Cách giải bài tập Giao thoa với ánh sáng đa sắc (hay, chi tiết)
Bài viết Cách giải bài tập Giao thoa với ánh sáng đa sắc với phương pháp giải chi tiết giúp học sinh ôn tập, biết cách làm bài tập Cách giải bài tập Giao thoa với ánh sáng đa sắc.
Cách giải bài tập Giao thoa với ánh sáng đa sắc (hay, chi tiết)
(199k) Xem Khóa học Vật Lí 12 KNTTXem Khóa học Vật Lí 12 CDXem Khóa học Vật Lí 12 CTST
A. Phương pháp & Ví dụ
Nhận xét
Khi cho chùm đa sắc gồm nhiều bức xạ chiếu vào khe Y-âng để tạo ra giao thoa. Trên màn quan sát được hệ vân giao thoa của các bức xạ trên. Vân trung tâm là sự chồng chập của các vân sáng bậc k = 0 của các bức xạ này. Trên màn thu được sự chồng chập: của các vạch sáng trùng nhau, các vạch tối trùng nhau hoặc vạch sáng trùng vạch tối giữa các bức xạ này.
Ta có: Giao thoa của hai hay nhiều bức xạ:
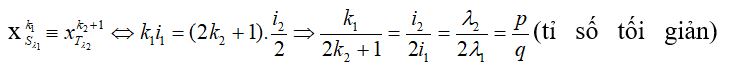
Dạng 2.1. Vị trí vân sáng trùng:
k1i1 = k2i2⇒...⇒k1 λ1 ⇒ k2 λ2
Hoặc ta có thể xác định:Vị trí vân sáng của các bức xạ đơn sắc trùng nhau
k1λ1 = k2λ2 = k3λ3 = k4λ4 = .... = knλn với k1, k2, k3,…, kn ∈ Z
Dựa vào phương trình biện luận chọn các giá trị k thích hợp, thông thường chọn k là bội số của số nguyên nào đó.
Ví dụ:
Hai bức xạ λ1 và λ2 cho vân sáng trùng nhau. Ta có k1λ1 = k2λ2 ⇒
Vì k1, k2 là các số nguyên, nên ta chọn được k2 là bội của 6 và k1 là bội của 5
Có thể lập bảng như sau:
| k1 | 0 | 5 | 10 | 15 | 20 | 25 | ..... |
| k2 | 0 | 6 | 12 | 18 | 24 | 30 | ..... |
| x | 0 | ..... | ..... | ..... | ..... | ..... | ..... |
Dạng 2.2. Khoảng vân trùng
(khoảng cách nhỏ nhất giữa hai vân cùng màu với vân trung tâm):
i12 = mi1 = ni2 = ...
hoặc: i12 = BCNN(i1, i2)
Ba bức xạ: i12 = BCNN(i1, i2, i3)
Dạng 2.3. Xét cụ thể với chùm sáng gồm 2 bức xạ λ1, λ2
Loại 1: Vị trí hai vân sáng trùng nhau. Ngoài cách tổng quát trên ta có thể làm như sau:
+ Số vạch trùng quan sát được. Số vạch sáng quan sát được:
Khi có giao thoa: Vị trí vân sáng:
Khi 2 vân sáng của 2 bức xạ trùng nhau:
+ Số vạch trùng quan sát được trên trường giao thoa L:
mỗi giá trị n → 1 giá trị k ⇒ số vạch sáng trùng là số giá trị n thỏa mãn (*).
+ Xét số vân trùng trên MN− ∈ L:
xM ≤ x ≡ ≤ xN (xM < xN; x là tọa độ) ⇒ khoảng n ⇒số giá trị n là số vân sáng trùng thuộc + Xét số vân trùng trên MN−.
Chú ý: Nếu M,N là vân sáng trùng ⇒ dùng dấu “ = „.
+ Số vạch quan sát được trên trường L:
+ Số vạch quan sát được trên MN− L:
( Nhớ chú ý M,N có phải là vân sáng trùng không )
Ví dụ
Ví dụ : Trong thí nghiệm về giao thoa ánh sáng qua khe I-Âng có a= 2mm D=2m, nguồn sáng gồm hai bức xạ λ1 = 0,5μm, λ2 = 0,4μm. Tìm số vân sáng quan sát được trên trường giao thoa ?
Lời giải:
Ta có :
+ Bậc trùng nhau của từng bức xạ và vị trí trung nhau:
BT trên; Tìm khoảng cách giữa 2 vân sáng trùng nhau gần nhau nhất?
Nhận xét: Khoảng cách giữa 2 vân sáng trùng nhau liên tiếp là như nhau và là 4i1 hay 5i2.
Trong bài này là
Loại 2: Hai vân tối trùng nhau của hai bức xạ:
- Khi vân tối của 2 bức xạ trùng nhau:
Vị trí trùng: x
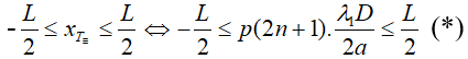
xT≡ nằm trong vùng khảo sát:
+ Số vân xT≡ trong trường giao thoa:
Số giá trị của n thỏa mãn (∗)⇒ số vân tối trùng trong trường giao thoa.
