50 bài tập trắc nghiệm Cực trị của dòng điện xoay chiều có lời giải (phần 1)
Với 50 bài tập trắc nghiệm Cực trị của dòng điện xoay chiều (phần 1) có lời giải chi tiết sẽ giúp học sinh ôn tập, biết cách làm bài tập trắc nghiệm Cực trị của dòng điện xoay chiều có lời giải (phần 1).
50 bài tập trắc nghiệm Cực trị của dòng điện xoay chiều có lời giải (phần 1)
(199k) Xem Khóa học Vật Lí 12 KNTTXem Khóa học Vật Lí 12 CDXem Khóa học Vật Lí 12 CTST
Câu 1. Một đoạn mạch mắc nối tiếp gồm cuộn dây có điện trở thuần 15 Ω, độ tự cảm L = 0,3/π tụ điện có điện dung 1/π (mF) và một biến trở R. Điện áp ở hai đầu đoạn mạch ổn định 100 V – 50 Hz. Khi thay đổi R thì công suất tỏa nhiệt trên biến trở đạt giá trị cực đại là
A. 160 W B. 144 W C. 80 W D. 125 W .
Lời giải:
Ta có : ZL = 30Ω, r = 15 Ω, ZC = 10 Ω.
Khi thay đổi R thì công suất tỏa nhiệt trên biến trở đạt cực đại là:
Chọn D.
Câu 2. Một mạch RLC mắc nối tiếp gồm điện trở R, cuộn cảm thuần L và tụ C. Đặt vào hai đầu mạch điện áp xoay chiều rồi điều chỉnh R đến khi công suất tiêu thụ của mạch cực đại. Khi đó độ lệch pha giữa điện áp ở hai đầu mạch và cường độ dòng điện có độ lớn là
A. π/2 B. π/3 C. π/4 D. π/6
Lời giải:
Khi Pmax thì R = |ZL - ZC| ⇒ tan|φ| = 1 ⇒ |φ| = π/4 . Chọn C.
Câu 3. Một mạch xoay chiều mắc nối tiếp gồm biến trở R, cuộn cảm thuần có độ tự cảm L và tụ điện có điện dung C. Điều chỉnh R đến khi công suất tiêu thụ của mạch cực đại thì tỉ số giữa điện áp hiệu dụng trên R và điện áp hiệu dụng trên toàn mạch là
A. 0,5 B. 1/√2 C. (√2)/4 D. (√2)/3
Lời giải:
Khi thay đổi R để Pmax thì
Chọn B.
Câu 4. Một đoạn điện xoay chiều nối tiếp gồm biến trở R, cuộn dây thuần cảm có cảm kháng ZL và tụ điện có dung kháng ZC. Điện áp đặt vào hai đầu đoạn mạch u = U0cosπt (V). Khi thay đổi R, công suất tiêu thụ của mạch lớn nhất bằng
Lời giải:
Khi thay đổi R để Pmax thì
Chọn D.
Câu 5. Một đoạn mạch gồm biến trở R mắc nối tiếp với một tụ điện C, điện áp giữa 2 đầu đoạn mạch có biểu thức u = Ucosωt (V). Điều chỉnh R đến giá trị để công suất tỏa nhiệt trên biến trở đạt cực đại. Tính công suất cực đại đó
A. ωCU2/2 B. ωCU2/√2
C. ωCU2 D. 0,25ωCU2
Lời giải:
Điều chỉnh R đến giá trị để công suất tỏa nhiệt trên biến trở đạt cực đại.
Chọn D.
