80 bài tập trắc nghiệm Sóng điện từ có lời giải (phần 1)
Với 80 bài tập trắc nghiệm Sóng điện từ (phần 1) có lời giải chi tiết sẽ giúp học sinh ôn tập, biết cách làm bài tập trắc nghiệm Sóng điện từ (phần 1)
80 bài tập trắc nghiệm Sóng điện từ có lời giải (phần 1)
(199k) Xem Khóa học Vật Lí 12 KNTTXem Khóa học Vật Lí 12 CDXem Khóa học Vật Lí 12 CTST
Câu 1: Một mạch dao động LC đang bức xạ ra sóng trung, để mạch đó bức xạ ra sóng ngắn thì phải
A. Mắc nối tiếp thêm vào mạch một điện trở thuần thích hợp
B. Mắc song song thêm vào mạch một tụ điện có điện dung thích hợp.
C. Mắc nối tiếp thêm vào mạch một tụ điện có điện dung thích hợp.
D. Mắc nối tiếp thêm vào mạch một cuộn dây thuần cảm thích hợp.
Lời giải:
Chọn C. Nhận xét các đáp án
Bước sóng của điện từ bức xạ: λ = c.T = 2πc√(LC). Vậy để mạch giảm bước sóng thì chu kỳ dao động của mạch phải giảm
A. Sai, vì mắc nối tiếp thêm vào mạch điện trở thuần thích hợp không làm thay đổi chu kỳ.
B. Sai, vì mắc song song thêm vào mạch một tụ điện thì điện dung của bộ tụ CB = C1 + C2 tăng, nên chu kỳ giảm
C. Đúng, vì mắc nối tiếp thêm vào mạch tụ điện thì điện dung của bộ tụ
giảm, nên chu kỳ giảm
D. Sai, vì mặc nối tiếp thêm vào mạch một cuộc dây thuần cảm thì cẩm kháng của bộ Lb = L1 + L2 tăng, nên chu kỳ tăng
Câu 2: Sóng được đài phát có công suất lớn có thể truyền đi mọi điểm trên mặt đất là
A. sóng trung. B. Sóng cực ngắn
C. Sóng ngắn. D. Sóng dài
Lời giải:
Chọn C. Nhận xét các đáp án
A. Sai, vì sóng trung bị tầng điện li hấp thụ nên không thể truyền đi xa
B. Sai, vì sóng cực ngắn không bị tầng điện li hấp thụ nên không thể truyền đi xa trên mặt đất, mà chỉ dùng trong thông tin liên lạc vũ trụ
C. Đúng, vì sóng ngắn bị tầng điện li và mặt đất phản xạ nên có khả năng truyền đi xa
D. Sai, vì sóng dài bị tầng điện li và mặt đất hấp thụ nên không thể truyền đi xa
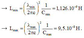
Câu 3: Một mạch dao động ở lối vào của máy thu thanh gồm tụ điện có điện dung thay đổi được từ 25 nF đến 600 nF và một cuộn cảm có độ tự cảm L thay đổi được. Máy có thể thu được sóng điện từ có bước sóng từ 10 m đến 450 m. Giá trị của L thỏa mãn
A. 1,4.10-7 H ≤ L ≤ 1, 876.10-7 H
B. 1,126.10-9 H ≤ L ≤ 95.10-7 H
C. 11,26.10-8 H ≤ L ≤ 95.10-7 H
D. 1,126.10-9 H ≤ L ≤ 0,95.10-7 H
Lời giải:
Ta có:
Câu 4: Mạch chọn sóng của một máy thu thanh gồm cuộn dây có độ tự cảm L = 2.10-6 H, điện trở thuần R = 0. Để máy thu thanh chỉ có thể thu được các sóng điện từ có bước sóng từ 57 m đến 753 m, người ta mắc tụ điện trong mạch trên bằng một tụ điện có điện dung biến thiên. Hỏi tụ điện này phải có điện dung trong khoảng nào
A. 3,91.10-10 F ≤ C ≤ 60,3.10-10 F
B. 2,05.10-7 F ≤ C ≤ 14,36.10-7 F
C. 0,12.10-8 F ≤ C ≤ 26,4.10-8 F
D. 0,45.10-9 F ≤ C ≤ 79,7.10-9 F
Lời giải:
Ta có:
Câu 5: Sóng nào sau đây không phải sóng điện từ?
