50 bài tập trắc nghiệm Giao thoa ánh sáng có lời giải (phần 1)
Với 50 bài tập trắc nghiệm Giao thoa ánh sáng (phần 1) có lời giải chi tiết sẽ giúp học sinh ôn tập, biết cách làm bài tập trắc nghiệm Giao thoa ánh sáng (phần 1)
50 bài tập trắc nghiệm Giao thoa ánh sáng có lời giải (phần 1)
(199k) Xem Khóa học Vật Lí 12 KNTTXem Khóa học Vật Lí 12 CDXem Khóa học Vật Lí 12 CTST
Bài 1: (ĐH-2011): Trong thí nghiệm Y-âng về giao thoa ánh sáng, khe hẹp S phát ra đồng thời ba bức xạ đơn sắc có bước sóng là λ1 = 0,42 μm; λ2 = 0,56 μm và λ3 = 0,63 μm. Trên màn, trong khoảng giữa hai vân sáng liên tiếp có màu giống màu vân trung tâm, nếu vân sáng của hai bức xạ trùng nhau ta chỉ tính là một vân sáng thì số vân sáng quan sát được là
A. 27. B. 23. C. 26. D. 21.
Lời giải:
Chọn D.
Ta có λ1: λ2: λ3 = 6: 8: 9. Vị trí trùng nhau của 3 bức xạ ứng với k1λ1 = k2λ2 = k3λ3.
Suy ra: 6k1 = 8k2 = 9k3 = 72n. Hay k1 = 12; k2 = 9 ; k3 = 8.
Số vân trùng là bội của cặp (6,8) = 24;48;72 ; (6,9) = 18;36;54;72 ; (8,9) = 72
Tổng số vân quan sát được: 12 + 9 + 8 - 8 = 21.
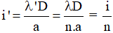
Bài 2: Trong giao thoa ánh sáng qua 2 khe Young, khoảng vân giao thoa bằng i. Nếu đặt toàn bộ thiết bị trong chất lỏng có chiết suất n thì khoảng vân giao thoa sẽ bằng
A.
B.
C.
D. n.i
Lời giải:
Chọn C.
Vận tốc ánh sáng truyền trong chất lỏng là v = c/n, (n là chiết suất của chất lỏng). Nên bước sóng ánh sáng trong nước là: λ’ = v/f = c/nf = λ/n. Khoảng vân quan sát trên màn khi toàn bộ thí nghiệm đặt trong chất lỏng:
Bài 3: Một nguồn sáng điểm nằm cách đều hai khe I-âng và phát ra đồng thời hai bức xạ đơn sắc có bước sóng λ1 = 0,6 μm và λ2 = 0,7 μm. Biết khoảng cách hai khe a = 0,2 mm và khoảng cách hai khe tới màn là D = 1m. Trong khoảng rộng L = 7,2cm trên màn, có bao nhiêu vạch sáng mà các bức xạ trên chồng khít lên nhau?
A. 4 B. 5 C. 2 D. 3
Lời giải:
Chọn D.
Vị trí các vân sáng cùng màu với vân trung tâm
x = k1i1 = k2i2 → k1λ1 = k2λ2 → 0,6k1 = 0,7k2 → 6k1 = 7k2
→ k1 = 7n; k2 = 6n (n nguyên, bằng 0)
Ta có: – 36 (mm) < x < 36 (mm) → -36 < 21n < 36 .
Suy ra n = -1; 0; 1: có 3 vân.
Bài 4: Trong thí nghiệm I-âng về giao thoa ánh sáng, khe hẹp S phát ra đồng thời hai bức xạ đơn sắc có bước sóng λ1 = 4410Å và λ2. Trên màn, trong khoảng giữa hai vân sáng liên tiếp có màu giống màu của vân trung tâm còn có chín vân sáng khác. Giá trị của λ2 bằng?
A. 5512,5Å. B. 3675,0Å.
C. 7717,5Å. D. 5292,0Å.
Lời giải:
Chọn D.
Gọi n là số vân sáng của bức xạ λ1 trong khoảng giữa hai vân sáng cùng màu với vân sáng trung tâm. Khi đó số vân sáng của bức xạ λ2 là (9 - n)
(n + 1)i1 = (10 - n)i2 → (n + 1)λ1 = (10- n)λ2
→ 4,09 ≤ n ≤ 5,96
→ n = 5 → λ2 = 0,5292 μm = 5292,0 Å.
Bài 5: Trong thí nghiệm I-âng về giao thoa ánh sáng, nguồn phát sáng đồng thời hai bức xạ đơn sắc, có bước sóng lần lượt là 0,72 μm và 0,45 μm. Hỏi trên màn quan sát, giũa hai vân sáng gần nhau nhất và cùng màu với vân sáng trung tâm, có bao nhiêu vân sáng khác màu vân trung tâm?
A. 10. B. 13. C. 12. D. 11.
Lời giải:
Chọn D.
