Cách tìm khoảng giới hạn cho mạch chọn sóng (hay, chi tiết)
Bài viết Cách tìm khoảng giới hạn cho mạch chọn sóng với phương pháp giải chi tiết giúp học sinh ôn tập, biết cách làm bài tập Cách tìm khoảng giới hạn cho mạch chọn sóng.
Cách tìm khoảng giới hạn cho mạch chọn sóng (hay, chi tiết)
(199k) Xem Khóa học Vật Lí 12 KNTTXem Khóa học Vật Lí 12 CDXem Khóa học Vật Lí 12 CTST
A. Phương pháp & Ví dụ
1. Phương pháp
a) Nếu λ1 ≤ λ ≤ λ2 thì C sẽ biến thiên:
b) Nếu λ1 ≤ λ ≤ λ2 thì L sẽ biến thiên:
2. Ví dụ
Ví dụ 1: Mạch chọn sóng của máy thu vô tuyến có độ tự cảm L = 2μH và điện dung Cv thay đổi được. Biết tốc độ sóng điện từ là 3.108 m/s và lấy π2 = 10. Biết mạch có thể bắt được sóng điện từ có bước sóng 60m đến 144m. Cv có giá trị nào sau đây?
A. 100pF ≤ Cv ≤ 500pF
B. 200pF ≤ Cv ≤ 1260pF
C. 450pF ≤ Cv ≤ 2880pF
D. 500pF ≤ Cv ≤ 2918pF
Lời giải:
Vận dụng công thức, ta có:
Đáp án D.
B. Bài tập trắc nghiệm
Câu 1: Trong Mạch chọn sóng của một máy thu vô tuyến điện, bộ cuộn cảm có độ tự cảm thay đổi từ 1 mH đến 25 mH. Để mạch chỉ bắt được các sóng điện từ có bước sóng từ 120 m đến 1200 m thì bộ tụ điện phải có điện dụng biến đổi từ
A. 16 pF đến 160 nF
B. 4 pF đến 16 pF
C. 4 pF đến 400 pF
D. 400 pF đến 160 nF
Lời giải:
Ta có λ = cT = c. 2π√(LC)
Câu 2: Mạch dao động ở lối vào của một máy thu thanh có thể bắt được các sóng ngắn và sóng trung có bước sóng từ 10 m đến 1 km. Biết điện dung C của tụ điện biến thiên trong khoảng từ 15 pF đến 860 pF; vận tốc ánh sáng trong chân không c = 3. 108 m/s. Độ tự cảm L của mạch biến thiên trong khoảng
A. 1, 876 μH ≤ L ≤ 327 μH
B. 1, 876 μH ≤ L ≤ 327 mH
C. 1, 876 mH ≤ L ≤ 327 mH
D. 1, 876 H ≤ L ≤ 327 H
Lời giải:
Ta có λ = cT = c. 2π√(LC)
Câu 3: Một Mạch chọn sóng gồm cuộn cảm có độ tự cảm 4 μH và một tụ điện có điện dung biến đổi từ 5 pF đến 400 pF. Lấy π = 10. Dải sóng vô tuyến thu được với mạch trên có bước sóng trong khoảng
A. Từ 84 m đến 754 m
B. Từ 8,4 m đến 75,4 m
C. Từ 48 m đến 192 m
D. Từ 4,8 m đến 19,2 m
Lời giải:
Ta có λ = cT = 2πc√(LC)
Mà 5 pF ≤ C ≤ 400 pF
→ 8, 4 m ≤ λ ≤ 75, 4 m.
Câu 4: Mạch dao động của một máy thu vô tuyến điện gồm cuộn dây có độ tự cảm L = 1 mH và một tụ điện có điện dung thay đổi được. Để máy thu bắt được sóng vô tuyến có tần số từ 2,8 MHz đến 4,5 MHz thì điện dung của tụ phải thay đổi trong khoảng
A. 1,25 pF ≤ C ≤ 3,23 pF
B. 2μF ≤ C ≤ 2,8 μF
C. 12,5 pF ≤ C ≤ 32,3 pF
D. 0,2μF ≤ C ≤ 0,28 μF
Lời giải:
Ta có:
Câu 5: Mạch dao động của một máy thu vô tuyến gồm cuộn cảm L = 5 μH và tụ xoay có điện dụng biến thiên từ C = 10 pF đến C = 250 pF. Dải sóng điện từ mà máy thu được có bước sóng là
A. 15, 5 m → 41, 5 m
B. 13, 3 m → 66, 6 m
C. 13, 3 m → 92, 5 m
D. 11 m → 75 m
Lời giải:
Ta có λ = cT = c.2π√(LC)
Mà 10 pF ≤ C ≤ 250 pF
→ 13,3 m ≤ λ ≤ 66,6 m.
