50 bài tập trắc nghiệm Cực trị của dòng điện xoay chiều có lời giải (phần 2)
Với 50 bài tập trắc nghiệm Cực trị của dòng điện xoay chiều (phần 2) có lời giải chi tiết sẽ giúp học sinh ôn tập, biết cách làm bài tập trắc nghiệm Cực trị của dòng điện xoay chiều có lời giải (phần 2).
50 bài tập trắc nghiệm Cực trị của dòng điện xoay chiều có lời giải (phần 2)
(199k) Xem Khóa học Vật Lí 12 KNTTXem Khóa học Vật Lí 12 CDXem Khóa học Vật Lí 12 CTST
Câu 26. Một đoạn mạch không phân nhánh gồm: điện trở thuần 100Ω, cuộn dây thuần cảm có độ tự cảm 12,5 mH và tụ điện có điện dung 1 μF. Đặt vào hai đầu mạch điện một điện áp xoay chiều có giá trị hiệu dụng 200V và có tần số thay đổi được. Giá trị cực đại của điện áp hiệu dụng trên cuộn cảm là
A. 300 (V) B. 200 (V)
C. 100 (V) D. 250 (V)
Lời giải:
Chọn D
Câu 27. Cho đoạn mạch MN theo thứ tự gồm điện trở R mắc nối tiếp với cuộn thuần cảm L nối tiếp với tụ điện có điện dung C thay đổi được. Gọi A là điểm nối L với C. Đặt vào 2 đầu đoạn mạch điện áp xoay chiều uMN = 100√2cos(100πt + φ) V. Thay đổi C để điện áp hiệu dụng trên đoạn AM cực đại thì biểu thức điện áp trên đó là uMA = 200√2cos100πt V. Nếu thay đổi C để điện áp hiệu dụng trên tụ cực đại thì lập biểu thức điện áp trên đoạn MA là
Lời giải:
Chọn A
Câu 28. Đặt điện áp xoay chiều vào hai đầu đoạn mạch nối tiếp gồm điện trở R, cuộn cảm thuần L và tụ điện có điện dung C thay đổi được. Khi C thay đổi thì điện áp hiệu dụng cực đại trên R, L và C lần lượt là x, y và z. Nếu x/y = √5 thì z/x bằng
A. 0,5√5 B. 0,75√2 C. 0,75 D. 2√2
Lời giải:
Chọn A
Câu 29. Đặt điện áp u = 125√2cosωt (V), ω thay đổi được vào đoạn mạch nối tiếp AMB. Đoạn mạch AM gồm điện trở R nối tiếp tụ điện, đoạn mạch MB chứa cuộn dây có điện trở r. Biết điện áp trên đoạn AM luôn vuông pha với điện áp trên đoạn MB và r = R. Với hai giá trị ω = 100π rad/s và ω = 56,25π rad/s thì mạch AB có cùng hệ số công suất và giá trị đó bằng
A. 0,96 B. 0,85 C. 0,91 D. 0,82
Lời giải:
Chọn A
Câu 30. Cho mạch điện nối tiếp gồm cuộn dây thuần cảm có độ tự cảm L thay đổi được, tụ điện C và điện trở R. Điện áp đặt vào hai đầu đoạn mạch u = 10√6cos100πt (V). Khi điện áp hiệu dụng trên cuộn dây đạt giá trị cực đại UL max thì điện áp hiệu dụng trên đoạn mạch chứa RC là 100 (V). Giá trị UL max là
A. 100 (V) B. 150 (V)
C. 300 (V) D. 200 (V)
Lời giải:
Chọn D
Câu 31. Cho mạch điện xoay chiều RLC với R là biến trở và cuộn dây có điện trở r = 10 Ω. Khi R = 15 Ω hoặc R = 39 Ω công suất của toàn mạch là như nhau. Để công suất toàn mạch cực đại thì R bằng
A. 27 Ω B. 25 Ω C. 32 Ω D. 36 Ω
Lời giải:
Chọn B
Câu 32. Hai đoạn mạch nối tiếp RLC khác nhau: mạch 1 và mạch 2, cộng hưởng với dòng điện xoay chiều có tần số góc lần lượt là ω0 và 2ω0. Biết độ tự cảm của mạch 2 gấp ba độ tự cảm của mạch 1. Nếu mắc nối tiếp hai đoạn mạch đó với nhau thành một mạch thì nó sẽ cộng hưởng với dòng điện xoay chiều có tần số góc là
A. ω0√3 B. 1,5ω0
C. ω0√13 D. 0,5ω0√13
Lời giải:
Chọn D
Điều kiện cộng hưởng
Câu 33. Đặt điện áp xoay chiều vào hai đầu đoạn mạch nối tiếp gồm điện trở R, cuộn cảm thuần L và tụ điện có điện dung C thay đổi được. Các vôn kế lí tưởng V1 và V2 mắc lần lượt vào hai đầu R và hai đầu C. Khi C thay đổi để số chỉ V1 cực đại thì giá trị này gấp số chỉ của V2. Hỏi khi số chỉ V2 cực đại thì số chỉ này gấp mấy lần số chỉ V1 lúc này?