+ Số vân xT≡ trong miền MN−L:
xM ≤xT≡ ≤xN (xM; xN là tọa độ và xM < xN (∗∗)
Số vân tối trùng trong vùng MN− là số giá trị n thỏa mãn (∗∗)
Ví dụ
Ví dụ: Trong thí nghiệm giao thoa I âng thực hiện đồng thời hai bức xạ đơn sắc với khoảng vân trên màn thu được lần lượt là: i1 = 0,5mm; i2 = 0,3mm. Biết bề rộng trường giao thoa là 5mm, số vị trí trên trường giao thoa có 2 vân tối của hai hệ trùng nhau là bao nhiêu?
Lời giải:
Khi 2 vân tối trùng nhau:
⇒có 4 vị trí vân tối trùng nhau trên trường giao thoa L.
Loại 3: Vân sáng của bức xạ này trùng vân tối của bức xạ kia.
- Giả sử:
⇒số vân sáng trùng vân tối là số giá trị của n thỏa mãn biểu thức này
Chú ý: Có thể xét xTλ1 = xTλ2
Ví dụ
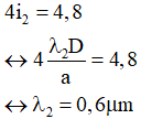
Ví dụ: Trong thí nghiệm giao thoa I âng, thực hiện đồng thời với 2 ánh sáng đơn sắc khoảng vân giao thoa trên màn lần lượt i1 = 0,8mm, i2 = 0,6mm. Biết trường giao thoa rộng: L = 9,6mm. Hỏi số vị trí mà :
a) xTλ1 = xSλ2 . ( -2,5 ≤ n ≤ 1,5 : có 4 vị trí)
b) xSλ1 = xTλ2
Lời giải:
B. Bài tập trắc nghiệm
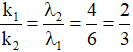
Bài 1: Thực hiện giao thoa ánh sáng với nguồn gồm hai thành phần đơn sắc nhìn thấy có bước sóng λ1 = 0,64μm; λ2. Trên màn hứng các vân giao thoa, giữa hai vân gần nhất cùng màu với vân sáng trung tâm đếm được 11 vân sáng. Trong đó, số vân của bức xạ λ1 và của bức xạ λ2 lệch nhau 3 vân, bước sóng của λ2 là
A. 0,4μm. B. 0,45μm
C. 0,72μm D. 0,54μm
Lời giải:
Chọn A.
Gọi x là khoảng cách giữa 2 VS trùng gần nhau nhất.
Trường hợp 1: trong khoảng giữa 2 VS trùng có 7 VS của λ1 và 4 VS của λ2
Kể cả 2 VS trùng thì có 9 VS của λ1 và 6 VS của λ2 nên
x = 8i1 = 5i2 → 8λ1 = 5λ2 → λ2 = 1,024μm (loại)
Trường hợp 2: trong khoảng giữa 2 VS trùng có 4 VS của λ1 và 7 VS của λ2
Kể cả 2 VS trùng thì có 6 VS của λ1 và 9 VS của λ2
Nên x = 5i1 = 8i2 → 5λ1 = 8λ2 → λ2 = 0,4μm (nhận).
Bài 2: Chiếu đồng thời hai bức xạ nhìn thấy có bước sóng λ1 = 0,72μm và λ2 vào khe Y-âng thì trên đoạn AB ở trên màn quan sát thấy tổng cộng 19 vân sáng, trong đó có 6 vân sáng của riêng bức xạ λ1, 9 vân sáng của riêng bức xạ λ2. Ngoài ra, hai vân sáng ngoài cùng (trùng A, B) khác màu với hai loại vân sáng đơn sắc trên. Bước sóng λ2 bằng
A. 0,48 μm B. 0,578 μm
C. 0,54 μm D. 0,42 μm
Lời giải:
Chọn C.
Trên AB có tổng cộng 19 vân sáng suy ra có 4 vân sáng trùng nhau của hai bức xạ kể cả A và B. Do đó AB = 9i1 = 12i2 → 9λ1 = 12λ2 → λ2 = 3λ1/4 = 0,54 μm.
Bài 3: Trong thí nghiệm Iâng về giao thoa ánh sáng, hai khe cách nhau a = 1mm, hai khe cách màn quan sát 1 khoảng D = 2m. Chiếu vào hai khe đồng thời hai bức xạ có bước sóng λ1 = 0,4μm và λ2 = 0,56μm. Hỏi trên đoạn MN với xM = 10mm và xN = 30mm có bao nhiêu vạch đen của 2 bức xạ trùng nhau?
A. 2. B. 5. C. 3. D. 4.
Lời giải:
Chọn C.
Vị trí hai vân tối trùng nhau: x = (k1 + 0,5)i1 = (k2 + 0,5)i2
→ (k1 + 0,5)0,8 = (k2 + 0,5)1,12
→ 5(k1 + 0,5) = 7(k2 + 0,5)
→ 5k1 = 7k2 + 1
Để k1 nguyên 2k2 + 1 = 5k
Để k2 nguyên k – 1 = 2n → k = 2n + 1 với n = 0, 1, 2, ....
k2 = 5n + 2 và k1 = k2 + k = 7n + 3
Suy ra x = (7n + 3 + 0,5)i1 = (7n + 3 + 0,5)0,8 = 5,6n + 2,8
10 ≤ x ≤ 30 → 10 ≤ x = 5,6n + 2,8 ≤ 30 → 2 ≤ n ≤ 4: có 3 giá trị của n.