Vị trí các vân sáng cùng màu với vân sáng trung tâm là vị trí vân sáng của hai bức xạ trùng nhau: k1i1 = k2i2 → k1λ1 = k2λ2 → 8k1 = 5k2
→ k1 = 5n; k2 = 8n với n = 0; ±1 ; ±2 ; ...
Hai vân sáng cùng màu vân trung tâm gần nhau nhất ứng với hai giá trị liên tiếp của n là
n = 0 và n = 1
+) Vân sáng bậc 5 của bức xạ λ1 giữa hai vân sáng này có 4 vân sáng của bức xạ thứ nhất
+) Vân sáng bậc 8 của bức xạ λ2 giữa hai vân sáng này có 7 vân sáng của bức xạ thứ hai
Vậy tổng cộng có 11 vân sáng khác màu với vân sáng trung tâm.
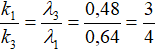
Bài 6: Trong thí nghiệm giao thoa Y-âng, khe S phát ra đồng thời 3 ánh sáng đơn sắc, có bước sóng tương ứng λ1 = 0,4 μm, λ2 = 0,48 μm và λ3 = 0,64 μm. Trên màn, trong khoảng giữa hai vân sáng liên tiếp có màu trùng với vân trung tâm, quan sát thấy số vân sáng không phải đơn sắc là:
A.11 B.9 C.44 D.35
Lời giải:
Chọn B.
Xét trong khoảng hai vân sáng liên tiếp có màu trùng với vân trung tâm (sự giao nhau của 3 bức xạ )
→ x = kλD/a với xmin → k1λ1 = k2λ2 = k3λ3
→ k1 = k3λ3/λ1 = 8k3/5 (1)
→ k2 = k3λ3/λ2 = 4k3/3 (2)
Ta có k3 = 15 → k1 = 24 và k2 = 20 (3)
Xét số vân trùng với hai bức xạ khác nhau trong khoảng xmin ở trên
Từ (1) số vân trùng của hai bức xạ λ1 và λ3
→ k31min = 5 ; k13min = 8 → ktrùng13 = k3max/k3min = 15/5 = 3
Từ (2) số vân trùng của hai bức xạ λ2 và λ3
→ k23min = 4 ; k32min = 3 → ktrùng23 = k23max/k23min = 20/4 = 5
Tính số vân trùng của hai bức xạ λ1 và λ2:
k1 = k2λ2/λ1 = 48k2/40 = 6k2/5 → k21min = 5 ;k12min = 6
→ ktrùng12 = k12max/k12min = 24/6 = 4 hay ktrùng12 = k21max/ k21min = 20/5 = 4
Tổng số vân sáng trên màn không phải đơn sắc trong khoảng giữa hai vân hai vân sáng liên tiếp có màu với vân trung tâm.
Như vậy là không tính vân trùng ở vị trí xmin tức là phải trừ đi 3:
N = ktrùng13 + ktrùng23 + ktrùng12 – 3 = 9.
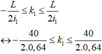
Bài 7: Trong thí nghiệm Y-âng về giao thoa ánh sáng. Nguồn phát ánh sáng trắng (0,38 μm ≤ λ ≤ 0,76 μm). Trên đoạn thẳng MN thuộc màn quan sát vuông góc với các vạch sáng (M nằm ở vân sáng bậc 2 màu tím, N nằm ở vân sáng bậc 3 màu tím) có bao nhiêu điểm tại đó có 2 bức xạ cho vân sáng trùng nhau?
A. Không có điểm nào.
B. Có vô số điểm.
C. Có 2 điểm.
D. Có 3 điểm.
Lời giải:
Chọn C.
Vị trí vân tím bậc 2 và bậc 3:
Vị trí hai vân sáng trùng nhau:
→ 0,76 ≤ k1λ1 = k2λ2 ≤ 1,14 (Với k1 ≠ k2). Giả sử λ1 > λ2 khi đó k1 < k2
→ 0,76 ≤ k1λ1 = k2λ2 ≤ 1,14
với x1 ≤ x ≤ x2 mà 0,38 μm ≤ λ1 ≤ 0.76 μm → 1 ≤ k1 ≤ 3
(k1 ≤ giá trị lớn nhất có thể là 3 và k1 ≥ giá trị nhỏ nhất có thể là 1)
Tức là ta có 1 ≤ k1 ≤ 3 → k1 = 1, 2, 3.
Tương tự 1 ≤ k2 ≤ 3 → k2 = 1, 2, 3.
Khi k1 = 1, k2 = 2 → λ1 = 0,76 μm và λ2 = 0,38 μm: x = x1
Khi k1 = 1, k2 = 3 → λ1 = 0,76 μm và λ2 = 0,253 μm < 0,38 μm: loại trường hợp này
Khi k1 = 2, k2 = 3 → λ1 = 0,57 μm và λ2 = 0,38 μm: x = x2
Vậy trên MN có hai điểm tại đó có hai bức xạ cho vân sáng trùng nhau. Đó là các điểm M, N .