Câu 6: Xét mạch dao động điện từ tự do lí tưởng được dùng làm Mạch chọn sóng máy thu. Mạch thứ nhất, mạch thứ hai và mạch thứ ba có cuộn cảm thuần với độ tự cảm lần lượt là L1, L2, L3 và tụ điện với điện dung lần lượt là C1, C2, C3 . Biết rằng L1 > L2 > L3 và
Bước sóng điện từ mà mạch thứ nhất, mạch thứ hai và mạch thứ ba có thể bắt được lần lượt là λ1, λ2, λ3 . Hãy chọn hệ thức đúng.
A. λ1 > λ2 > λ3
B. λ3 > λ2 > λ1
C. λ1 > λ3 > λ2
D. λ3 > λ1 > λ2
Lời giải:
Ta có: λ = cT = c.2πλ(LC)
Do L1 > L2 > L3 và C3 < C2 < C1 λ λ1 > λ2 > λ3 .
Câu 7: Một mạch dao động LC lí tưởng gồm cuộn cảm thuần có độ tự cảm không đổi, tụ điện có điện dung C thay đổi. Khi C = C1 thì tần số dao động riêng của mạch là 7,5 MHz và khi C = C2 thì tần số dao động riêng của mạch là 10 MHz. Nếu C = C1 + C2 thì tần số dao động riêng của mạch là
A. 12, 5 MHz. B. 2, 5 MHz.
C. 17, 5 MHz. D. 6, 0 MHz.
Lời giải:
Câu 8: Một Mạch chọn sóng để thu được sóng có bước sóng 20 m thì cần chỉnh điện dung của tụ là 200 pF. Để thu được bước sóng 21 m thì chỉnh điện dung của tụ là
A. 220, 5 pF. B. 190, 47 pF.
C. 210 pF. D. 181, 4 mF.
Lời giải:
λ = 2πc√(LC); λ’ = 2πc√(LC)
Câu 9: Mạch dao động lý tưởng gồm cuộn cảm thuần có độ tự cảm L không đổi và có tụ điện có điện dung C thay đổi được. Khi C = C1 thì tần số dao động riêng của mạch bằng 30 kHz và khi C = C2 thì tần số dao động riêng của mạch bằng 40 kHz. Nếu
thì tần số dao động riêng của mạch bằng
A. 50 kHz. B. 24 kHz.
C. 70 kHz. D. 10 kHz.
Lời giải:
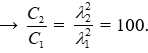
Câu 10: Mạch chọn sóng của một máy thu thanh gồm cuộn cảm thuần có độ tự cảm không đổi và một tụ điện có thể thay đổi điện dung. Khi tụ điện có điện dung C1, mạch thu được sóng điện từ có bước sóng 100 m; khi tụ điện có điện dung C2, mạch thu được sóng điện từ có bước sóng 1 km. Tỉ số C2/C1 là
A. 10. B. 1000.
C. 100. D. 0,1.
Lời giải:
λ1 = 2πc√(LC1); λ2 = 2πc√(LC2)
Câu 11: Một mạch dao động LC lí tưởng gồm cuộn cảm thuần và tụ điện có điện dung C (thay đổi được). Khi C = C1 thì tần số dao động riêng của mạch là 7,5 MHz và khi C = C2 thì tần số dao động riêng của mạch là 10 MHz. Khi C = C1 + C2 thì tần số dao động riêng của mạch là
A. 12,5 MHz. B. 6,0 MHz.
C. 2,5 MHz. D. 17,5 MHz.
Lời giải:
Câu 12: Mạch thu sóng điện từ gồm cuộn dây thuần cảm có độ tự cảm không đổi và tụ điện có điện dung biến đổi. Để thu được sóng có bước sóng 90 m, người ta phải điều chỉnh điện dung của tụ là 300 pF. Để thu được sóng 91 m thì phải
A. tăng điện dung của tụ thêm 303,3 pF.
B. tăng điện dung của tụ thêm 306,7 pF.
C. tăng điện dung của tụ thêm 3,3 pF.
D. tăng điện dung của tụ thêm 6,7 pF.
Lời giải:
Ta có: λ = 2πc√(LC); λ’ = 2πc√(LC')
Câu 13: Mạch chọn sóng của một máy thu vô tuyến điện gồm tụ điện có điện dung C0 và cuộn cảm thuần có độ tự cảm L, thu được sóng điện từ có bước sóng 20 m. Để thu được sóng điện từ có bước sóng 60 m, phải mắc song song với tụ điện C0 của mạch dao động một tụ điện có điện dung
A. C = C0. B. C = 2C0.
C. C = 8C0. D. C = 4C0.
Lời giải:
λ0 = 2πc√(LC0); λ’ = 2πc√(LC')
C = C’ – C0 = 8C0.