Bài 4: Trong thí nghiệm Iâng về giao thoa ánh sáng, khi nguồn sáng phát ra ánh sáng đơn sắc có bước sóng λ1 = 0,640 μm thì trên màn quan sát ta thấy tại M và N là 2 vân sáng, trong khoảng giữa MN còn có 7 vân sáng khác nữa. Khi nguồn sáng phát ra đồng thời hai ánh sáng đơn sắc có bước sóng λ1 và λ2 thì trên đoạn MN ta thấy có 19 vạch sáng, trong đó có 3 vạch sáng có màu giống màu vạch sáng trung tâm và 2 trong 3 vạch sáng này nằm tại M và N. Bước sóng λ2 có giá trị bằng
A. 0,450μm. B. 0,478μm.
C. đáp số khác. D.0,427μm
Lời giải:
Chọn D.
Ta có MN = 8i1.
Khoảng cách giữa 2 vân sáng gần nhau nhất cùng màu với vân sáng trung tâm: MN/2 = 4i1.
Trong khoảng đó có (19 – 3)/2 = 8 vân sáng đơn sác trong đó có 3 vân sáng của bức xạ λ1
→ có 5 vân sáng của bức xạ λ2.
Do đó 4i1 = 6i2 hay 4λ1 = 6λ2 → λ2 = 2λ1/3 = 0,427 μm.
Bài 5: Thí nghiệm giao thoa ánh sáng Young. Chiếu hai khe ánh sáng đơn sắc có bước sóng λ1 = 0,6 μm thì trên màn quan sát, ta thấy có 6 vân sáng liên tiếp cách nhau 9mm. Nếu chiếu hai khe đồng thời hai bức xạ λ1 và λ2 thì người ta thấy tại M cách vân trung tâm 10,8mm vân có màu giống vân trung tâm, trong khoảng giữa M và vân sáng trung tâm còn có 2 vị trí vân sáng giống màu vân trung tâm. Bước sóng của bức xạ λ2 là
A. 0,4 μm. B. 0,38 μm.
C. 0,65 μm. D. 0,76 μm.
Lời giải:
Chọn A.
Khoảng vân i1 = 9mm/(6 - 1) = 1,8mm
Tại M là vân sáng bậc 6 của bức xạ λ1.
Khoảng cách giữa vân sáng cùng màu và gần nhất vân sáng trung tâm là:
ứng với vân sáng bậc hai của bức xạ λ1.
Trong 4 giá trị của bức xạ λ2 chỉ có bức xạ λ = 0,4 μm cho k = 3 là số nguyên.
Bài 6: Thí nghiệm Iâng về giao thoa ánh sáng nguồn phát đồng thời hai bức xạ đơn sắc. λ1 = 0,64 μm (đỏ), λ2 = 0,48 μm (lam) trên màn hứng vân giao thoa. Trong đoạn giữa 3 vân sáng liên tiếp cùng màu với vân trung tâm có số vân đỏ và vân lam là
A. 9 vân đỏ, 7 vân lam
B. 7 vân đỏ, 9 vân lam
C. 4 vân đỏ, 6 vân lam
D. 6 vân đỏ, 4 vân lam
Lời giải:
Chọn C.
Vậy xét VT 3 vân trùng màu đầu tiên là (k1; k2) = (0;0) (3,4) (6;8) và (9;12).
Vậy giữa 3 vân sáng liên tiếp cùng màu vân trung tâm có 4 đỏ (1,2,4,5) và 6 lam (1,2,3,5,6,7).
Bài 7: Trong thí nghiệm Young, khoảng cách giữa hai khe là 0,5mm, màn ảnh cách hai khe 2m. Chiếu đồng thời hai bức xạ đơn sắc λ1 = 0,6 μm và λ2 = 0,4 μm vào hai khe Young. Hỏi trong vùng giao thoa có độ rộng 10mm (ở hai bên vân sáng trung tâm và cách đều vân sáng trung tâm) có bao nhiêu vân sáng có màu giống màu của vân sáng trung tâm ?
A. có 5 vân sáng.
B. có 4 vân sáng.
C. có 3 vân sáng.
D. có 6 vân sáng
Lời giải:
Chọn C.
Vị trí các vân sáng cùng màu với vân trung tâm
x = k1i1 = k2i2 → k1λ1 = k2λ2 → 0,6k1 = 0,4k2 → 3k1 = 2k2
→ k1 = 2n; k2 = 3n (n nguyên, bằng 0)
Ta có : – 5 (mm) < x < 5 (mm) → -5 < 4,8n < 5 → n = -1; 0; 1: có 3 vân.