Bài 8: Trong thí nghiệm giao thoa ánh sáng bằng khe Young. khoảng cách giữa 2 khe kết hợp là a = 1 mm, khoảng cách từ hai khe đến màn là D = 50cm. Ánh sáng sử dụng gồm 4 bức xạ có bước sóng: λ1 = 0,64 μm, λ2 = 0,6 μm, λ3 = 0,54 μm, λ4 = 0,48 μm. Khoảng cách ngắn nhất giữa hai vân cùng màu với vân sáng trung tâm là?
A. 4,8mm B. 4,32 mm
C. 0,864 cm D. 4,32cm
Lời giải:
Tóm tắt:
a = 10-3m
D = 0,5m
λ1 = 0,64 μm
λ2 = 0,6 μm
λ3 = 0,54 μm
λ4 = 0,48 μm
Δx = ?
Lời giải:
Chọn D.
Khi vân sáng trùng nhau:
k1λ1 = k2λ2 = k3λ3 = k4λ4
⇔ k1.0,64 = k2.0,6 = k3.0,54 = k4.0,48
⇔ k1.64 = k2.60 = k3.54 = k4.48
⇔ k1.32 = k2.30 = k3.27 = k4.24
BSCNN(32,30,27,24) = 4320
Vậy: Δx = 135i1 = 144i2 = 160i3 = 180i4 = 0,0432 m = 4,32 cm.
Bài 9: Thí nghiệm giao thoa ánh sáng bằng khe Young. Ánh sáng sử dụng gồm ba bức xạ đỏ, lục, lam có bước sóng lần lượt là: λ1 = 0,64 μm, λ2 = 0,54 μm, λ3 = 0,48 μm. Vân sáng đầu tiên kể từ vân sáng trung tâm có cùng màu với vân sáng trung tâm ứng với vân sáng bậc mấy của vân sáng màu lục?
A. 24 B. 27 C. 32 D. 18
Lời giải:
Chọn C.
Ta có: i1 = λ1.D/a, i2 = λ2.D/a, i3 = λ3.D/a
Lập tỷ số: i1/i2 = λ1/λ2 = 32/27, i1/i3 = λ1/λ3 = 4/3
→ khoảng vân trùng: itrùng = 32.3.i2 = 27.4.i3
→ vị trí vân sáng cùng màu với vân sáng trung tâm: xn = n.itrùng
Vân đầu tiên kể từ vân trung tâm có cùng màu ứng với n = 1
→ x = itrùng = 32.3.i2 = 27.4.i3
→ x = 32.3.λ2.D/a = 27.4.λ3.D/a = 32.λ2 = 36.λ3
⇔ x = k2.λ2 = k3.λ3
Vậy cùng màu với vân sáng trung tâm ứng với vân sáng bậc k = 32 của vân sáng màu lục.
Bài 10: Cho thí nghiệm Y-âng, khoảng cách hai khe sáng 0,2 mm, khoảng cách từ hai khe sáng tới màn là 1 m. Người ta dùng đồng thời ba ánh sáng đơn sắc màu đỏ, lam và tím có bước sóng tương ứng là 760 nm, 570 nm và 380 nm. Trên màn quan sát, điểm M và N nằm về một phía vân trung tâm và cách vân trung tâm tương ứng là 2 cm và 6 cm. Tìm số vân sáng trong khoảng giữa hai điểm M và N.
A. 28 B. 21 C. 33 D. 49
Lời giải:
Chọn A.
Ta có:
Trong đoạn N và M thì ta có 6 ≤ k1 ≤ 15; 8 ≤ k2 ≤ 21; 11 ≤ k3 ≤ 31
Dựa vào dãy số trên và giới hạn 3 giá trị của k, ta có: số vân sáng quan sát được trên đoạn MN là:
4 vân 3 bức xạ trùng nhau
9 vân 2 bức xạ trùng nhau (3vân bx 2 trùng 3; 6 vân bx 1 trùng 3)
15 vân 1 bức xạ (8 vân bx 2 và 7 vân bx 3). Do vậy có tất cả 28 vân sáng trong đoạn MN.
Bài 11: Trong thí nghiệm giao thoa ánh sáng bằng khe Young. Nguồn S phát ra 3 ánh sáng đơn sắc có bước sóng là: λ1 (tím) = 0,42 μm, λ2 (lục) = 0,56 μm, λ3 (đỏ) = 0,7 μm. Giữa hai vân sáng liên tiếp có màu giống như màu của vân sáng trung tâm có 14 vân màu lục. Số vân tím và màu đỏ nằm giữa hai vân sáng liên tiếp kể trên là:
A. 19 vân tím, 11 vân đỏ
B. 20 vân tím, 12 vân đỏ
C. 17 vân tím, 10 vân đỏ
D. 20 vân tím, 11 vân đỏ
Lời giải:
Chọn A.
Hay k1λ1 = k2λ2 = k3λ3 → 21k1 = 28k2 = 35k3
→ k1 = 20, 40, ...; k2 = 15, 30...; k3 = 12, 24...