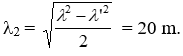
Câu 14: Mạch dao động LC lý tưởng. Nếu điện dung của tụ là C = C1 + C2 thì bước sóng mà mạch thu được là 30 m. Nếu điện dung của tụ là C’ = C1 - C2 (C1 > C2) thì bước sóng mà mạch thu được là 10 m. Bước sóng mà mạch thu được khi điện dung của tụ là C1 và C2lần lượt là
A. 20 m và 22, 36 m. B. 20 m và 23, 40 m.
C. 22, 36 m và 20 m. D. 40 m và 36, 40 m.
Lời giải:
Với C = C1 + C2 thì
Với C' = C1 - C2 thì
(199k) Xem Khóa học Vật Lí 12 KNTTXem Khóa học Vật Lí 12 CDXem Khóa học Vật Lí 12 CTST
Xem thêm các dạng bài tập Vật Lí lớp 12 ôn thi Tốt nghiệp có lời giải hay khác:
Đã có app VietJack trên điện thoại, giải bài tập SGK, SBT Soạn văn, Văn mẫu, Thi online, Bài giảng....miễn phí. Tải ngay ứng dụng trên Android và iOS.
Theo dõi chúng tôi miễn phí trên mạng xã hội facebook và youtube:Nếu thấy hay, hãy động viên và chia sẻ nhé! Các bình luận không phù hợp với nội quy bình luận trang web sẽ bị cấm bình luận vĩnh viễn.
- Giải Tiếng Anh 12 Global Success
- Giải sgk Tiếng Anh 12 Smart World
- Giải sgk Tiếng Anh 12 Friends Global
- Lớp 12 Kết nối tri thức
- Soạn văn 12 (hay nhất) - KNTT
- Soạn văn 12 (ngắn nhất) - KNTT
- Giải sgk Toán 12 - KNTT
- Giải sgk Vật Lí 12 - KNTT
- Giải sgk Hóa học 12 - KNTT
- Giải sgk Sinh học 12 - KNTT
- Giải sgk Lịch Sử 12 - KNTT
- Giải sgk Địa Lí 12 - KNTT
- Giải sgk Giáo dục KTPL 12 - KNTT
- Giải sgk Tin học 12 - KNTT
- Giải sgk Công nghệ 12 - KNTT
- Giải sgk Hoạt động trải nghiệm 12 - KNTT
- Giải sgk Giáo dục quốc phòng 12 - KNTT
- Giải sgk Âm nhạc 12 - KNTT
- Giải sgk Mĩ thuật 12 - KNTT
- Lớp 12 Chân trời sáng tạo
- Soạn văn 12 (hay nhất) - CTST
- Soạn văn 12 (ngắn nhất) - CTST
- Giải sgk Toán 12 - CTST
- Giải sgk Vật Lí 12 - CTST
- Giải sgk Hóa học 12 - CTST
- Giải sgk Sinh học 12 - CTST
- Giải sgk Lịch Sử 12 - CTST
- Giải sgk Địa Lí 12 - CTST
- Giải sgk Giáo dục KTPL 12 - CTST
- Giải sgk Tin học 12 - CTST
- Giải sgk Hoạt động trải nghiệm 12 - CTST
- Giải sgk Âm nhạc 12 - CTST
- Lớp 12 Cánh diều
- Soạn văn 12 Cánh diều (hay nhất)
- Soạn văn 12 Cánh diều (ngắn nhất)
- Giải sgk Toán 12 Cánh diều
- Giải sgk Vật Lí 12 - Cánh diều
- Giải sgk Hóa học 12 - Cánh diều
- Giải sgk Sinh học 12 - Cánh diều
- Giải sgk Lịch Sử 12 - Cánh diều
- Giải sgk Địa Lí 12 - Cánh diều
- Giải sgk Giáo dục KTPL 12 - Cánh diều
- Giải sgk Tin học 12 - Cánh diều
- Giải sgk Công nghệ 12 - Cánh diều
- Giải sgk Hoạt động trải nghiệm 12 - Cánh diều
- Giải sgk Giáo dục quốc phòng 12 - Cánh diều
- Giải sgk Âm nhạc 12 - Cánh diều


Giải bài tập SGK & SBT
Tài liệu giáo viên
Sách
Khóa học
Thi online
Hỏi đáp