A. 2,24 B. 1,24 C. 1,75 D. 0,5√5
Lời giải:
Chọn A
Câu 34. Một đoạn mạch xoay chiều mắc nối tiếp gồm cuộn dây có điện trở thuần 40 (Ω), có cảm kháng 60 (Ω), tụ điện có dung kháng 80 (Ω) và một biến trở R (0 ≤ R ≤ ∞). Điện áp ở hai đầu đoạn mạch ổn định 200 V – 50 Hz. Khi thay đổi R thì công suất toả nhiệt trên toàn mạch đạt giá trị cực đại là
A. 1000 (W). B. 144 (W).
C. 800 (W). D. 125 (W).
Lời giải:
Chọn C
Câu 35. Đặt điện áp xoay chiều vào hai đầu đoạn mạch nối tiếp gồm điện trở, cuộn cảm thuần và tụ điện có dung kháng ZC thay đổi. Gọi UC max là giá trị cực đại của điện áp hiệu dụng trên tụ. Điều chỉnh ZC lần lượt bằng 50 Ω, 150 Ω và 100 Ω thì điện áp hiệu dụng trên tụ lần lượt bằng UC1, UC2 và UC3. Nếu UC1 = UC2 = a thì
A. UC3 = UC max B. UC3 > a
C. UC3 < a D. UC3 = 0,5UC max
Lời giải:
Chọn B
Câu 36. Đặt điện áp xoay chiều có tần số thay đổi được vào hai đầu đoạn mạch RLC nối tiếp. Khi ω thay đổi thì một giá trị ω0 làm cho cường độ hiệu dụng trong mạch đạt giá trị cực đại là Imax và hai giá trị ω1 và ω2 với ω1 - ω2 = 300π (rad/s) thì cường độ hiệu dụng trong mạch đạt giá trị đều bằng Imax/√2. Cho L = 1/(3π) H, tính R.
A. R = 30 Ω B. R = 60 Ω
C. R = 90 Ω D. R = 100 Ω
Lời giải:
Chọn D
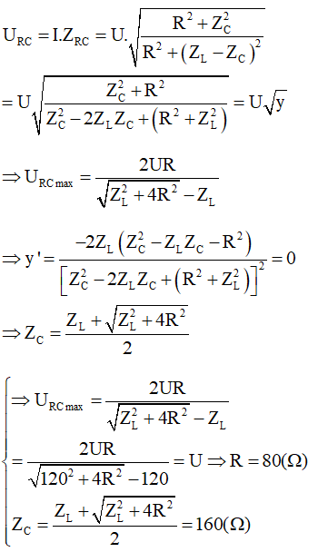
Câu 37. Đặt điện áp u = U√2cos100πt (V) vào hai đầu đoạn mạch mắc nối tiếp theo đúng thứ tự gồm cuộn cảm thuần có cảm kháng 120 Ω, điện trở thuần R và tụ điện có điện dung C thay đổi. Khi C = C0 thì điện áp hiệu dụng trên đoạn mạch chứa RC đạt cực đại và giá trị cực đại đó bằng 2U. Dung kháng của tụ lúc này là
A. 160 Ω B. 100 Ω C. 150 Ω D. 200 Ω
Lời giải:
Chọn A
Câu 38. Cho đoạn mạch AB mắc nối tiếp gồm tụ điện, cuộn cảm và biến trở R. Điện áp xoay chiều giữa hai đầu đoạn mạch luôn ổn định. Khi R = 76 Ω công suất tiêu thụ trên biến trở có giá trị lớn nhất và bằng P0. Khi R = R2 công suất tiêu thụ của mạch AB có giá trị lớn nhất và bằng 2P0. Giá trị của R2 bằng
A. 45,6 Ω B. 60,8 Ω
C. 15,2 Ω D. 12,4 Ω
Lời giải:
Chọn B