→ số vân tím = 40-20-1 = 19 vân.
Bài 12: (ĐH-2011): Trong thí nghiệm Y-âng về giao thoa ánh sáng, hai khe được chiếu bằng ánh sáng đơn sắc, khoảng cách giữa hai khe là 0,6 mm. Khoảng vân trên màn quan sát đo được là 1 mm. Từ vị trí ban đầu, nếu tịnh tiến màn quan sát một đoạn 25 cm lại gần mặt phẳng chứa hai khe thì khoảng vân mới trên màn là 0,8 mm. Bước sóng của ánh sáng dùng thí nghiệm là
A. 0,50 μm. B. 0,48 μm.
C. 0,64 μm. D. 0,45 μm.
Lời giải:
Bài 13: Cho a = 0,8 mm, λ = 0,4 μm, H là chân đường cao hạ từ S1 tới màn quan sát. Lúc đầu H là 1 vân tối giao thoa, dịch màn ra xa dần thì chỉ có 2 lần H là cực đại giao thoa. Khi dịch chuyển màn như trên, khoảng cách giữa 2 vị trí của màn để H là cực đại giao thoa lần đầu và H là cực tiểu giao thoa lần cuối là
A. 1,6 m. B. 0,4 m. C. 0,32 m. D. 1,2 m.
Lời giải:
Chọn D.
Gọi D là khoảng cách từ mặt phẳng hai khe tới màn quan sát.
Ta có xH = a/2 = 0,4 mm
Gọi E1 và E2 là hai vị trí của màn mà H là cực đại giao thoa. Khi đó:
Tại vị trí E1 H là cực đại thứ hai:
xH = 2i1 → i1 = 0,2 mm
i1 = λD1/a → D1 = 0,4m.
Tại vị trí E2 H là cực đại thứ nhất:
xH = i2 → i2 = 0,4 mm = 2i1
i2 = λD2/a; i2 = 2i1 → D2 = 2D1 = 0,8m.
Gọi E là vị trí của màn mà H là cực tiểu giao thoa lần cuối. Khi đó tại H là cực tiểu thứ nhất
xH = i/2 → i = 2xH = 0,8mm. Mà i = λD/a → D = 1,6m.
Khoảng cách giữa 2 vị trí của màn để H là cực đại giao thoa lần đầu và H là cực tiểu giao thoa lần cuối là E1E = D – D1 = 1,2 m.
Bài 14: Thí nghiệm giao thoa Y- âng với ánh sáng đơn sắc có bước sóng λ, khoảng cách giữa hai khe a = 1 mm. Ban đầu, tại M cách vân trung tâm 5,25 mm người ta quan sát được vân sáng bậc 5. Giữ cố định màn chứa hai khe, di chuyển từ từ màn quan sát ra xa và dọc theo đường thẳng vuông góc với mặt phẳng chứa hai khe một đoạn 0,75 m thì thấy tại M chuyển thành vân tối lần thứ hai. Bước sóng λ có giá trị là
A. 0,60 μm B. 0,50 μm
C. 0,70 μm D. 0,64 μm
Lời giải:
Chọn A.
Trong thí nghiệm Y-âng vị trí vân sáng và vân tối:
xs = ki; xt = (k - 0,5)i với k = 1, 2, 3....
Điểm M cách vân trung tâm: x = 5,25 mm = 5i = 5λD/a (1)
Khi dịch màn ra xa, giả sử lần thứ nhất tại M là vân tối bậc k = 5 là vân tối gần nhất thì lần thứ hai sẽ là vân tối bậc (k - 1) = 4
Khi đó: x = 3,5 i'
Từ (1) và (2) ta có:
→ 5D = 3,5D + 0,75.3,5 → 1,5D = 2,625 → D = 1,75m
Bài 15: Cho thí nghiệm Y-âng, ánh sáng có bước sóng 500 nm. H là chân đường cao hạ vuông góc từ S1 tới màn M. Lúc đầu người ta thấy H là một cực đại giao thoa. Dịch màn M ra xa hai khe S1, S2 đến khi tại H bị triệt tiêu năng lượng sáng lần thứ nhất thì độ dịch là 1/7 m. Để năng lượng tại H lại triệt tiêu thì phải dịch màn xa thêm ít nhất là 16/35 m. Khoảng cách hai khe S1 và S2 là
A. 0,5 mm B. 1 mm C. 2 mm D. 1,8 mm
Lời giải:
Chọn C.