Bài 8: Trong thí nghiệm Iâng về giao thoa ánh sáng, trong vùng MN trên màn quan sát, người ta đếm được 21 vân sáng với M và N là hai vân sáng khi dùng ánh sáng đơn sắc có bước sóng λ1 = 0,45 μm. Giữ nguyên điều kiện thí nghiệm, khi dùng nguồn sáng đơn sắc khác với bước sóng λ2 = 0,60 μm thì số vân sáng trong miền đó là
A. 18 B. 15 C. 16 D. 17
Lời giải:
Chọn C.
Theo bài trong vùng MN trên màn có 21 vân sáng thì độ dài của vùng là 20i1.
Khi dùng nguồn sáng đơn sắc với bước sóng λ2 = 0,60 μm
ta quan sát được số vân sáng: (n - 1)i2.
Ta có: 20i1 = (n - 1)i2
Vì giữ nguyên điều kiện thí nghiệm, nên a và D không đổi → 20λ1 = (n - 1)λ2
Bài 9: Trong thi nghiệm Yâng về giao thoa ánh sáng có a = 2mm, D = 2m. Khi được chiếu bởi ánh sáng có bước sóng λ1 = 0,5 μm thì trên màn quan sát được độ rộng trường giao thoa là 8,1mm. Nếu chiếu đồng thời thêm ánh sáng có thì thấy vân sáng bậc 4 của nó trùng với vân sáng bậc 6 của ánh sáng λ2. Trên màn có số vân sáng trùng nhau quan sát được là
A. 7 vân B. 5 vân C. 9 vân D. 3 vân
Lời giải:
Chọn C.
Đối với bước sóng λ1 số vân sáng
Vậy có 17 vân sáng.
Vân sáng của λ1 và λ2 trùng nhau thì
Vậy vân sáng trùng nhau ứng với k1 = 2, 4, 6, 8; 0; -2; -4; -6; -8.
Bài 10: Trong thí nghiệm Yâng về giao thoa ánh sáng, khoảng cách giữa 2 khe Yâng là a = 1 mm, khoảng cách từ 2 khe đến màn D = 2 m. Chùm sáng chiếu vào khe S có 2 bước sóng trong đó λ1 = 0,4 μm. Trên màn xét khoảng MN = 4,8 mm đếm được 9 vân sáng với 3 vạch là kết quả trùng nhau của 2 vân sáng và 2 trong 3 vạch đó nằm tại M,N. Bước sóng λ2 là
A. 0,48 μm B. 0,6 μm
C. 0,64 μm D. 0,72 μm
Lời giải:
Chọn B.
Khoảng vân
Số vân sáng của bức xạ λ1 là:
↔ -3 ≤ k ≤ 3: có 7 bức xạ.
Ta đếm được 9 vân sáng với 3 vạch là kết quả trùng nhau của 2 vân sáng và 2 trong 3 vạch đó nằm tại M, N. Suy ra tất cả ta có 12 vân sáng, bức xạ λ2 sẽ cho 5 vân sáng tức là
Bài 11: Trong thí nghiệm Iâng về giao thoa ánh sáng, khi nguồn sáng phát ra ánh sáng đơn sắc có bước sóng λ1 = 0,640 μm thì trên màn quan sát ta thấy tại M và N là 2 vân sáng, trong khoảng giữa MN còn có 7 vân sáng khác nữa. Khi nguồn sáng phát ra đồng thời hai ánh sáng đơn sắc có bước sóng λ1 và λ2 thì trên đoạn MN ta thấy có 19 vạch sáng, trong đó có 3 vạch sáng có màu giống màu vạch sáng trung tâm và 2 trong 3 vạch sáng này nằm tại M và N. Bước sóng λ2 có giá trị bằng
A. 0,450 μm. B. 0,478 μm .
C.0,415 μm. D. 0,427 μm.
Lời giải:
Chọn D.
Tổng số vân sáng của λ1 trên MN là 9
Tổng số VS của hệ 2 đơn sắc là 19 + 3 = 22 (vì có 3 VS trùng)
Số VS của λ2 là 22 - 9 = 13.
Ta có: MN = 8i1 = 12i2 → 8λ1 = 12λ2 → λ2 = 8λ1/12 = 0,4266 μm.
Bài 12: Trong thí nghiệm Iâng về giao thoa ánh sáng, khoảng cách giữa hai khe a = 2mm, khoảng cách từ hai khe đến màn ảnh D = 2m. Nguồn S phát đồng thời hai bức xạ có bước sóng λ1 = 0,5 μm và λ2 = 0,4 μm. Trên đoạn MN = 30mm (M và N ở một bên của O và OM = 5,5mm) có bao nhiêu vân tối bức xạ λ2 trùng với vân sáng của bức xạ λ1?
A. 12 B. 15 C. 14 D. 13
Lời giải:
Chọn B.
Khoảng vân:
Vị trí vân tối của λ2: x2 = (k2 + 0,5)i2 = (k2 + 0,5).0,4 (mm)
Vị trí vân sáng của λ1: x1 = k1.i1 = 0,5k1 (mm)
Vị trí vân tối bức xạ λ2 trùng với vân sáng của bức xạ λ1: 5,5 (mm) ≤ x2 = x1 ≤ 35,5 (mm)
→ (k2 + 0,5)i2 = k1i1 → 4k2 + 2 = 5k1 → 4k2 = 5k1 – 2
Để k2 là một số nguyên thì k1 – 2 = 4n (với n ≥ 0)
Do đó k1 = 4n + 2 và k2 = 5n + 2
Khi đó x1 = 0,5k1 = 2n + 1 → 5,5 (mm) ≤ x1 = 2n + 1 ≤ 35,5 (mm) → 3 ≤ n ≤ 17
Trên đoạn MN có 15 vân tối bức xạ λ2 trùng với vân sáng của bức xạ λ1.