Câu 39. Đặt điện áp xoay chiều 220 V – 50 Hz vào hai đầu đoạn mạch nối tiếp gồm điện trở 50 Ω, cuộn cảm thuần có cảm kháng 100 Ω và tụ điện có dung kháng ZC thay đổi. Điều chỉnh ZC lần lượt bằng 50 Ω, 100 Ω, 180 Ω và 200 Ω thì điện áp hiệu dụng trên tụ lần lượt bằng UC1, UC2, UC3 và UC4. Trong số Các điện áp hiệu dụng nói trên giá trị lớn nhất là
A. UC1 B. UC2 C.UC3 D. UC4
Lời giải:
Chọn B
Câu 40. Đoạn mạch nối tiếp AB gồm tụ điện có điện dung 1/(6π) mF, cuộn cảm có độ tự cảm L = 0,3/π có điện trở r = 10 Ω và 1 biến trở R. Đặt vào điện áp xoay chiều có tần số f thay đổi. Khi f = 50 Hz , thay đổi R thì điện áp hiệu dụng trên tụ cực đại là U1. Khi R = 30 Ω, thay đổi f thì điện áp hiệu dụng trên tụ cực đại là U2. Tỉ số U1/U2 bằng
A. 1,58 B. 3,15 C. 0,79 D. 6,29
Lời giải:
Chọn A
Câu 41. Cho mạch điện xoay chiều RLC với R là biến trở và cuộn dây có điện trở thuần r = 10 Ω. Khi R = 15 Ω hoặc R = 39 Ω công suất của toàn mạch là như nhau. Để công suất toàn mạch cực đại thì R bằng
A. 27 Ω B. 25 Ω C. 32 Ω D. 36 Ω
Lời giải:
Chọn B
Câu 42. Đặt điện áp u = U√2cosωt (V) vào hai đầu đoạn mạch mắc nối tiếp theo đúng thứ tự gồm cuộn cảm và tụ điện có dung kháng ZC thay đổi. Khi ZC = ZC1 thì điện áp hiệu dụng trên tụ đạt cực đại và giá trị cực đại đó bằng 500 (V). Khi ZC = 0,4ZC1 thì dòng điện trễ pha π/4 so với điện áp hai đầu đoạn mạch. Giá trị U bằng
A. 100√5 (V) B. 50√5 (V)
C. 100 (V) D. 50 (V)
Lời giải:
Chọn A
Câu 43. Một đoạn mạch R-L-C mắc nối tiếp. Đặt vào hai đầu đoạn mạch một điện áp xoay chiều có giá trị hiệu dụng U, tần số thay đổi được. Tại tần số 80 Hz điện áp hai đầu cuộn dây thuần cảm cực đại, tại tần số 50 Hz điện áp hai bản tụ cực đại. Để công suất trong mạch cực đại ta cần điều chỉnh tần số đến giá trị
A. 10√3 Hz B. 20√10 Hz
C. 10√40 Hz D. 10 Hz
Lời giải:
Chọn B
Câu 44. Đặt điện áp xoay chiều vào hai đầu đoạn mạch AB nối tiếp gồm điện trở R, cuộn dây cảm thuần L = 2/π H và tụ điện có điện dung C thay đổi được. Khi C = C1 = 0,1/π mF thì dòng điện trễ pha π/4 so với điện áp hai đầu đoạn mạch. Khi C = C1/2,5 thì điện áp hiệu dụng giữa hai tụ cực đại. Tính tần số góc của dòng điện.