A. Ánh sáng phát ra từ ngọn nến đang cháy.
B. Sóng của đài phát thanh (sóng radio)
C. Sóng của đài truyền hình (sóng ti vi)
D. Sóng điện thoại
Lời giải:
Chọn A. Nhận xét các đáp án:
A. Sai, vì ánh sáng nhìn thấy được ckhông phải là sóng điện từ
B. sóng của đài phát thanh (sóng radio) phải là sóng điện từ
C. sóng của đài truyền hình (sóng ti vi) là sóng vô tuyên nên nó là sóng điện từ
D. sóng điện thoại cũng là một loại sóng điện từ
Câu 6: Chọn một câu đúng khi nói về máy phát thanh đơn giản:
A. Sóng mang là sóng điện từ có biên độ lớn do máy phát dao động điện từ duy trì tạo rA.
B. Micro là dụng cụ làm tăng cường độ của sóng âm, làm ta nghe rõ hơn.
C. Trước khi truyền đến anten phát cần phải khuếch đại sóng âm tần.
D. Biến điệu biên độ là làm cho biên độ của sóng cao tần biến đổi với tần số bằng tần số của sóng âm tần.
Lời giải:
Chọn D. Nhận xét các đáp án
A. Sai, vì sóng mang là sóng điện từ có biên độ nhỏ do máy phát dao động điện từ duy trì tạo ra.
B. Sai, vì micro là dụng cụ chuyển sóng âm thành sóng âm tần
C. Sai, vì trước khi truyền đến anten phát cần khuyech đại sóng vô tuyến
D. Đúng, vì biến điệu biên độ là làm cho biên độ của sóng cáo tần biến đổi với tần số bằng tần số của sóng âm tần.
Câu 7: Chọn phát biểu sai về thang sóng điện từ:
A. các sóng có bước sóng càng ngắn thì năng lương càng lớn, nên càng dễ tác dụng lên kính ảnh
B. Các sóng có tần số càng nhỏ thì khả năng đâm xuyên càng mạnh.
C. Các sóng có tần số càng nhỏ thì càng dễ quan sát hiện tượng giao thoa của chúng.
D. Các sóng có bước sóng càng ngắn thì cáng dễ làm phát quang các chất và gây ion hóa chất khí
Lời giải:
Chọn B. Nhận xét các đáp án.
A. Phát biểu đúng, vì các sóng có bước sóng càng ngắn thì năng lương càng lớn, nên càng dễ tác dụng lên kính ảnh
B. Phát biểu đúng, vì các sóng có tần số càng nhỏ thì năng lượng càng nhỏ, nên khả năng đam xuyên càng kém
C. Phát biểu đúng vì các sóng có tàn số càng nhỏ thì bước sóng càng lớn, nên khoảng vâng càng lớn. Vì vậy càng dễ quan sát hiện tượng giao thoa của chúng
D. Phát biểu đúng vì các sóng có bước sóng càng ngắn thì càng dễ làm phát quang các chất và gây ion hóa chất khí
Câu 8: Sóng âm và sóng điện từ
A. loại siêu âm và vi sóng đều truyền được đi xa trong vũ trụ
B. có thể truyền được trong không khí và trong chân không.
C. có bước sóng giảm xuống khi truyền từ không khí vào nước
D. có thể phản xạ, nhiễu xạ và giao thoa.
Lời giải:
Chọn D. A sóng âm không thể truyền đi xa trong vũ trụ B sóng âm không thể truyền được trong chân không C sóng điện từ thì bước sóng không giảm D đặc trưng của sóng có thể phản xạ nhiễu xạ và giao thoa
Câu 9: Một mạch dao động LC đang thu được sóng ngắn. Để mạch có thể thu được sóng trung thì phải
A. mắc song song thêm vào mạch một tụ điện có điện dung thích hợp
B. mắc song song thêm vào mạch một cuộn dây có độ tự cảm thích hợp.
C. mắc nối tiếp thêm vào mạch một tụ điện có điện dung thích hợp
D. dùng điện môi giữa hai bản tụ có hằng số điện môi nhỏ hơn
Lời giải:
Chọn A.