Ban đầu H là một cực đại giao thoa bậc k nên xH = a/2 = kλD/a → a2 = 2kλD (1)
Dịch màn M ra xa hai khe thêm 1/7 m đến khi tại H là vân tối lần thứ nhất → vân tối tại H ứng với (k - 1) (vì khi D tăng thì i tăng)
→ xH = a/2
→ a2 = 2(k – 0,5)λ(D + 1/7) (2)
Dịch màn M ra xa hai khe thêm 16/35 m đến khi tại H là vân tối lần thứ 2 → vân tối tại H ứng với (k - 2)
→ xH = a/2
→ a2 = 2(k – 1,5)λ(D + 0,6) (3)
* Từ (1) và (2) suy ra: 2kλD = 2(k – 0,5)λ(D + 1/7) → 7D = 2k + 1 (4)
* Từ (1) và (3) suy ra: 2kλD = 2(k – 1,5)λ(D + 0,6) → 1,5D = 0,6k + 0,9 (5)
* Lập tỉ số (4) : (5) → k = 4 → D = 1m
* Thế vào (1) → a = 2.10-3m.
Bài 16: (ĐH-2012): Trong thí nghiệm Y-âng về giao thoa ánh sáng, nguồn sáng phát ra ánh sáng đơn sắc có bước sóng λ1. Trên màn quan sát, trên đoạn thẳng MN dài 20 mm (MN vuông góc với hệ vân giao thoa) có 10 vân tối, M và N là vị trí của hai vân sáng. Thay ánh sáng trên bằng ánh sáng đơn sắc có bước sóng λ2 = 5λ1/3 thì tại M là vị trí của một vân giao thoa, số vân sáng trên đoạn MN lúc này là
A.7 B. 5 C. 8. D. 6
Lời giải:
Chọn A.
Theo bài ra ta có: 10i1 = MN = 20mm → i1 = 2mm
Do xM = k1i1 = 2k1
Số khoảng vân sáng trên đoạn MN lúc này = 20.3/10 = 6.
→ Số vân sáng trên đoạn MN lúc này là: 6 + 1 = 7.
Bài 17: (ĐH-2012): Trong thí nghiệm Y-âng về giao thoa ánh sáng, nguồn sáng phát đồng thời hai ánh sáng đơn sắc λ1, λ2 có bước sóng lần lượt là 0,48 μm và 0,60 μm. Trên màn quan sát, trong khoảng giữa hai vân sáng gần nhau nhất và cùng màu với vân sáng trung tâm có
A. 4 vân sáng λ1 và 3 vân sáng λ2.
B. 5 vân sáng λ1 và 4vân sáng λ2.
C. 4 vân sáng λ1 và 5vân sáng λ2.
D. 3 vân sáng λ1 và 4vân sáng λ2.
Lời giải:
Chọn A.
Vị trí các vân sáng cùng màu vân sáng trung tâm k1λ1 = k2λ2 → 48k1 = 60k2
→ 4k1 = 5k2 → BSNN của 4 và 5 là 20 → x = 20n → k1 = 5n; k2 = 4n
Với n = 1 → k1 = 5; k2 = 4
→ Trên màn quan sát, trong khoảng giữa hai vân sáng gần nhau nhất và cùng màu với vân sáng trung tâm có 4 vân sáng λ1 và 3 vân sáng λ2.
Bài 18: Trong thí nghiệm Y-âng về giao thoa ánh sáng, khoảng cách giữa hai khe là 0,5 mm, khoảng cách từ hai khe đến màn quan sát là 2m. Nguồn sáng dùng trong thí nghiệm gồm hai bức xạ có bước sóng λ1 = 450 nm và λ2 = 600 nm. Trên màn quan sát, gọi M, N là hai điểm ở cùng một phía so với vân trung tâm và cách vân trung tâm lần lượt là 5,5 mm và 22 mm. Trên đoạn MN, số vị trí vân sáng trùng nhau của hai bức xạ là
A. 4. B. 2. C. 5. D. 3.
Lời giải:
Chọn D.
Tại vị trí hai vân sáng trùng nhau thì:
x1 = x2 ⇔ k1λ1 = k2λ2
(k1min = 4, k2min = 3)
Khoảng vân trùng:
→ Các vị trí trùng: xt = nit = 7,2n(mm) ⇒ 5,5 ≤ 7,2n ≤ 22 ⇔ 0,76 ≤ n ≤ 3,056 ⇒ n = 1, 2, 3.
Bài 19: Trong thí nghiệm I âng về giao thoa ánh sáng, khoảng cách giữa hai khe a = 2mm, khoảng cách từ hai khe đến màn ảnh D = 2 m. Nguồn S phát đồng thời hai bức xạ có bước sóng λ1 = 0,5 μm và λ2 = 0,4 μm. Trên đoạn MN = 30mm (M và N ở một bên của O và OM = 5,5mm) có bao nhiêu vân tối bức xạ λ2 trùng với vân sáng của bức xạ λ1?
A. 12 B. 15 C. 14 D. 13
Lời giải:
Chọn B.
k1λ1 = (k2 + 0,5)λ2
Khoảng cách ngắn nhất giữa 2 VT trùng nhau của vân tối bức xạ λ2 với vân sáng của bức xạ λ1 là: itr = 4i1 = 2mm
Bắt đầu trùng nhau từ vân sáng bậc 2 của λ1
→ Vị trí trùng nhau: x = 2i1 + k.itr = 1 + 2k
Ta có: 5,5 ≤ x = 1 + 2k ≤ 35,5 → 2,25 ≤ k ≤ 17,25
→ k = 3,4,...,17 → có 15 VT trùng trên MN.