A. 200π rad/s B. 50π rad/s
C. 100π rad/s D. 10π rad/s
Lời giải:
Chọn C
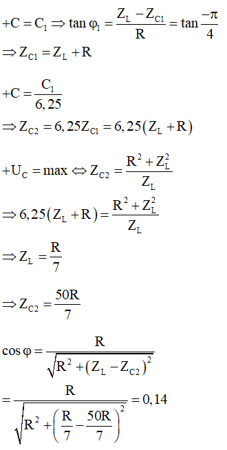
Câu 45. Đặt điện áp xoay chiều vào hai đầu đoạn mạch AB nối tiếp gồm điện trở R, cuộn dây cảm thuần L và tụ điện có điện dung C thay đổi được. Khi C = C1 thì dòng điện sớm pha π/4 so với điện áp giữa hai đầu đoạn mạch. Khi C = C1/6,25 thì điện áp hiệu dụng giữa hai tụ cực đại. Tính hệ số công suất mạch AB khi đó.
A. 0,14 B. 0,71 C. 0,8 D. 0,9
Lời giải:
Chọn A
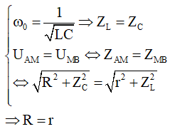
Câu 46. Đặt điện áp xoay chiều u = U0cosωt ( U0 không đổi và ω thay đổi được) vào hai đầu đoạn mạch gồm điện trở thuần R, cuộn cảm thuần có độ tự cảm L và tụ điện có điện dung C mắc nối tiếp, với CR2 < 2L. Khi ω = ω1 hoặc ω = ω2 = 2ω1 thì điện áp hiệu dụng giữa hai bản tụ điện có cùng một giá trị. Khi ω = 50 rad/s thì điện áp hiệu dụng giữa hai bản tụ điện đạt cực đại. Tính ω1.
A. 25/√2 rad/s B. 10√10 rad/s
C. 100/3 rad/s D. 12,5√10 rad/s
Lời giải:
Chọn B
Câu 47. Đoạn mạch nối tiếp gồm điện trở, tụ điện có điện dung 0,1/π mF và cuộn cảm thuần có độ tự cảm 1/π H. Nếu đặt một trong Các điện áp xoay chiều sau đây vào hai đầu đoạn mạch trên thì cường độ hiệu dụng trong mạch lớn nhất ứng với điện áp nào?
A. u = U0cos(105πt) V B. u = U0cos(85πt) V
C. u = U0cos(95πt) V D. u = U0cos(70πt) V
Lời giải:
Chọn C
Câu 48. Một đoạn mạch AB gồm đoạn AM và MB mắc nối tiếp. Đoạn AM gồm tụ điện C nối tiếp với điện trở R, còn đoạn MB chỉ có cuộn cảm L. Đặt vào AB một điện áp xoay chiều chỉ có tần số góc ω thay đổi được thì điện áp tức thời trên AM và trên MB luôn luôn lệch pha nhau π/2. Khi mạch cộng hưởng thì điện áp trên AM và MB có cùng giá trị hiệu dụng. Khi ω = ω1 thì điện áp trên AM có giá trị hiệu dụng U1 và trễ pha so với điện áp trên AB một góc α1. Khi ω = ω2 thì điện áp hiệu dụng trên AM là U2 và điện áp thời trên AM lại trễ pha hơn điện áp trên AB một góc α2. Biết α1 + α2 = π/2 và U1 = 0,75U2. Tính hệ số công suất của mạch ứng với ω1 và ω2.
A. 0,75 và 0,75 B. 0,45 và 0,75
C. 0,75 và 0,45 D. 0,96 và 0,96
Lời giải:
Chọn D
Câu 49. Một mạch xoay chiều RLC nối tiếp chỉ có tần số f dòng điện thay đổi được. Khi f = 12,5 Hz và f = 50 Hz thì công suất tiêu thụ của mạch như nhau. Thay đổi f sao cho công suất toàn mạch lớn nhất thì trong thời gian 1 s có bao nhiêu lần cường độ dòng điện qua mạch bằng 0?