Câu 6. Cho một đoạn mạch nối tiếp gồm một cuộn dây thuần cảm có độ tự cảm 1/π (H), tụ điện có điện dung không thay đổi C và một biến trở R. Đặt vào hai đầu đoạn mạch một điện áp xoay chiều ổn định có giá trị hiệu dụng 200 V, tần số 50 Hz. Thay đổi giá trị của biến trở R thấy công suất tiêu thụ cực đại trong đoạn mạch là 200 W. Điện dung C trong mạch có giá trị
A. 10/π (μF) B. 100/π (μF)
C. 25/π (μF) D. 50/π (μF)
Lời giải:
Thay đổi R để công suất tiêu thụ trên mạch cực đại ⇒ R = |ZL - ZC|
Chọn D
Câu 7. Cho một mạch gồm biến trở R, cuộn dây không thuần cảm và tụ điện C có dung kháng ZC < ZL. Khi điều chỉnh R thì ta thấy với R = 100 Ω thì công suất tiêu thụ trên R là lớn nhất và khi đó dòng điện lệch pha góc π/6 so với điện áp hai đầu mạch. Giá trị điện trở r của cuộn dây là
A. 50 Ω. B. 100 Ω.
C. 50√3 Ω D. 50√2 Ω
Lời giải:
Ta có:
Chọn A.
Câu 8. Cho một mạch gồm biến trở R, cuộn dây không thuần cảm có điện trở r. Khi điều chỉnh R thì với R = 20 Ω thì công suất tiêu thụ trên R là lớn nhất và khi đó điện áp hai đầu cuộn dây lệch pha góc π/3 so với điện áp hai đầu điện trở. Phải điều chỉnh R đến giá trị bằng bao nhiêu thì công suât tiêu thụ trên mạch cực đại?
A. 10 Ω. B. 7,3 Ω. C. 10√3 Ω D. 10√2 Ω
Lời giải:
Ta có: tan(φud - φuR) = ZL/r = √3 ⇒ ZL = r√3.
Để công suất tiêu thụ trên R lớn nhất:
Để công suất trên mạch lớn nhất: R + r = ZL = r√3 ⇒ R = 7,3 (Ω). Chọn B.
Câu 9. Cho một mạch gồm biến trở R, cuộn dây không thuần cảm có điện trở r và tụ C mắc nối tiếp. Điều chỉnh R để công suất tiêu thụ trên R là lớn nhất, khi đó điện áp hai đầu đoạn mạch lớn gấp 1,5 lần điện áp hai đầu điện trở. Hệ số công suất của mạch khi đó là
A. 0,75. B. 0,67. C. 0,5. D. 0,71.
Lời giải:
Để công suất tiêu thụ trên R lớn nhất: .
Chọn A.
Câu 10. Cho một mạch gồm biến trở R, cuộn dây không thuần cảm có điện trở r = 2 Ω và tụ C. Đặt vào hai đầu mạch điện áp xoay chiều u = 20√2cos(100πt) V. Điều chỉnh R để công suất tiêu thụ trên R là lớn nhất và có giá trị bằng 8 W, giá trị của R khi đó là
A. 8 Ω. B. 3 Ω. C. 18 Ω. D. 23 Ω.
Lời giải:
Để công suất tiêu thụ trên R lớn nhất:
Chọn D.
Câu 11. Cho mạch điện gồm RLC mắc nối tiếp, tần số góc ω có thể thay đổi. Khi điều chỉnh cho ω nhận các giá trị lần lượt bằng 40; 50; 54; 56; 60 rad/s thì công suất tiêu thụ trên mạch nhận giá trị tương ứng P1; P2; P3; P4; P5. Biết rằng P1 = P4, tính giá trị lớn nhất trong các giá trị P ở trên?
A. P2 B. P3 C. P4 D. P5
Lời giải:
Gọi ω1; ω2 là hai giá trị làm cho P không đổi, khi đó
Gọi ω0 là giá trị làm cho P đạt max, khi đó
Do đó P2 là giá trị lớn nhất. Chọn A.
