Cách giải bài tập Sai số các đại lượng vật lí trong thí nghiệm dao động điều hòa (hay, chi tiết)
Bài viết Cách giải bài tập Sai số các đại lượng vật lí trong thí nghiệm dao động điều hòa với phương pháp giải chi tiết giúp học sinh ôn tập, biết cách làm bài tập Cách giải bài tập Sai số các đại lượng vật lí trong thí nghiệm dao động điều hòa.
Cách giải bài tập Sai số các đại lượng vật lí trong thí nghiệm dao động điều hòa (hay, chi tiết)
(199k) Xem Khóa học Vật Lí 12 KNTTXem Khóa học Vật Lí 12 CDXem Khóa học Vật Lí 12 CTST
A. Phương pháp & Ví dụ
I. Phương pháp tính sai số trực tiếp từ giá trị đo được
Trong thực nghiệm để xác định giá trị của đại lượng vật lý nào đó chúng ta cần tiến hành đo nhiều lần rồi xác định giá trị trung bình. Giá trị trung bình đó sẽ càng gần với giá trị thực của đối tượng cần xác định khi phép đo được thực hiện càng nhiều lần.
Ví dụ muốn đo đai lượng A, trong thực nghiệm chúng ta đo giá trị đó n lần và được A1…An giá trị khi đó sử lý kết quả đo được như sau:
Chúng ta viết sai số của đại lượng đo
Và kết quả thu được được viết như sau:
Trong đó:
: Giá trị gần đúng nhất với giá trị thực
∆A: Sai số gặp phải của phép đo
: Sai số tuyệt đối trung bình (sai số ngẫu nhiên)
∆A’: Sai số dụng cụ
A: Kết quả đo
Ví dụ 1: Một học sinh dùng đồng hồ bấm giây để đo chu kỳ dao động điều hòa T của một vật bằng cách đo thời gian mỗi dao động. Ba lần đo cho kết quả thời gian của mỗi dao động lần lượt là 2,01s; 2,12s; 1,99s. Thang chia nhỏ nhất của đồng hồ là 0,01s. Kết quả của phép đo chu kỳ được biểu diễn bằng
A. T = (6,12 ± 0,05)s
B. T = (2,04 ± 0,05)s
C. T = (6,12 ± 0,06)s
D. T = (2,04 ± 0,06)s
Lời giải:
Chọn D
Ta có:
Chúng ta lấy sai số làm tròn đến 1%
Vì sai số có đóng góp của sai số ngẫu nhiên là
cộng với sai số hệ thống (chính là sai số của dụng cụ = 0,01) khi đó sai số gặp phải là:
lúc đó kết quả đúng là T = (2,04 ± 0,06)s
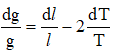
II. Phương pháp xác định sai số gián tiếp
Giả sử ta có một đại lượng được xác định bởi công thức
Ta tìm sai số như sau:
Bước 1: Lấy Logarit tự nhiên (còn gọi là logarit Nêpe) hai vế:
Bước 2: Lấy vi phân hai vế ta được
Bước 3: Lấy giá trị tuyệt đối là giá trị dương để tìm sai số tương đối.
Bước 4: Tính giá trị trung bình của đại lượng cần đo D
Suy ra:
Ví dụ 2: Trong bài toán thực hành của chương trình vật lý 12, bằng cách sử dụng con lắc đơn để đo gia tốc rơi tự do là
(∆g là sai số tuyệt đối trong phép đo). Bằng cách đo gián tiếp thì xác định được chu kỳ và chiều dài của con lắc đơn là T = 1,7951 ± 0,0001 (s) ; l = 0,8000 ± 0,0002 (m). Gia tốc rơi tự do có giá trị là:
A. 9,7911 ± 0,0003 (m/s2)
B. 9,801 ± 0,0003 (m/s2)
C. 9,801 ± 0,0023 (m/s2)
D. 9,7911 ± 0,0004 (m/s2)
Lời giải:
Chọn A
Ta có biểu thức chu kỳ của con lắc đơn là:
(*)
Ta có giá trị trung bình là:
Bước 1: Lấy ln hai vế
Bước 2: Lấy vi phân hai vế ta được:
Bước 3: Lấy giá trị tuyệt đối là giá trị dương của từng thành phần
Bước 4: Ta có giá trị trung bình là: g = 9,7911 m/s2.
Suy ra: Δg = 0,0003057 (công thức sai số ở bài “các phép tính sai số” - vật lý 10)
Do đó
= 9,7911 ± 0,0003 m/s2.