Câu 10: Mạch chọn sóng dùng để thu các sóng dài có cấu tạo gồm cuộn cảm có độ tự cảm L và tụ điện có điện dung C. Để mạch có thể thu được các sóng trung ta cần phải:
A. tăng điện dung của tụ điện C.
B. Mắc nối tiếp thêm một tụ điện khác với tụ điện có sẵn trong mạch.
C. Mắc nối tiếp thêm một cuộn cảm khác với cuộn cảm có sẵn trong mạch.
D. Mắc song song thêm một tụ điện khác với tụ điện có sẵn trong mạch.
Lời giải:
Chọn B. để từ thu được sóng dài ta thu sóng trung →
1. tổng điện dung sau phải nhỏ hơn tổng điện dung trước → mắc nối tiếp C
2. tổng cảm kháng sau phải nhỏ hơn cảm kháng trước → mắc song song L
3. đống thời 1 và 2
Câu 11: Phát biểu nào sau đây là không đúng?
A. Điện từ trường biển thiên theo thời gian lan truyền trong không gian dưới dạng sóng. Đó là sóng điện từ.
B. Sóng điện từ lan truyền với vận tốc rất lớn. Trong chân không, vận tốc đó bằng 3.108m/s.
C. Sóng điện từ mang năng lượng. Bước sóng càng nhỏ thì năng lượng của sóng điện từ càng lớn.
D. Sóng điện từ là sóng ngang. Trong quá trình lan truyền sóng điện từ thì điện trường biến thiên và từ trường biến thiên dao động cùng phương và cùng vuông góc với phương truyền sóng.
Lời giải:
Chọn D. Sóng Điện Từ là một loại Sóng tạo từ hai sóng Sóng Điện E và Sóng Từ B vuông góc với nhau và cùng vuông góc với phương truyền sóng.
Câu 12: Một mạch dao động LC đang bức xạ được sóng ngắn. Để mạch đó bức xạ được sóng trung thì phải
A. mắc song song thêm vào mạch một tụ điện có điện dung thích hợp
B. mắc nối tiếp thêm vào mạch một điện trở thuần thích hợp.
C. mắc nối tiếp thêm vào mạch một tụ điện có điện dung thích hợp.
D. giảm độ tự cảm của cuộn dây
Lời giải:
Chọn A. Ta có: λ = 2πc√(LC)
Do sóng ngắn chuyển thành sóng trung nên λ1 < λ2 → C1 < C2 hoặc L1 < L2 hay tổng điện dung sau phải lớn hơn điện dung của tụ lúc trước hoặc tổng độ tự cảm sau phải lớn hơn độ tự cảm của cuộn dây lúc trước hoặc đồng thời
Nếu mắc song song: C = C1 + C2 + … + Cn → điện dung tăng, L = 1/L1 + 1/L2 + …. + 1/Ln → độ tự cảm giảm
Nếu mắc nối tiếp: C = 1/C1 + 1/C2 + … + 1/Cn → điện dung giảm, L = L1 + L2 + … + Ln → độ tự cảm tăng
Câu 13: Biến điệu sóng điện từ là quá trình:
A. Trộn sóng điện từ âm tần với sóng điện từ tần số cao.
B. Khuếch đại độ sóng điện từ.
C. Biến sóng điện từ tần số thấp thành sóng điện từ tần số cao.
D. Biến đổi sóng cơ thành sóng điện từ
Lời giải:
Chọn A.
Câu 14: Sóng điện từ là quá trình lan truyền của điện từ trường biến thiên, trong không gian. Khi nói về quan hệ giữa điện trường và từ trường của điện từ trường thì kết luận nào sau đây là đúng?
A. Tại một điểm của không gian, điện trường và từ trường luôn luôn dao động ngược pha.
B. Tại một điểm của không gian, điện trường và từ trường luôn luôn dao động lệch pha nhau π/2.
C. Vecto cường độ điện trường và cảm ứng từ cùng phương và cùng độ lớn.
D. Điện trường và từ trường biến thiên theo thời gian với cùng chu kì.
Lời giải:
Chọn D.