Bài 13: (ĐH-2010): Trong thí nghiệm Y-âng về giao thoa ánh sáng, nguồn sáng phát đồng thời hai bức xạ đơn sắc, trong đó bức xạ màu đỏ có bước sóng 720 nm và bức xạ màu lục có bước sóng λ (có giá trị trong khoảng từ 500 nm đến 575 nm). Trên màn quan sát, giữa hai vân sáng gần nhau nhất và cùng màu với vân sáng trung tâm có 8 vân sáng màu lục. Giá trị của λ là
A. 500 nm. B. 520 nm.
C. 540 nm. D. 560 nm.
Lời giải:
Chọn D.
Điều kiện để hai bức xạ cho vân sáng trùng nhau là x1 = x2 → k1.λ1 = k2.λ2
Vì giữa hai vân cùng màu với vân trung tâm có 8 vân màu lục nên kl = 9, thay vào trên ta được kđ = 7, thay kđ = 7 vào ta được bước sóng của ánh sáng lục là 560 nm.
Bài 14 (ĐH-2008): Trong thí nghiệm giao thoa ánh sáng với khe Iâng (Y-âng), khoảng cách giữa hai khe là 2mm, khoảng cách từ mặt phẳng chứa hai khe đến màn quan sát là 1,2m. Chiếu sáng hai khe bằng ánh sáng hỗn hợp gồm hai ánh sáng đơn sắc có bước sóng 500 nm và 660 nm thì thu được hệ vân giao thoa trên màn. Biết vân sáng chính giữa (trung tâm) ứng với hai bức xạ trên trùng nhau. Khoảng cách từ vân chính giữa đến vân gần nhất cùng màu với vân chính giữa là
A. 4,9 mm. B. 19,8 mm.
C. 9,9 mm. D. 29,7 mm.
Lời giải:
Chọn C.
Vị trí trùng nhau của 2 bức xạ (có cùng màu với vân trung tâm:
→ Gần nhất khi n = 1 → xM = 9,9 mm.
Bài 15: Trong thí nghiệm I âng về giao thoa ánh sáng, khoảng cách giữa 2 khe I âng là a = 1 mm, khoảng cách từ 2 khe đến màn D = 2 m. chùm sáng chiếu vào khe S có 2 bước sóng trong do λ1 = 0,4 μm. trên màn xét khoảng MN = 4,8 mm đếm được 9 vân sáng với 3 vạch là kết quả trùng nhau của 2 vân sáng và 2 trong 3 vạch đó nằm tại M, N. Bước sóng λ2 = ?
A. 0,48 μm B. 0,6 μm
C. 0,64 μm D. 0,72 μm
Lời giải:
Chọn B.
Khoảng cách giữa 2 vân sáng gần nhau nhất cùng màu với vân trung tâm là 4,8 : 2 = 2,4 mm.
Trong khoảng đó có 5 vân sáng kể cả hai vân trùng ở hai đầu. Như vậy bức xạ λ1 có 4 vân sáng kể cả hai vân hai đầu.
Suy ra bức xạ λ2 trong khoảng đó có 3 vân sáng kể cả hai vân ở hai đầu.
Do đó khoảng vân i2 = 2,4 : 2 = 1,2 (mm)
Bài 16: Trong thí nghiệm Y- âng về giao thoa ánh sáng, nguồn S phát ra ba ánh sáng đơn sắc: λ1 = 0,42 μm(màu tím); λ2 = 0,56 μm (màu lục); λ3 = 0,70 μm (màu đỏ). Giữa hai vân sáng liên tiếp có màu giống như màu của vân trung tâm quan sát được vân quan sát được bao nhiêu vân màu tím, màu lục và màu đỏ?
A. 15 vân tím; 11 vân lục; 9 vân đỏ.
B.11 vân tím; 9 vân lục; 7 vân đỏ
C. 19 vân tím; 14 vân lục; 11 vân đỏ
D. 12 vân tím; 8 vân lục; 6 vân đỏ
Lời giải:
Chọn D.
Vị trí các vân cùng màu với vân trung tâm:
x = k1i1 = k2i2 = k3i3 → k1λ1 = k2λ2 = k3λ3 → 42 k1 = 56 k2 = 70 k3
hay 3k1 = 4 k2 = 5k3. Bội SCNN của 3, 4 và 5 là 60 → k1 = 20n; k2 = 15n; k3 = 12n.