Bài 20: Trong thí nghiệm Young về giao thoa ánh sáng, khe hẹp S phát ra đồng thời ba bức xạ đơn sắc khác nhau thuộc vùng ánh sáng nhìn thấy có bước sóng lần lượt là λ1 = 420 nm; λ2 = 540 nm và λ3 chưa biết. Có a = 1,8 mm và D = 4m. Biết vị trí vân tối gần tâm màn nhất xuất hiện trên màn là vị trí vân tối bậc 14 của λ3. Tính khoảng cách gần nhất từ vân sáng trung tâm đến vân sáng chung của λ2 và λ3.
A. 54mm B. 42 mm
C. 33 mm D. 16 mm
Lời giải:
Chọn B.
Ta có i1 = λ1D/a; i2 = λ2D/a và i3 = λ3D/a
Xét vùng dương trên màn.Vị trí vân tối gần tâm màn:
xt = (k1 + 0,5)i1 = (k2 + 0,5)i2 = 13,5i3
→ (k1 + 0,5)λ1 = (k2 + 0,5)λ2 = 13,5λ3
Vị trí vân sáng chung của λ2 và λ3: x23 = k’2i2 = k’3i3 → k’2λ2 = k’3λ3
(k1 + 0,5)λ1 = (k2 + 0,5)λ2 → 7k1 + 3,5 = 9k2 + 4,5 → 7k1 = 9k2 + 1 (*)
Phương trình (*) có nghiệm nguyên dương: k1 = 9n + 4 và k2 = 7n + 3 với n = 0; 1; 2; .....
(k1 + 0,5)λ1 = 13,5λ3
→ 12,21 ≤ 9n + 4,5 ≤ 12,43 → 1 ≤ n ≤ 2
Nếu n = 1 → k1 = 13; k2 = 10. Khi đó λ3 = λ1 (loại trường hợp này)
Nếu n = 2 → k1 = 22; k2 = 17. Khi đó λ3 = 22,5λ1/13,5 = 700 nm.
Vị trí vân sáng chung của λ2 và λ3: x23 = k’2i2 = k’3i3 → k’2λ2 = k’3λ3
→ 540k’2 = 700k’3 → 27k’2 = 35k’3 → k’2 = 35k; k’3 = 27k với k = 0; 1; 2;
→ x23 = 35kλ2D/a = 42k(mm)
Khoảng cách gần nhất từ vân sáng trung tâm đến vân sáng chung của λ2 và λ3: x23min = 42 mm.
Bài 21: Trong thí nghiệm Y-âng về giao thoa ánh sáng, nguồn S phát ra ba ánh sáng đơn sắc: λ1 = 0,42 μm(màu tím); λ2 = 0,56 μm(màu lục); λ3 = 0,70 μm(màu đỏ). Giữa hai vân sáng liên tiếp có màu giống như màu của vân trung tâm sẽ quan sát thấy tổng cộng có bao nhiêu vân sáng đơn sắc riêng lẻ của ba màu trên?
A. 44 vân. B. 35 vân.
C. 26 vân. D. 29 vân.
Lời giải:
Chọn C.
Vị trí các vân cùng màu với vân trung tâm: x = k1i1 = k2i2 = k3i3
→ k1λ1 = k2λ2 = k3λ3 → 42k1 = 56k2 = 70k3 hay 3k1 = 4k2 = 5k3
Bội SCNN của 3, 4 và 5 là 60 → Suy ra: k1 = 20n; k2 = 15n; k3 = 12n.
+) Vị trí vân sáng cùng màu với vân trung tâm gần vân trung tâm nhất ứng với n = 1:
k1 = 20; k2 = 15; k3 = 12
Giữa hai vân sáng liên tiếp có màu giống như màu của vân trung tâm có 19 vân màu tím; 14 vân màu lục và 11 vân màu đỏ.
+) Vị trí hai vân sáng trùng nhau:
x12 = k1i1 = k2i2 → k1λ1 = k2λ2 → 42k1 = 56k2 → 3k1 = 4k2 → k1 = 4n12; k2 = 3n12
Trong khoảng giữa hai vân sáng gần nhau nhất cùng màu với vân trung tâm có 4 vân sáng của bức xạ λ1 λ2 trùng nhau (k1 = 4; 8; 12; 16 và k2 = 3 ; 6; 9; 12)
x23 = k2i2 = k3i3 → k2λ2 = k3λ3 → 56k2 = 70k3 → 4k2 = 5k3 → k2 = 5n23; k3 = 4n23
Trong khoảng giữa hai vân sáng gần nhau nhất cùng màu với vân trung tâm có 2 vân sáng của bức xạ λ2 λ3 trùng nhau (k2 = 5; 10 và k3 = 4; 8)
x13 = k1i1 = k3i3 → k1λ1 = k3λ3 → 42k1 = 70k3 → 3k1 = 5k3 → k1 = 5n13; k3 = 3n13
Trong khoảng giữa hai vân sáng gần nhau nhất cùng màu với vân trung tâm có 3 vân sáng của bức xạ λ1 λ3 trùng nhau: (k1 = 5, 10, 15 và k3 = 3, 6, 9)
Tổng số vân sáng đơn sắc quan sát được là: 19 + 14 + 11 – 2(4 + 2 + 3) = 26.
