nghiệm 12 - CTST
- Giải sgk Âm nhạc 12 - CTST
- Lớp 12 Cánh diều
- Soạn văn 12 Cánh diều (hay nhất)
- Soạn văn 12 Cánh diều (ngắn nhất)
- Giải sgk Toán 12 Cánh diều
- Giải sgk Vật Lí 12 - Cánh diều
- Giải sgk Hóa học 12 - Cánh diều
- Giải sgk Sinh học 12 - Cánh diều
- Giải sgk Lịch Sử 12 - Cánh diều
- Giải sgk Địa Lí 12 - Cánh diều
- Giải sgk Giáo dục KTPL 12 - Cánh diều
- Giải sgk Tin học 12 - Cánh diều
- Giải sgk Công nghệ 12 - Cánh diều
- Giải sgk Hoạt động trải nghiệm 12 - Cánh diều
- Giải sgk Giáo dục quốc phòng 12 - Cánh diều
- Giải sgk Âm nhạc 12 - Cánh diều


Giải bài tập SGK & SBT
Tài liệu giáo viên
Sách
Khóa học
Thi online
Hỏi đáp