Vị trí vân sáng cùng màu với vân trung tâm gần vân trung tâm nhất ứng với n = 1: k1 = 20; k2 = 15; k3 = 12
Vị trí hai vân sáng trùng nhau:
+) x12 = k1i1 = k2i2 → k1λ1 = k2λ2 → 42k1 = 56k2 → 3k1 = 4k2 → k1 = 4n12; k2 = 3n12
Trong khoảng giữa hai vân sáng gần nhau nhất cùng màu với vân trung tâm có 4 vân sáng của bức xạ λ1, λ2 trùng nhau là (k1 = 4; k2 = 3 ; k1 = 8, k2 = 6; k1 = 12; k2 = 9 ; k1 = 16, k2 = 12)
+) x23 = k2i2 = k3i3 → k2λ2 = k3λ3 → 56 k2 = 70 k3 → 4k2 = 5k2 → k2 = 5n23; k3 = 4n23.
Trong khoảng giữa hai vân sáng gần nhau nhất cùng màu với vân trung tâm có 2 vân sáng của bức xạ λ2, λ3 trùng nhau là (k2 = 5; k3 = 4; k2 = 10; k3 = 8)
+) x13 = k1i1 = k3i3 → k1λ1 = k3λ3 → 42 k1 = 70 k3 → 3k1 = 5k3 → k1 = 5n13; k3 = 3n13.
Trong khoảng giữa hai vân sáng gần nhau nhất cùng màu với vân trung tâm có 3 vân sáng của bức xạ λ1, λ3 trùng nhau là (k1: 5, 10, 15; k3: 3, 6, 9 )
Số vân sáng đơn sắc quan sát được trong khoảng hai vân sáng gần nhau nhất cùng màu với vân sáng trung tâm.
- Màu tím: 19 – 4 – 3 = 12;
- Màu lục: 14 – 4 – 2 = 8;
- Màu đỏ: 11 – 3 – 2 = 6
Bài 17: Trong thí nghiệm về giao thoa ánh sáng có a = 1mm D = 1m. Khe S được chiếu đồng thời ba bức xạ đơn sắc có bước sóng λ1 = 400nm; λ2 = 500nm ; λ3 = 600nm Gọi M là điểm nằm trong vùng giao thoa trên màn quan sát cách vị trí trung tâm O một khoảng 7mm. Tổng số vân sáng đơn sắc của ba bức xạ quan sát được trên đoạn OM là
A.19 B.25 C.31 D.42
Lời giải:
Chọn A.
Khoảng vân ứng với từng bức xạ là: i1 = 0,4mm; i2 = 0,5mm; i3 = 0,6mm
+ Số vạch sáng của bức xạ 1 là:
+ Số vạch bức xạ 2 là:
+ Số vạch sáng bức xạ 3 là:
+ Số vạch trùng của bức xạ 1 và 2: có tổng 6 vân.
+ Số vạch trùng bức xạ 1 và 3 là: i13 = 3i1 = 1,2: → có tổng 10 vân.
+ Số vạch trùng của bức xạ 2 và 3 là: i23 = 6i2 = 3mm: → có tổng 4 vân.
+ Số bức xạ trùng của cả 3:
Tọa độ trùng: x = ki1 = mi2 = ni3 → x = 0,4k = 0,5m = 0,6n ≤ 7
→ k = 15, m = 12, n = 10 có 1 vân trùng, tức là có 3 vân sáng trùng tại vị trí này
Vậy số vân sáng đơn sắc (chỉ 1 màu): N = 17 + 14 + 11 – 10 – 4 – 6 – 3 = 19 vân.
Bài 18: Trong thí nghiệm Y-âng về giao thoa ánh sáng, khoảng cách giữa hai khe là 1 mm, khoảng cách từ hai khe đến màn quan sát là 2 m. Nguồn sáng dùng trong thí nghiệm gồm hai bức xạ có bước sóng λ1 = 450 nm và λ2 = 600 nm. Trên màn quan sát, gọi M, N là hai điểm ở hai phía so với vân trung tâm và cách vân trung tâm lần lượt là 6,5 mm và 22 mm. Trên đoạn MN, ta quan sát được bao nhiêu vân sáng có màu của đơn sắc λ2?
A. 24. B. 32. C. 8. D. 16.
Lời giải:
Chọn D.
Ta có:
Vị trí vân trùng nhau thỏa mãn k1λ1 = k2λ2 → k1 : k2 = 4 : 3
Trong khoảng MN bức xạ 1 có 32 vân sáng; bức xạ 2 có 24 vân sáng
Trong đó có 8 vân trùng màu của hai bức xạ
Và có 40 vân đơn sắc trong đó có 24 bx 1 và 16 bx 2 và tổng có 48 vân sáng trong đoạn MN.
Bài 19: Trong thí nghiệm giao thoa ánh sáng dùng khe Y-âng, khoảng cách giữa hai khe là 1mm, khoảng cách từ hai khe đến màn quan sát là 1m. Chiếu đồng thời 3 bức xạ vào 2 khe hẹp có bước sóng λ1 = 0,4 μm, λ2 = 0,56 μm và λ3 = 0,6 μm. M và N là hai điểm trên màn sao cho OM = 21,5mm, ON = 12mm (M và N khác phía so với vân sáng trung tâm). Số vân sáng cùng màu với vân sáng trung tâm (kể cả vân sáng trung tâm) trên đoạn MN là
A. 7. B. 4. C. 5. D. 6.
Lời giải:
Chọn B.
k1λ1 = k2λ2
k3λ3 = k2λ2
→ Khoảng vân trùng: itrùng = 21i1 = 15i2 = 14i3 = 8,4 mm
→ có 2 vân trùng không kể vân TT.