B. Bài tập trắc nghiệm
Câu 1. Trong bài thực hành đo gia tốc trọng trường của Trái Đất tại phòng thí nghiệm. Một học sinh đo chiều dài con lắc đơn có kết quả là l = 0,8000 ± 0,0002 m thì chu kỳ dao động T = 1,7951 ± 0,0001 s. Gia tốc trọng trường tại đó là
A. g = 9,801 ± 0,0023 m/s2
B. g = 9,801 ± 0,0035 m/s2
C. g = 9,801 ± 0,0003 m/s2
D. g = 9,801 ± 0,0004 m/s2
Lời giải:
Chọn B
+ Ta có:
Sai số tuyệt đối của phép đo:
Ghi kết quả đo: g = 9,801 ± 0,0035 m/s2
Câu 2. Học sinh thực hành đo chu kì dao động của con lắc đơn bằng đồng hồ bấm giây bằng cách đo thời gian thực hiện một dao động toàn phần. Kết quả 5 lần đo như sau:
| Lần đo | 1 | 2 | 3 | 4 | 5 |
| T(s) | 2,01 | 2,11 | 2,05 | 2,03 | 2,00 |
Cho biết thang chia nhỏ nhất của đồng hồ là 0,02s. Kết quả của phép đo chu kì T của con lắc:
A. 2,04 ± 1,96% (s)
B. 2,04 ± 2,55% (s)
C. 2,04 ± 1,57% (s)
D. 2,04 ± 2,85% (s)
Lời giải:
Chọn B
- Sai số dụng cụ là: ∆A’ = 0,02s
- Giá trị trung bình:
- Sai số tuyệt đối trung bình:
- Sai số tuyệt đối:
- Sai số của phép đo:
⇒ Kết quả phép đo chu kì T được viết: T = 2,04 ± 2,55% (s)
Câu 3. Một học sinh dùng cân và đồng hồ đếm giây để đo độ cứng của lò xo. Dùng cân để cân vật nặng khối lượng m = 100g ± 2%. Gắn vật vào lò xo và kích thích cho con lắc dao động rồi dùng đồng hồ đếm giây đo thời gian của một dao động cho kết quả T = 2s ± 1%. Bỏ qua sai số của π (coi như bằng 0). Sai số tương đối của phép đo là:
A. 1% B. 3% C. 2% D. 4%
Lời giải:
Chọn D
Đo độ cứng của lò xo bằng cách dùng cân để đo khối lượng m và dùng đồng hồ để đo chu kỳ T nên phép đo độ cứng k là phép đo gián tiếp.
Sai số của phép đo k phụ thuộc sai số phép đo trực tiếp khối lượng m và chu kỳ T. Theo bài ra ta có sai số tương đối của phép đo trực tiếp m và T là:
Ở đây bỏ qua sai số của π nên
= 4%. Đáp án D.
Câu 4. Tại một phòng thí nghiệm, học sinh A sử dụng con lắc đơn để đo gia tốc rơi tự do g bằng phép đo gián tiếp. Kết quả đo chu kì và chiều dài của con lắc đơn là T = 1,919 ± 0,001 (s) và l = 0,9 ± 0,002 (m). Bỏ qua sai số của số pi (π). Cách viết kết quả đo nào sau đây là đúng?
A. g = 9,648 ± 0,031 m/s2
B. g = 9,544 ± 0,035 m/s2
C. g = 9,648 ± 0,003 m/s2
D. g = 9,544 ± 0,003 m/s2
Lời giải:
Chọn A
Công thức xác định độ lớn gia tốc trọng trường:
Vậy g = 9,648 ± 0,031 m/s2
Câu 5. Một bạn học sinh dùng đồng hồ bấm giây để đo chu kì dao động của con lắcđơn bằng cách xác định khoảng thời gian để con lắc thực hiện được 10 dao động toàn phần. Kết quả 4 lần đo liên tiếp của bạn học sinh này là: 21,3s; 20,2s; 20,9s; 20,0s. Biết sai số khi dùng đồng hồ này là 0,2s (bao gồm sai số chủ quan khi bấm và sai số dụng cụ). Theo kết quả trên thì cách viết giá trị của chu kì T nào sau đây là đúng nhất ?