A. Sai vì Tại một điểm của không gian, điện trường và từ trường luôn luôn dao động cùng phA.
B. Sai vì tương tự A
C. Vecto cường độ điện trường và cảm ứng từ vuông góc với nhau
D. Đúng
Câu 15: Sóng điện từ khi truyền từ không khí vào nước thì:
A. tốc độ truyền sóng và bước sóng đều giảm.
B. tốc độ truyền sóng giảm, bước sóng tăng.
C. tốc độ truyền sáng tăng, bước sóng giảm.
D. tốc độ truyền sóng và bước sóng đều tăng.
Lời giải:
Chọn A. Ta có khi sóng điện từ khi truyền từ không khí vào nước thì tốc độ truyền sóng giảm từ đó bước sóng λ = v. T cũng giảm.
Câu 16: Khi nói về quá trình lan truyền của sóng điện từ, phát biểu nào sau đây là sai?
A. Sóng điện từ lan truyền được trong chân không.
B. Sóng điện từ là sóng ngang và mang năng lượng.
C. Véctơ cường độ điện trường E→ cùng phương với véctơ cảm ứng từ B→.
D. Dao động của điện trường và của từ trường tại một điểm luôn đồng pha nhau.
Lời giải:
Chọn C. Khi sóng điện từ lan truyền thì phương của vectơ cường độ điện trường E→ luôn vuông góc với vectơ cảm ứng từ B→. Vì thế kết luận C sai.
Câu 17: Khi nói về sóng ngắn, phát biểu nào sau đây sai?
A. Sóng ngắn phản xạ tốt trên tầng điện li.
B. Sóng ngắn không truyền được trong chân không.
C. Sóng ngắn phản xạ tốt trên mặt đất.
D. Sóng ngắn có mang năng lượng.
Lời giải:
Chọn B. Sóng ngắn là sóng điện từ có bước sóng nhỏ nên sóng ngắn vẫn truyền được trong chân không
Câu 18: Điều nào sau đây là SAI khi nói về nguyên tắc phát và thu sóng điện từ ?
A. Để phát sóng điện từ, người ta mắc phối hợp một máy phát dao động điều hòa với một ăngten.
B. Dao động điện từ thu được từ Mạch chọn sóng là dao động tự do với tần số bằng tần số riêng của mạch.
C. Để thu sóng điện từ người ta phối hợp ăngten với một mạch dao động.
D. Dao động điện từ thu được từ Mạch chọn sóng là dao động cưỡng bức có tần số bằng tần số của sóng.
Lời giải:
Chọn B. Điều SAI khi nói về nguyên tắc phát và thu sóng điện từ : Dao động điện từ thu được từ Mạch chọn sóng là dao động tự do với tần số bằng tần số riêng của mạch.
Câu 19: Mạch cộng hưởng dùng để thu các sóng trung. Để mạch có thể thu được các sóng dài thì cần phải
A. tăng điện dung cho tụ điện.
B. nối một tụ điện nối tiếp vào tụ đã có sẵn trong mạch.
C. mát hóa hay nối đất ăng–ten.
D. giảm số vòng dây của cuộn cảm L.
Lời giải:
Chọn A. λ = 2π√(LC) để bắt được sóng dài, nghĩa là λ tăng thì ta phải tìm cách tăng L hoặc C
Mạch cộng hưởng dùng để thu các sóng trung. Để mạch có thể thu được các sóng dài thì cần phải tăng điện dung cho tụ điện.
Câu 20: Tìm nhận xét Sai về thu phát sóng điện từ
A. Sự duy trì dao động trong máy phát dao động cùng tranzito tương tự như sự duy trì dao động của quả lắc trong đồng hồ quả lắc.
B. Muốn sóng điện từ được bức xạ, phải dung mạch dao động LC hở tức là cuộn L và tụ C mắc với nhau còn hai đầu để hở.
C. Để phát sóng điện từ, người ta mắc phối hợp một máy phát dao động điều hòa với một ăng ten.
D. Để thu sóng điện từ, người ta mắc phối hợp một ăng ten với một mạch dao động có tụ điện có điện dung C điều chinh được để tạo cộng hưởng về tần số của sóng cần thu.
Lời giải:
Chọn B. Nhận xét Sai về thu phát sóng điện từ :
Muốn sóng điện từ được bức xạ, phải dung mạch dao động LC hở tức là cuộn L và tụ C mắc với nhau còn hai đầu để hở.