→ có 1 vân trùng không kể vân TT.
→ Số vân sáng cùng màu với vân sáng trung tâm (kể cả vân TT) trên đoạn MN là: 4.
Bài 20: Thí nghiệm giao thoa ánh sáng bằng khe Young. Ánh sáng sử dụng gồm ba bức xạ đỏ, lục, lam có bước sóng lần lượt là: λ1 = 0,64 μm, λ2 = 0,54 μm, λ3 = 0,48 μm. Vân sáng đầu tiên kể từ vân sáng trung tâm có cùng màu với vân sáng trung tâm ứng với vân sáng bậc mấy của vân sáng màu lục?
A. 24 B. 27 C. 32 D. 18
Lời giải:
Chọn B.
Vân sáng đầu tiên có cùng màu với vân sáng trung tâm:
Dùng máy tính Fx570Es nhập vào sẽ ra phân số tối giản:
Vậy vị trí này có:
k1 = kđỏ = 27 (ứng với vân sáng bậc 27)
k2 = klục = 32 (ứng với vân sáng bậc 32)
k3 = klam = 36 (ứng với vân sáng bậc 36).
Bài 21: (CHUYÊN – ĐHSP) Trong thí nghiệm Y- âng về giao thoa ánh sáng đơn sắc: λ1(tím) = 0,4 μm, λ2(lam) = 0,48 μm, λ3(đỏ) = 0,72 μm. Giữa hai vân sáng liên tiếp có màu giống như màu của vân trung tâm có 35 vân màu tím. Số vân màu lam và vân màu đỏ nằm giữa hai vân sáng liên tiếp kể trên là
A. 27 vân lam, 15 vân đỏ
B. 30 vân lam, 20 vân đỏ
C. 29 vân lam, 19 vân đỏ
D. 31 vân lam, 21 vân đỏ
Lời giải:
Chọn C.
Ta có: i1/i2 = λ1/λ2 = 5/6 = a/b ; i1/i3 = λ1/λ3 = 5/9 = c/d
Khoảng vân trùng của 3 bức xạ là: itrùng = bdi1 = adi2 = bci3 ⇔ 54i1 = 45i2 = 30i3 (tối giản)
suy ra: itrùng = 36i1 = 30i2 = 20i3 (1)
Từ (1) số vân sáng của các bức xạ trong khoảng vân sáng cùng màu với vân sáng trung tâm:
Vân sáng của màu tím là: N1o = 36 – 1 = 35 vân
Vân sáng của màu lam là: N2o = 30 – 1 = 29 vân
Vân sáng của màu đỏ là: N3o = 20 – 1 = 19 vân.
Bài 22: Trong thí nghiệm khe Young về giao thoa ánh sáng, nguồn S phát ra đồng thời ba ánh sáng đơn sắc có bước sóng lần lượt: 0,40 μm (màu tím), 0,48 μm (màu lam) và 0,72 μm (màu đỏ). Giữa 2 vân sáng liên tiếp có màu giống như màu của vân trung tâm có bao nhiêu vân có màu đơn sắc lam và bao nhiêu vân có màu đơn sắc đỏ:
A. 11 vân lam, 5 vân đỏ.
B. 8 vân lam, 4 vân đỏ.
C. 10 vân lam, 4 vân đỏ.
D. 9 vân lam, 5 vân đỏ.
Lời giải:
Chọn B.
Khi 3 vân sáng trùng nhau ta có x1 = x2 = x3
Tỉ lệ:
Xét giữa 2 vân trùng (Vân TT với vân trùng ngay sát TT)
K2(lam): 1 → 14 có 14 vân lam, trong đó có 2 vân lam trùng vân tím và 4 vân lam trùng vân đỏ ; nên còn lại 14 – 2 - 4 = 8 vân đơn sắc lam
K3(đỏ): 1 → 9 có 9 vân đỏ, trong có 4 vân đỏ trùng với màu lam và 1 vân đỏ trùng với vân tím; nên còn lại 9 – 4 – 1 = 4 vân đơn sắc đỏ.
Bài 23: Trong thí nghiệm Iâng về giao thoa ánh sáng, hai khe cách nhau a = 1mm, hai khe cách màn quan sát 1 khoảng D = 2m. Chiếu vào hai khe đồng thời ba bức xạ có bước sóng λ1 = 0,4 μm, λ2 = 0,56 μm và λ3 = 0,72 μm. Hỏi trên đoạn MN về một phía so với vân trung tâm với xM = 1cm và xN = 10 cm có bao nhiêu vạch đen của 3 bức xạ trùng nhau?
A. 4. B. 3. C. 2. D. 5.
Lời giải:
Chọn C.