A. T = 2,06 ± 0,2 s.
B. T = 2,13 ± 0,02 s.
C. T = 2,00 ± 0,02 s.
D. T = 2,06 ± 0,02s.
Lời giải:
Chọn D
Kết quả trung bình sau 4 lần đo thời gian con lắc thực hiện 10 dao động thành phần
là:
Do đó 10T = 20,6 ± 0,2 → T = 2,06 ± 0,02 (s)
Câu 6. Một học sinh làm thí nghiệm đo gia tốc trọng trường dựa vào dao động của con lắc đơn. Dùng đồng hồ bấm giây đo thời gian 10 đao động toàn phần và tính được kết quả t = 20,102 ± 0,269 (s). Dùng thước đo chiều dài dây treo và tính được kết quả L = 1 ± 0,001 (m). Lấy π2 = 10 và bỏ qua sai số của số pi (π). Kết quả gia tốc trọng trường tại nơi đặt con lắc đơn là:
A. 9,899 (m/s2) ± 1,438%
B. 9,988 (m/s2) ± 1,438%
C. 9,899 (m/s2) ± 2,776%
D. 9,988 (m/s2) ± 2,776%
Lời giải:
Chọn C
Chu kì dao động của con lắc đơn:
Trong đó: L =1 ± 0,001 (m) và
= 2,0102 ± 0,0269 (s)
Gia tốc trọng trường nơi đặt con lắc: g = 9,899 ± 2,776% (m/s2)
Câu 7. Bố trí một thí nghiệm dùng con lắc đơn để xác định gia tốc trọng trường.
Các số liệu đo được như sau:
| Lần đo | Chiều dài dây treo (m) | Chu kỳ dao động (s) | Gia tốc trọng trường (m/s2) |
| 1 | 1,2 | 2,19 | 9,8776 |
| 2 | 0,9 | 1,90 | 9,8423 |
| 3 | 1,3 | 2,29 | 9,7866 |
Gia tốc trọng trường là
A. g = 9,86 m/s2 ± 0,045 m/s2.
B. g = 9,79 m/s2 ± 0,0576 m/s2.
C. g = 9,76 m/s2 ± 0,056 m/s2.
D. g = 9,84 m/s2 ± 0,045 m/s2.
Lời giải:
Chọn D
| Lần đo | Chiều dài dây treo (m) | Chu kỳ dao động (s) | Gia tốc trọng trường (m/s2) |
| 1 | 1,2 | 2,19 | 9,8776 |
| 2 | 0,9 | 1,90 | 9,8423 |
| 3 | 1,3 | 2,29 | 9,7866 |
| Giá trị trung bình | 9,8355 ≈ 9,84 |
Từ công thức:
Giá trị trung bình:
Do đó: g = 9,84 ± 0,0455 m/s2.
C. Bài tập bổ sung
Câu 1: Dùng một thước có chia độ đến milimet đo 5 lần khoảng cách d giữa hai điểm A và B đều cho cùng một giá trị là 1,345 m. Lấy sai số dụng cụ là một độ chia nhỏ nhất. Kết quả đo được viết là
A. d = (1345 ± 2) mm.
B. d = (1,345 ± 0,001) m.
C. d = (1345 ± 3) mm.
D. d = (1,345 ± 0,0005) m.
Câu 2: Kết quả đo điện trở R được viết dưới dạng: R = (40 ± 1) Ω. Sai số tỉ đối của phép đo là
A. 1,0 %.
B. 4,0 %.
C. 5,0 %.
D. 2,5 %.
Câu 3: Những phát biểu nào sau đây là đúng? Nguyên nhân gây ra sai số của các phép đo có thể là do
1. Dụng cụ đo. 2. Quy trình đo. 3. Chủ quan của người đo.
A. Chỉ có 1 đúng.
B. Chỉ có 2 đúng.
C. 1 và 3 đúng.
D. Cả 1, 2, 3 đều đúng.
Câu 4: Vôn kế có cấp chính xác là 1. Nếu dùng thang đó 100 V để đo hiệu điện thế thì sai số dụng cụ là
A. 1 V.
B. 0,5 V.
C. 2 V.
D. 1,5 V.
Câu 5: Trong giờ thực hành một học sinh dùng vôn kế lý tưởng để đo điện áp hai đầu điện trở R và điện áp hai đầu tụ C của một đoạn mạch R, C nối tiếp. Kết quả đo: UR = 14,0 ± 1,0 (V); = 48,0 ± 1,0 (V). Điện áp hiệu dụng hai đầu đoạn mạch RC bằng
A. 62,0 ± 2,0 V.
B. 50,0 ± 1,0 V.
C. 50,0 ± 1,2 V.
D. 50,0 ± 2,0 V.
Câu 6: Tốc độ kế là dụng cụ để đo
A. tốc độ.
B. nhiệt độ.
C. áp suất.
D. tần số.
Câu 7: Số liệu nào trong các số liệu sau đây là kém chính xác nhất? Số học sinh của tỉnh X dự thi đại học có khoảng