Câu 12. Đặt điện áp xoay chiều u = U0cos(ωt) có U0 không đổi và ω thay đổi được vào hai đầu đoạn mạch có R, L, C mắc nối tiếp. Khi điện áp hiệu dụng giữa hai đầu C đạt được giá trị lớn nhất (hữu hạn) thì giá trị của tần số ω là
Lời giải:
Khi ω thay đổi để UL max thì
Khi ω thay đổi để UC max thì ω = ω2.
Ta có:
Chọn D.
Câu 13. Cho mạch điện xoay chiều AB gồm R, L, C mắc nối tiếp, với là biến trở, L và C không đổi. Điện áp hai đầu đoạn mạch AB là uAB = 100√2cos(πt) V. Gọi R0 là giá trị của biến trở để công suất cực đại. Gọi R1, R2 là 2 giá trị khác nhau của biến trở sao cho công suất của mạch là như nhau. Mối liên hệ giữa hai đại lượng này là:
A. R1R2 = R02. B. R1R2 = 3R02.
C. R1R2 = 4R02. D. R1R2 = 2R02.
Lời giải:
Ta có:
Để công suất tiêu thụ mạch lớn nhất thì R = |ZL - ZC|.
Do P không đổi nên R1, R2 là nghiệm của PT (1).
Theo Viet cho PT(1):
Chọn A.
Câu 14. Cho mạch điện gồm R, L, C mắc nối tiếp. Cho L = 1/π2 (H), C = 100 (μF). Đặt vào hai đầu mạch điện một điện áp xoay chiều u = 100cos(2πft) V, trong đó tần số f thay đổi được. Khi công suất trong mạch đạt giá trị cực đại thì tần số là
A. f = 100 Hz. B. f = 60 Hz.
C. f = 100π Hz. D. f = 50 Hz.
Lời giải:
Ta có:
Khi tần số f thay đổi thì đạt được khi xảy ra cộng hưởng và
Chọn D.
Câu 15. Cho mạch điện gồm RLC mắc nối tiếp với R = 50√3 Ω; L = 1/(2π) H; C = 10-4/(2π) F tần số f có thể thay đổi được. Điện áp hai đầu mạch có dạng u = 200√2cos(ωt) V. Thay đổi tần số để điện áp hiệu dụng UC max. Tính giá trị của UR khi đó?
A. UR = 175 (V) B. UR = 100√3 (V) C. UR = 100√3 (V) D. UR = 50 (V)
Lời giải:
Chọn A.
Câu 16. Cho đoạn mạch không phân nhánh RLC có R = 50√3 Ω, C = 10-4/π F, cuộn dây thuần cảm có độ tự cảm L thay đổi được. Điện áp hiệu dụng giữa hai đầu đoạn mạch là u = 200√2cos(100πt) V. Điều chỉnh L để điện áp hiệu dụng giữa hai đầu đoạn mạch RL cực đại thì giá trị của L là
Lời giải:
Ta có : ZC = 100 Ω.
Thay đổi L để
Chọn A.
Câu 17. Cho đoạn mạch không phân nhánh RLC, điện áp hai đầu mạch điện là u = 200√2cos(100πt - π/6) V , điện trở R = 100 Ω, cuộn dây thuần cảm có độ tự cảm L thay đổi được, tụ điện có C = 50/π (μF). Khi điện áp hiệu dụng hai đầu cuộn dây đạt giá trị cực đại thì độ tự cảm của cuộn dây và giá trị cực đại đó sẽ là
Lời giải:
Ta có: ZC = 200 Ω.
Thay đổi L để
Chọn A.
Câu 18. Cho đoạn mạch không phân nhánh RLC có R = 30√3 Ω; C = 5.10-4/(3π) F, cuộn dây thuần cảm có độ tự cảm L thay đổi được. Điện áp hiệu dụng giữa hai đầu đoạn mạch là u = 100√6cos(100πt + π/3) V.Điều chỉnh L để điện áp hiệu dụng giữa hai đầu đoạn mạch RL cực đại, giá trị đó bằng
A. 210 V B. 100 V C. 300 V D. 200 V.
Lời giải:
Ta có : ZC = 60 Ω.