Bài 22: Trong thí nghiệm Y-âng về giao thoa ánh sáng, khoảng cách giữa hai khe là a = 0,5 mm, khoảng cách từ mặt phẳng chứa hai khe đến màn quan sát là D = 1m. Nguồn S phát đồng thời 3 bức xạ có bước sóng λ1 = 0,4 μm, λ2 = 0,5 μm; λ3 = 0,6 μm. Trên khoảng từ M đến N với MN = 6 cm có bao nhiêu vân cùng màu với vân trung tâm biết rằng tại M và N là hai vân cùng màu với vân trung tâm?
A. 2 B. 3 C. 4 D. 5
Lời giải:
Chọn C.
Ta có:
→ Khoảng vân trùng: itrùng = 15i1 = 12i2 = 10i3 = 12 mm
Với MN = 60 mm = 5itrùng → Trên khoảng từ M đến N có 4 vân cùng màu với vân trung tâm không kể M và N.
Bài 23: Trong thí nghiệm giao thoa ánh sáng khe Yâng có khoảng cách hai khe a = 2 mm; từ màn ảnh đến hai khe D = 2m chiếu đồng thời ba bức xạ λ1 = 0,64 μm, λ2 = 0,54 μm; λ3 = 0,48 μm thì trên bề rộng giao thoa có L = 40 mm của màn ảnh có vân trung tâm ở giữa sẽ quan sát thấy số vân sáng của bức xạ λ1 là
A. 45 vân B. 44 vân C. 42 vân D. 41 vân
Lời giải:
Chọn C.
+) Đối với λ1 thì i1 = λ1D/a = 0,64.2/2 = 0,64 mm có số vân sáng là:
↔ -31,25 ≤ k1 ≤ 31,25 : có 63 vân sáng.
+) Đối với λ2 thì i2 = λ2D/a = 0,54.2/2 = 0,54 mm có số vân sáng là: -37,04 ≤ k1 ≤ 37,04 : có 75 vân sáng.
+) Đối với λ3 thì i3 = λ3D/a = 0,48.2/2 = 0,48 mm có số vân sáng là: -41,7 ≤ k1 ≤ 41,7 : có 83 vân sáng.
+ Tính số vân trùng của λ1 và λ2 thì:
→ có 2 vị trí trùng nhau (k1 = 27 và -27)
+ Tính số vân trùng của λ1 và λ3 thì:
→ có 20 vị trí trùng nhau (k1 = 3; 6; 9; 12; 15; 18; 21; 24; 27; 30 và -3; -6; -9; -12; -15; -18; -21; -24; -27; -30); so sánh với trên ta thấy trùng lặp k1 = 27 và -27 nên
Số vân sáng λ1 quan sát được 63-20-1 = 42 vân (do tính thêm vân sáng trung tâm).
Bài 24: Trong thí nghiệm I-âng về giao thoa ánh sáng, khe hẹp S phát ra đồng thời hai bức xạ đơn sắc có bước sóng λ1 = 4410Å và λ2. Trên màn, trong khoảng giữa hai vân sáng liên tiếp có màu giống màu của vân trung tâm còn có chín vân sáng khác. Giá trị của λ2 bằng?
A. 5512,5Å. B. 3675,0Å.
C. 7717,5Å. D. 5292,0Å.
Lời giải:
Chọn D.
Gọi n là số vân sáng của bức xạ λ1 trong khoảng giữa hai vân sáng cùng màu với vân sáng trung tâm. Khi đó số vân sáng của bức xạ λ2 là (9 - n)
(n + 1)i1 = (10 - n)i2 → (n + 1)λ1 = (10 - n)λ2
→ 4,09 ≤ n ≤ 5,96
→ n = 5 → λ2 = 0,5292 μm = 5292,0 Å.
Bài 25: Trong thí nghiệm Y-âng về giao thoa ánh sáng. Nguồn phát ánh sáng trắng (0,38 μm ≤ λ ≤ 0,76 μm). Trên đoạn thẳng MN thuộc màn quan sát vuông góc với các vạch sáng (M nằm ở vân sáng bậc 2 màu tím, N nằm ở vân sáng bậc 3 màu tím) có bao nhiêu điểm tại đó có 2 bức xạ cho vân sáng trùng nhau?
A. Không có điểm nào.
B. Có vô số điểm.
C. Có 2 điểm.
D. Có 3 điểm.
Lời giải:
Chọn C.