A. 2,14.103 học sinh.
B. 2,1.103 học sinh.
C. 2.103 học sinh.
D. 2140 học sinh.
Câu 8: Kết quả sai số tuyệt đối của một phép đo là 0,0609. Số chữ số có nghĩa là
A. 1
B. 2
C. 4
D. 3
Câu 9: Cho con lắc lò xo đặt tại nơi có gia tốc trọng trường đã biết. Bộ dụng cụ không thể dùng để đo độ cứng của lò xo là
A. thước và cân
B. lực kế và thước
C. đồng hồ và cân
D. lực kế và cân
Câu 10: Một học sinh dùng cân và đồng hồ bấm giây để đo độ cứng của lò xo. Dùng cân để cân vật nặng và cho kết quả khối lượng m = 100g ± 2%. Gắn vật vào lò xo và kích thích cho con lắc dao động rồi dùng đồng hồ bấm giây đo thời gian t của một dao động, kết quả t = 2s ± 1%. Bỏ qua sai số của số pi (π). Sai số tương đối của phép đo độ cứng lò xo là
A. 4%
B. 2%
C. 3%
D. 1%
(199k) Xem Khóa học Vật Lí 12 KNTTXem Khóa học Vật Lí 12 CDXem Khóa học Vật Lí 12 CTST
Xem thêm các dạng bài tập Vật Lí lớp 12 ôn thi Tốt nghiệp có lời giải hay khác:
Đã có app VietJack trên điện thoại, giải bài tập SGK, SBT Soạn văn, Văn mẫu, Thi online, Bài giảng....miễn phí. Tải ngay ứng dụng trên Android và iOS.
Theo dõi chúng tôi miễn phí trên mạng xã hội facebook và youtube:Nếu thấy hay, hãy động viên và chia sẻ nhé! Các bình luận không phù hợp với nội quy bình luận trang web sẽ bị cấm bình luận vĩnh viễn.
- Giải Tiếng Anh 12 Global Success
- Giải sgk Tiếng Anh 12 Smart World
- Giải sgk Tiếng Anh 12 Friends Global
- Lớp 12 Kết nối tri thức
- Soạn văn 12 (hay nhất) - KNTT
- Soạn văn 12 (ngắn nhất) - KNTT
- Giải sgk Toán 12 - KNTT
- Giải sgk Vật Lí 12 - KNTT
- Giải sgk Hóa học 12 - KNTT
- Giải sgk Sinh học 12 - KNTT
- Giải sgk Lịch Sử 12 - KNTT
- Giải sgk Địa Lí 12 - KNTT
- Giải sgk Giáo dục KTPL 12 - KNTT
- Giải sgk Tin học 12 - KNTT
- Giải sgk Công nghệ 12 - KNTT
- Giải sgk Hoạt động trải nghiệm 12 - KNTT
- Giải sgk Giáo dục quốc phòng 12 - KNTT
- Giải sgk Âm nhạc 12 - KNTT
- Giải sgk Mĩ thuật 12 - KNTT
- Lớp 12 Chân trời sáng tạo
- Soạn văn 12 (hay nhất) - CTST
- Soạn văn 12 (ngắn nhất) - CTST
- Giải sgk Toán 12 - CTST
- Giải sgk Vật Lí 12 - CTST
- Giải sgk Hóa học 12 - CTST
- Giải sgk Sinh học 12 - CTST
- Giải sgk Lịch Sử 12 - CTST
- Giải sgk Địa Lí 12 - CTST
- Giải sgk Giáo dục KTPL 12 - CTST
- Giải sgk Tin học 12 - CTST
- Giải sgk Hoạt động trải nghiệm 12 - CTST
- Giải sgk Âm nhạc 12 - CTST
- Lớp 12 Cánh diều
- Soạn văn 12 Cánh diều (hay nhất)
- Soạn văn 12 Cánh diều (ngắn nhất)
- Giải sgk Toán 12 Cánh diều
- Giải sgk Vật Lí 12 - Cánh diều
- Giải sgk Hóa học 12 - Cánh diều
- Giải sgk Sinh học 12 - Cánh diều
- Giải sgk Lịch Sử 12 - Cánh diều
- Giải sgk Địa Lí 12 - Cánh diều
- Giải sgk Giáo dục KTPL 12 - Cánh diều
- Giải sgk Tin học 12 - Cánh diều
- Giải sgk Công nghệ 12 - Cánh diều
- Giải sgk Hoạt động trải nghiệm 12 - Cánh diều
- Giải sgk Giáo dục quốc phòng 12 - Cánh diều
- Giải sgk Âm nhạc 12 - Cánh diều


Giải bài tập SGK & SBT
Tài liệu giáo viên
Sách
Khóa học
Thi online
Hỏi đáp