A. 50 B. 15 C. 25 D. 75
Lời giải:
Chọn A
Câu 50. Đặt điện áp xoay chiều có giá trị hiệu dụng không đổi, tần số thay đổi được vào hai đầu đoạn mạch RLC mắc nối tiếp với 2L > CR2. Khi f = f1 = 30Hz hoặc f = f2 = 150Hz thì điện áp hiệu dụng hai đầu cuộn cảm cùng giá trị. Khi f = f3 = 50Hz hoặc f = f4 = 200Hz thì điện áp hiệu dụng hai đầu tụ điện có cùng giá trị. Để UR max thì tần số có giá trị bằng
A. 90Hz. B. 72Hz C. 86Hz. D. 122Hz
Lời giải:
Ta có:
Lấy hình 2 xoay 180° rồi ghép với hình 1 ta có hình 3.
Vì α1 + α2 = π/2 ⇒ tứ giác trong hình 3 là hình chữ nhật, nên:
Tương tự: cosφ' = 0,96. Chọn A
(199k) Xem Khóa học Vật Lí 12 KNTTXem Khóa học Vật Lí 12 CDXem Khóa học Vật Lí 12 CTST
Xem thêm các dạng bài tập Vật Lí lớp 12 ôn thi Tốt nghiệp có lời giải hay khác:
Đã có app VietJack trên điện thoại, giải bài tập SGK, SBT Soạn văn, Văn mẫu, Thi online, Bài giảng....miễn phí. Tải ngay ứng dụng trên Android và iOS.
Theo dõi chúng tôi miễn phí trên mạng xã hội facebook và youtube:Nếu thấy hay, hãy động viên và chia sẻ nhé! Các bình luận không phù hợp với nội quy bình luận trang web sẽ bị cấm bình luận vĩnh viễn.
- Giải Tiếng Anh 12 Global Success
- Giải sgk Tiếng Anh 12 Smart World
- Giải sgk Tiếng Anh 12 Friends Global
- Lớp 12 Kết nối tri thức
- Soạn văn 12 (hay nhất) - KNTT
- Soạn văn 12 (ngắn nhất) - KNTT
- Giải sgk Toán 12 - KNTT
- Giải sgk Vật Lí 12 - KNTT
- Giải sgk Hóa học 12 - KNTT
- Giải sgk Sinh học 12 - KNTT
- Giải sgk Lịch Sử 12 - KNTT
- Giải sgk Địa Lí 12 - KNTT
- Giải sgk Giáo dục KTPL 12 - KNTT
- Giải sgk Tin học 12 - KNTT
- Giải sgk Công nghệ 12 - KNTT
- Giải sgk Hoạt động trải nghiệm 12 - KNTT
- Giải sgk Giáo dục quốc phòng 12 - KNTT
- Giải sgk Âm nhạc 12 - KNTT
- Giải sgk Mĩ thuật 12 - KNTT
- Lớp 12 Chân trời sáng tạo
- Soạn văn 12 (hay nhất) - CTST
- Soạn văn 12 (ngắn nhất) - CTST
- Giải sgk Toán 12 - CTST
- Giải sgk Vật Lí 12 - CTST
- Giải sgk Hóa học 12 - CTST
- Giải sgk Sinh học 12 - CTST
- Giải sgk Lịch Sử 12 - CTST
- Giải sgk Địa Lí 12 - CTST
- Giải sgk Giáo dục KTPL 12 - CTST
- Giải sgk Tin học 12 - CTST
- Giải sgk Hoạt động trải nghiệm 12 - CTST
- Giải sgk Âm nhạc 12 - CTST
- Lớp 12 Cánh diều
- Soạn văn 12 Cánh diều (hay nhất)
- Soạn văn 12 Cánh diều (ngắn nhất)
- Giải sgk Toán 12 Cánh diều
- Giải sgk Vật Lí 12 - Cánh diều
- Giải sgk Hóa học 12 - Cánh diều
- Giải sgk Sinh học 12 - Cánh diều
- Giải sgk Lịch Sử 12 - Cánh diều
- Giải sgk Địa Lí 12 - Cánh diều
- Giải sgk Giáo dục KTPL 12 - Cánh diều
- Giải sgk Tin học 12 - Cánh diều
- Giải sgk Công nghệ 12 - Cánh diều
- Giải sgk Hoạt động trải nghiệm 12 - Cánh diều
- Giải sgk Giáo dục quốc phòng 12 - Cánh diều
- Giải sgk Âm nhạc 12 - Cánh diều


Giải bài tập SGK & SBT
Tài liệu giáo viên
Sách
Khóa học
Thi online
Hỏi đáp