Câu 21: Sóng vô tuyến có bước sóng nằm trong miền
A. từ hàng trăm đến hàng nghìn mét.
B. từ vài vạn nm đến vài chục vạn nm.
C. từ vài ngàn nm đến vài chục ngàn nm.
D. từ vài chục nm đến vài trăm nm.
Lời giải:
Chọn A. Sóng vô tuyến có bước sóng nằm trong miền từ hàng trăm đến hàng nghìn mét.
Câu 22: Sóng điện từ
A. có thành phần điện trường và thành phần từ trường tại một điểm dao động cùng phương.
B. là điện từ trường lan truyền trong không gian.
C. là sóng dọc hoặc sóng ngang.
D. không truyền được trong chân không.
Lời giải:
Chọn B.
Câu 23: Trong sơ đồ khối của một máy phát thanh dùng sóng vô tuyến không có bộ phận nào dưới đây?
A. Mạch biến điệu. B. Mạch tách sóng.
C. Mạch khuếch đại. D. Anten.
Lời giải:
Chọn B.
Câu 24: Dao động điện từ trong mạch LC được tạo thành do hiện tượng
A. tỏa nhiệt Jun-Lenxơ.
B. cộng hưởng điện.
C. tự cảm.
D. truyền sóng điện từ.
Lời giải:
Chọn C. Dao động điện từ trong mạch LC được tạo thành do hiện tượng tự cảm.
Câu 25: Một mạch dao động điện từ LC lí tưởng gồm cuộn cảm thuần độ tự cảm L và tụ điện có điện dung thay đổi được từ C1 đến C2. Mạch dao động này có chu kì dao động riêng thay đổi được
A. từ 4π√(LC1) đến 4π√(LC2)
B. từ 2√(LC1) đến 2√(LC2)
C. từ 4√(LC1) đến 4√(LC2).
D. từ 2π√(LC1) đến 2π√(LC2)
Lời giải:
Chọn D. Chu kỳ dao động riêng của mạch dao động điện từ LC là T = 2π√(LC). Vậy khi điện dung thay đổi từ 2π√(LC1) đến 2π√(LC2) thì chu kỳ dao động riêng thay đổi dược từ đến
Câu 26: Phát biểu nào sau đây là sai khi nói về sóng điện từ?
A. Khi sóng điện từ lan truyền, vectơ cường độ điện trường luôn cùng phương với vectơ cảm ứng từ.
B. Khi sóng điện từ lan truyền, vectơ cường độ điện trường luôn vuông góc với vectơ cảm ứng từ.
C. Sóng điện từ lan truyền được trong chân không.
D. Sóng điện từ là sóng ngang.
Lời giải:
Chọn A. khi sóng điện từ lan truyền, vectơ cường độ điện trường luôn vuông góc với vectơ cảm ứng ứng từ và chúng vuông góc với phương truyền sóng. vif thế kết luận A là sai.
Câu 27: Trong thông tin vũ trụ người ta thường dùng sóng:
A. Vô tuyến cực dài vì năng lượng sóng lớn.
B. Sóng trung vì bị tầng điện li phản xạ.
C. Vô tuyến cực ngắn vì có năng lượng lớn.
D. Sóng ngắn vì bị tầng điện li phản xạ.
Lời giải:
Chọn C. Chỉ có sóng cực ngắn là không bị tầng điện li phản xạ, còn các sóng dài, sóng trung, sóng ngắn bị tầng điện li phản xạ mạnh
Câu 28: Kết luận nào sau đây là đúng khi so sánh sóng điện từ và sóng cơ học?
A. Chúng đều có khả năng phản xạ và có thể giao thoa với nhau.
B. Cả hai loại sóng này đều là sóng ngang.
C. Bước sóng của sóng điện từ lớn hơn sóng cơ vì vận tốc truyền sóng điện từ lớn hơn.
D. Vận tốc truyền của cả hai loại đều phụ thuộc vào tính đàn hồi của môi trường.
Lời giải:
Chọn A. Nhận xét các đáp án:
A. Đúng vì cả sóng điện từ và sóng cơ học đều có thể phản xạ và giao thoa với nhau
B. Sai vì sóng cơ học còn có thể là sóng dọc
C. Sai
D. Sai
Câu 29: Trong mạch dao động LC thì cường độ dòng điện trong mạch và điện tích của tụ điện dao động điều hòa:
A. Cùng pha B. Ngược pha
C. Lệch pha π/2 D. Lệch pha π/4
Lời giải:
Chọn C. Trong mạch dao động LC thì cường độ dòng điện trong mạch và điện tích của tụ điện dao động điều hòa lệch pha π/2