Vạch đen trùng nhau tương đương với vân tối trùng nhau
Điều này chỉ đúng khi a và b là các số nguyên lẻ
Áp dụng kết quả ta có:
+ Bức xạ 1 trùng 2 ta có:
+ Bức xạ 2 trùng 3 ta có:
Từ (1) và (2) ta chọn:
* Trùng nhau lần 1 khi:
* Trùng nhau lần 2 khi x2 = 3.x1 = 3.25,2 = 75,6mm.
* Trùng nhau lần 3 khi x3 = 5.x1 = 5.25,2 = 126mm.
Mà vùng khảo sát cách VSTT từ 10mm đến 100mm nên chỉ có 2 vị trí trùng nhau của vân tối 3 bức xạ.
Bài 24: Trong thí nghiệm giao thoa I-âng, khe S phát ra đồng thời 3 ánh sáng đơn sắc, có bước sóng tương ứng λ1 = 0,4 μm, λ2 = 0,48 μm và λ3 = 0,64 μm. Trên màn, trong khoảng giữa hai vân sáng liên tiếp có màu trùng với vân trung tâm, quan sát thấy số vân sáng không phải đơn sắc là
A. 11 B. 9 C. 44 D. 35
Lời giải:
Chọn B.
λ1/λ2 = 5/6 → k2 = 5; λ3/λ2 = 4/3 → k2 = 4
→ k2 = 20, k1 = 24, k3 = 15
λ1/λ3 = 5/8
λ1 trùng λ2: 20/5 - 1 = 3 vân
λ1 trùng λ3: 15/5 - 1 = 2 vân
λ1 trùng λ3: 20/4 - 1 = 4 vân
Tổng cộng 9 vân.
(199k) Xem Khóa học Vật Lí 12 KNTTXem Khóa học Vật Lí 12 CDXem Khóa học Vật Lí 12 CTST
Xem thêm các dạng bài tập Vật Lí lớp 12 ôn thi Tốt nghiệp có lời giải hay khác:
Đã có app VietJack trên điện thoại, giải bài tập SGK, SBT Soạn văn, Văn mẫu, Thi online, Bài giảng....miễn phí. Tải ngay ứng dụng trên Android và iOS.
Theo dõi chúng tôi miễn phí trên mạng xã hội facebook và youtube:Nếu thấy hay, hãy động viên và chia sẻ nhé! Các bình luận không phù hợp với nội quy bình luận trang web sẽ bị cấm bình luận vĩnh viễn.
- Giải Tiếng Anh 12 Global Success
- Giải sgk Tiếng Anh 12 Smart World
- Giải sgk Tiếng Anh 12 Friends Global
- Lớp 12 Kết nối tri thức
- Soạn văn 12 (hay nhất) - KNTT
- Soạn văn 12 (ngắn nhất) - KNTT
- Giải sgk Toán 12 - KNTT
- Giải sgk Vật Lí 12 - KNTT
- Giải sgk Hóa học 12 - KNTT
- Giải sgk Sinh học 12 - KNTT
- Giải sgk Lịch Sử 12 - KNTT
- Giải sgk Địa Lí 12 - KNTT
- Giải sgk Giáo dục KTPL 12 - KNTT
- Giải sgk Tin học 12 - KNTT
- Giải sgk Công nghệ 12 - KNTT
- Giải sgk Hoạt động trải nghiệm 12 - KNTT
- Giải sgk Giáo dục quốc phòng 12 - KNTT
- Giải sgk Âm nhạc 12 - KNTT
- Giải sgk Mĩ thuật 12 - KNTT
- Lớp 12 Chân trời sáng tạo
- Soạn văn 12 (hay nhất) - CTST
- Soạn văn 12 (ngắn nhất) - CTST
- Giải sgk Toán 12 - CTST
- Giải sgk Vật Lí 12 - CTST
- Giải sgk Hóa học 12 - CTST
- Giải sgk Sinh học 12 - CTST
- Giải sgk Lịch Sử 12 - CTST
- Giải sgk Địa Lí 12 - CTST
- Giải sgk Giáo dục KTPL 12 - CTST
- Giải sgk Tin học 12 - CTST
- Giải sgk Hoạt động trải nghiệm 12 - CTST
- Giải sgk Âm nhạc 12 - CTST
- Lớp 12 Cánh diều
- Soạn văn 12 Cánh diều (hay nhất)
- Soạn văn 12 Cánh diều (ngắn nhất)
- Giải sgk Toán 12 Cánh diều
- Giải sgk Vật Lí 12 - Cánh diều
- Giải sgk Hóa học 12 - Cánh diều
- Giải sgk Sinh học 12 - Cánh diều
- Giải sgk Lịch Sử 12 - Cánh diều
- Giải sgk Địa Lí 12 - Cánh diều
- Giải sgk Giáo dục KTPL 12 - Cánh diều
- Giải sgk Tin học 12 - Cánh diều
- Giải sgk Công nghệ 12 - Cánh diều
- Giải sgk Hoạt động trải nghiệm 12 - Cánh diều
- Giải sgk Giáo dục quốc phòng 12 - Cánh diều
- Giải sgk Âm nhạc 12 - Cánh diều


Giải bài tập SGK & SBT
Tài liệu giáo viên
Sách
Khóa học
Thi online
Hỏi đáp