Vị trí vân tím bậc 2 và bậc 3:
Vị trí hai vân sáng trùng nhau:
→ 0,76 ≤ k1λ1 = k2λ2 ≤ 1,14 (Với k1 ≠ k2) → 0,76 ≤ k1λ1 ≤ 1,14
k1 ≤ 1,14/λ1 mà 0,38 μm ≤ λ1 ≤ 0.76 μm → k1 ≤ 3 (k1 ≤ giá trị lớn nhất có thể là 3)
k1 ≥ 0,76/λ1 mà 0,38 μm ≤ λ1 ≤ 0.76 μm → k1 ≥ 1 (k1 ≥ giá trị nhỏ nhất có thể là 1)
Tức là ta có 1 ≤ k1 ≤ 3 → k1 = 1, 2, 3.
Tương tự 1 ≤ k2 ≤ 3 → k2 = 1, 2, 3.
Khi k1 = 1, k2 = 2 → λ1 = 0,76 μm và λ2 = 0,38 μm: x = x1
Khi k1 = 1, k2 = 3 → λ1 = 0,76 μm và λ2 = 0,253 μm < 0,38 μm: Loại trường hợp này.
Khi k1 = 2, k2 = 3 → λ1 = 0,57 μm và λ2 = 0,38 μm: x = x2
Tóm lại, trên MN có hai điểm tại đó có hai bức xạ cho vân sáng trùng nhau. Đó là các điểm M, N.
(199k) Xem Khóa học Vật Lí 12 KNTTXem Khóa học Vật Lí 12 CDXem Khóa học Vật Lí 12 CTST
Xem thêm các dạng bài tập Vật Lí lớp 12 ôn thi Tốt nghiệp có lời giải hay khác:
Đã có app VietJack trên điện thoại, giải bài tập SGK, SBT Soạn văn, Văn mẫu, Thi online, Bài giảng....miễn phí. Tải ngay ứng dụng trên Android và iOS.
Theo dõi chúng tôi miễn phí trên mạng xã hội facebook và youtube:Nếu thấy hay, hãy động viên và chia sẻ nhé! Các bình luận không phù hợp với nội quy bình luận trang web sẽ bị cấm bình luận vĩnh viễn.
- Giải Tiếng Anh 12 Global Success
- Giải sgk Tiếng Anh 12 Smart World
- Giải sgk Tiếng Anh 12 Friends Global
- Lớp 12 Kết nối tri thức
- Soạn văn 12 (hay nhất) - KNTT
- Soạn văn 12 (ngắn nhất) - KNTT
- Giải sgk Toán 12 - KNTT
- Giải sgk Vật Lí 12 - KNTT
- Giải sgk Hóa học 12 - KNTT
- Giải sgk Sinh học 12 - KNTT
- Giải sgk Lịch Sử 12 - KNTT
- Giải sgk Địa Lí 12 - KNTT
- Giải sgk Giáo dục KTPL 12 - KNTT
- Giải sgk Tin học 12 - KNTT
- Giải sgk Công nghệ 12 - KNTT
- Giải sgk Hoạt động trải nghiệm 12 - KNTT
- Giải sgk Giáo dục quốc phòng 12 - KNTT
- Giải sgk Âm nhạc 12 - KNTT
- Giải sgk Mĩ thuật 12 - KNTT
- Lớp 12 Chân trời sáng tạo
- Soạn văn 12 (hay nhất) - CTST
- Soạn văn 12 (ngắn nhất) - CTST
- Giải sgk Toán 12 - CTST
- Giải sgk Vật Lí 12 - CTST
- Giải sgk Hóa học 12 - CTST
- Giải sgk Sinh học 12 - CTST
- Giải sgk Lịch Sử 12 - CTST
- Giải sgk Địa Lí 12 - CTST
- Giải sgk Giáo dục KTPL 12 - CTST
- Giải sgk Tin học 12 - CTST
- Giải sgk Hoạt động trải nghiệm 12 - CTST
- Giải sgk Âm nhạc 12 - CTST
- Lớp 12 Cánh diều
- Soạn văn 12 Cánh diều (hay nhất)
- Soạn văn 12 Cánh diều (ngắn nhất)
- Giải sgk Toán 12 Cánh diều
- Giải sgk Vật Lí 12 - Cánh diều
- Giải sgk Hóa học 12 - Cánh diều
- Giải sgk Sinh học 12 - Cánh diều
- Giải sgk Lịch Sử 12 - Cánh diều
- Giải sgk Địa Lí 12 - Cánh diều
- Giải sgk Giáo dục KTPL 12 - Cánh diều
- Giải sgk Tin học 12 - Cánh diều
- Giải sgk Công nghệ 12 - Cánh diều
- Giải sgk Hoạt động trải nghiệm 12 - Cánh diều
- Giải sgk Giáo dục quốc phòng 12 - Cánh diều
- Giải sgk Âm nhạc 12 - Cánh diều


Giải bài tập SGK & SBT
Tài liệu giáo viên
Sách
Khóa học
Thi online
Hỏi đáp