Thay đổi L để
Chọn C.
Câu 19. Cho mạch điện xoay chiều AB gồm R, L, C mắc nối tiếp. Cuộn cảm thuần có độ tự cảm thay đổi được. Đặt vào hai đầu đoạn mạch AB một điện áp xoay chiều ổn định u = 50√10cos(100πt) (V). Điều chỉnh độ tự cảm để điện áp hiệu dụng hai đầu cuộn cảm đạt giá trị cực đại là UL max thì UC = 200 V. Giá trị UL max là
A. 150 V. B. 300 V. C. 100 V. D. 250 V.
Lời giải:
Chọn D.
Câu 20. Cho đoạn mạch không phân nhánh RLC có R = 50√3 Ω; C = 10-4/π F, cuộn dây thuần cảm có độ tự cảm L thay đổi được. Điện áp hiệu dụng giữa hai đầu đoạn mạch là u = 200√2cos(100πt) V.Điều chỉnh L để điện áp hiệu dụng giữa hai đầu đoạn mạch RL cực đại thì giá trị cực đại của điện áp URL là
A. 100√3 V B. 100/√3 V C. 200/√3 V D. 200√3 V
Lời giải:
Ta có : ZC = 100 Ω.
Thay đổi L để
Chọn D.
Câu 21. Cho một đoạn điện mạch gồm điện trở R một cuộn dây thuần cảm có cảm kháng ZL và có tụ xoay mắc nối tiếp. Đặt vào hai đầu đoạn mạch một điện áp xoay chiều có giá trị hiệu dụng không đổi. Khi dung kháng của tụ là ZC thì điện áp hiệu dụng giữa hai bản tụ cực đại, ta có:
A. ZL = ZC B. ZL = R + ZC
C. ZL = R - ZC D. ZCZL = R2 + ZL2
Lời giải:
Khi C thay đổi ta có :
Chọn D.
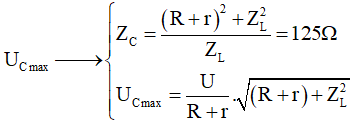
Câu 22. Cho mạch điện xoay chiều nối tiếp gồm: điện trở 20 Ω cuộn dây có cảm kháng 100 Ω có điện trở thuần 30 Ω và tụ xoay có điện dung. Để điện áp hiệu dụng giữa hai đầu tụ điện đạt giá trị cực đại dung kháng bằng
A. 104 Ω B. 125 Ω C. 120 Ω D. 20 Ω
Lời giải:
Khi C thay đổi ta có :
Chọn B.
Câu 23. Một cuộn dây có điện trở thuần 100 Ω có độ tự cảm 1/π H mắc nối tiếp với một tụ điện có điện dung thay đổi. Đặt vào hai đầu đoạn mạch một điện áp xoay chiều ổn định có tần số 50Hz. Tính điện dung của tụ để điện áp hiệu dụng trên nó cực đại.
A. 1/(2π) (mF) B. 0,1/(2π) (mF)
C. 1/π (mF) D. 0,1/π (mF)
Lời giải:
Ta có: ZL = 100 Ω.
Khi C thay đổi ta có :
Chọn B.
Câu 24. Một đoạn mạch điện xoay chiều R, L, C mắc nối tiếp vào nguồn có điện áp hiệu dụng không đổi, có tần số f = 55Hz hệ số tự cảm L = 0,3 H và điện trở R = 45 Ω. Điện dung có tụ xoay C bằng bao nhiêu để điện tích trên bản tụ điện đạt giá trị lớn nhất?
A. 23,5 μF B. 33,77 μF
C. 26,9 μF D. 27,9 μF
Lời giải:
Ta có:
Chọn D.