Câu 30: Chọn phát biểu sai. Sóng vô tuyến cực ngắn
A. Ít bị tầng điện li hấp thụ hoặc phản xạ.
B. Có khả năng truyền đi rất xa theo đường thẳng.
C. Được dùng trong thông tin vũ trụ.
D. Không được dùng trong vô tuyến truyền thanh.
Lời giải:
Chọn D. Sóng vô tuyến cực ngắn cũng được dùng trong vô tuyến truyền thanh (sóng FM) .
(199k) Xem Khóa học Vật Lí 12 KNTTXem Khóa học Vật Lí 12 CDXem Khóa học Vật Lí 12 CTST
Xem thêm các dạng bài tập Vật Lí lớp 12 ôn thi Tốt nghiệp có lời giải hay khác:
Đã có app VietJack trên điện thoại, giải bài tập SGK, SBT Soạn văn, Văn mẫu, Thi online, Bài giảng....miễn phí. Tải ngay ứng dụng trên Android và iOS.
Theo dõi chúng tôi miễn phí trên mạng xã hội facebook và youtube:Nếu thấy hay, hãy động viên và chia sẻ nhé! Các bình luận không phù hợp với nội quy bình luận trang web sẽ bị cấm bình luận vĩnh viễn.
- Giải Tiếng Anh 12 Global Success
- Giải sgk Tiếng Anh 12 Smart World
- Giải sgk Tiếng Anh 12 Friends Global
- Lớp 12 Kết nối tri thức
- Soạn văn 12 (hay nhất) - KNTT
- Soạn văn 12 (ngắn nhất) - KNTT
- Giải sgk Toán 12 - KNTT
- Giải sgk Vật Lí 12 - KNTT
- Giải sgk Hóa học 12 - KNTT
- Giải sgk Sinh học 12 - KNTT
- Giải sgk Lịch Sử 12 - KNTT
- Giải sgk Địa Lí 12 - KNTT
- Giải sgk Giáo dục KTPL 12 - KNTT
- Giải sgk Tin học 12 - KNTT
- Giải sgk Công nghệ 12 - KNTT
- Giải sgk Hoạt động trải nghiệm 12 - KNTT
- Giải sgk Giáo dục quốc phòng 12 - KNTT
- Giải sgk Âm nhạc 12 - KNTT
- Giải sgk Mĩ thuật 12 - KNTT
- Lớp 12 Chân trời sáng tạo
- Soạn văn 12 (hay nhất) - CTST
- Soạn văn 12 (ngắn nhất) - CTST
- Giải sgk Toán 12 - CTST
- Giải sgk Vật Lí 12 - CTST
- Giải sgk Hóa học 12 - CTST
- Giải sgk Sinh học 12 - CTST
- Giải sgk Lịch Sử 12 - CTST
- Giải sgk Địa Lí 12 - CTST
- Giải sgk Giáo dục KTPL 12 - CTST
- Giải sgk Tin học 12 - CTST
- Giải sgk Hoạt động trải nghiệm 12 - CTST
- Giải sgk Âm nhạc 12 - CTST
- Lớp 12 Cánh diều
- Soạn văn 12 Cánh diều (hay nhất)
- Soạn văn 12 Cánh diều (ngắn nhất)
- Giải sgk Toán 12 Cánh diều
- Giải sgk Vật Lí 12 - Cánh diều
- Giải sgk Hóa học 12 - Cánh diều
- Giải sgk Sinh học 12 - Cánh diều
- Giải sgk Lịch Sử 12 - Cánh diều
- Giải sgk Địa Lí 12 - Cánh diều
- Giải sgk Giáo dục KTPL 12 - Cánh diều
- Giải sgk Tin học 12 - Cánh diều
- Giải sgk Công nghệ 12 - Cánh diều
- Giải sgk Hoạt động trải nghiệm 12 - Cánh diều
- Giải sgk Giáo dục quốc phòng 12 - Cánh diều
- Giải sgk Âm nhạc 12 - Cánh diều


Giải bài tập SGK & SBT
Tài liệu giáo viên
Sách
Khóa học
Thi online
Hỏi đáp