Câu 25. Trong mạch điện xoay chiều gồm R, L, C mắc nối tiếp. Cho L, R, ω không đổi. Thay đổi C đến khi C = C0 thì điện áp hiệu dụng giữa hai đầu cuôn cảm L đạt giá trị cực đại. Khi đó
Lời giải:
Thay đổi C ta có:
Chọn D.
(199k) Xem Khóa học Vật Lí 12 KNTTXem Khóa học Vật Lí 12 CDXem Khóa học Vật Lí 12 CTST
Xem thêm các dạng bài tập Vật Lí lớp 12 ôn thi Tốt nghiệp có lời giải hay khác:
Đã có app VietJack trên điện thoại, giải bài tập SGK, SBT Soạn văn, Văn mẫu, Thi online, Bài giảng....miễn phí. Tải ngay ứng dụng trên Android và iOS.
Theo dõi chúng tôi miễn phí trên mạng xã hội facebook và youtube:Nếu thấy hay, hãy động viên và chia sẻ nhé! Các bình luận không phù hợp với nội quy bình luận trang web sẽ bị cấm bình luận vĩnh viễn.
- Giải Tiếng Anh 12 Global Success
- Giải sgk Tiếng Anh 12 Smart World
- Giải sgk Tiếng Anh 12 Friends Global
- Lớp 12 Kết nối tri thức
- Soạn văn 12 (hay nhất) - KNTT
- Soạn văn 12 (ngắn nhất) - KNTT
- Giải sgk Toán 12 - KNTT
- Giải sgk Vật Lí 12 - KNTT
- Giải sgk Hóa học 12 - KNTT
- Giải sgk Sinh học 12 - KNTT
- Giải sgk Lịch Sử 12 - KNTT
- Giải sgk Địa Lí 12 - KNTT
- Giải sgk Giáo dục KTPL 12 - KNTT
- Giải sgk Tin học 12 - KNTT
- Giải sgk Công nghệ 12 - KNTT
- Giải sgk Hoạt động trải nghiệm 12 - KNTT
- Giải sgk Giáo dục quốc phòng 12 - KNTT
- Giải sgk Âm nhạc 12 - KNTT
- Giải sgk Mĩ thuật 12 - KNTT
- Lớp 12 Chân trời sáng tạo
- Soạn văn 12 (hay nhất) - CTST
- Soạn văn 12 (ngắn nhất) - CTST
- Giải sgk Toán 12 - CTST
- Giải sgk Vật Lí 12 - CTST
- Giải sgk Hóa học 12 - CTST
- Giải sgk Sinh học 12 - CTST
- Giải sgk Lịch Sử 12 - CTST
- Giải sgk Địa Lí 12 - CTST
- Giải sgk Giáo dục KTPL 12 - CTST
- Giải sgk Tin học 12 - CTST
- Giải sgk Hoạt động trải nghiệm 12 - CTST
- Giải sgk Âm nhạc 12 - CTST
- Lớp 12 Cánh diều
- Soạn văn 12 Cánh diều (hay nhất)
- Soạn văn 12 Cánh diều (ngắn nhất)
- Giải sgk Toán 12 Cánh diều
- Giải sgk Vật Lí 12 - Cánh diều
- Giải sgk Hóa học 12 - Cánh diều
- Giải sgk Sinh học 12 - Cánh diều
- Giải sgk Lịch Sử 12 - Cánh diều
- Giải sgk Địa Lí 12 - Cánh diều
- Giải sgk Giáo dục KTPL 12 - Cánh diều
- Giải sgk Tin học 12 - Cánh diều
- Giải sgk Công nghệ 12 - Cánh diều
- Giải sgk Hoạt động trải nghiệm 12 - Cánh diều
- Giải sgk Giáo dục quốc phòng 12 - Cánh diều
- Giải sgk Âm nhạc 12 - Cánh diều


Giải bài tập SGK & SBT
Tài liệu giáo viên
Sách
Khóa học
Thi online
Hỏi đáp

