Các dạng bài tập Công suất của mạch điện xoay chiều có lời giải
Các dạng bài tập Công suất của mạch điện xoay chiều có lời giải
(199k) Xem Khóa học Vật Lí 12 KNTTXem Khóa học Vật Lí 12 CDXem Khóa học Vật Lí 12 CTST
Phần Công suất của mạch điện xoay chiều Vật Lí lớp 12 với 2 dạng bài tập chọn lọc giúp ôn thi Tốt nghiệp môn Vật Lí và trên 100 bài tập trắc nghiệm có lời giải. Vào Xem chi tiết để theo dõi các dạng bài Công suất của mạch điện xoay chiều hay nhất tương ứng.
- Bài tập về công suất của mạch điện xoay chiều ôn thi Tốt nghiệp (có lời giải) Xem chi tiết
40 bài tập trắc nghiệm Công suất của mạch điện xoay chiều có lời giải (phần 1)
40 bài tập trắc nghiệm Công suất của mạch điện xoay chiều có lời giải (phần 2)
Cách tính Công suất của dòng điện xoay chiều
A. Phương pháp & Ví dụ
1. Phương pháp
2. Ví dụ
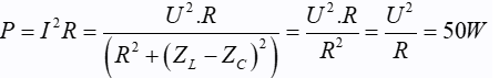
Ví dụ 1: Đặt điện áp u = 100√2cos(100πt) vào hai đầu đoạn mạch RLC không phân nhánh với L, R có độ lớn không đổi và C = 1/20π mF. Khi đó hiệu điện thế hiệu dụng giữa hai đầu mỗi phần tử R, L và C có độ lớn như nhau. Công suất tiêu thụ của đoạn mạch là
A. 80 W.
B. 50 W.
C. 100 W.
D. 125 W.
Lời giải:
Do điện áp hai đầu mỗi phần tử bằng nhau nên ta có:
UR = UL = UC
→ I. R = I. ZL = I. ZC
→ R = ZL = ZC
Khi đó hiện tượng cộng hưởng sẽ xảy ra.
Mà ZC = 1/ ωC nên R = 200Ω .
Công suất tiêu thụ của đoạn mạch:
Ví dụ 2: Đặt một điện áp u = 120√6cos(100πt) vào hai đầu một đoạn mạch có R, L, C mắc nối tiếp. Biết R = 50 Ω, độ lệch pha giữa điện áp ở hai dầu đoạn mạch và cường độ dòng điện trong mạch là π/6. Công suất tiêu thụ của đoạn mạch là
A. 216 W.
B. 648 W.
C. 864 W.
D. 468 W.
Lời giải:
chọn B.
Ví dụ 3: Đặt điện áp u = Uocos(ωt + π/3)(V) vào hai đầu đoạn mạch gồm điện trở thuần, cuộn cảm thuần và tụ điện mắc nối tiếp. Biết cường độ dòng điện trong mạch có biểu thức i = √6(ωt + π/6)(A) và công suất tiêu thụ của đoạn mạch bằng 150 W. Giá trị Uo bằng
A. 100 V.
B. 100√3 V.
C. 120 V.
D. 100√2 V.
Lời giải:
Góc lệch pha giữa u và i trong mạch:
Cách tính Hệ số công suất của mạch điện xoay chiều
A. Phương pháp & Ví dụ
1. Phương pháp
Khi ZL = ZC thì mạch xảy ra hiện tượng cộng hưởng điện nên cosΦ = 1
2. Ví dụ
Ví dụ 1: Khi có một dòng điện xoay chiều chạy qua cuộn dây có điện trở thuần 50 Ω thì hệ số công suất của cuộn dây bằng 0,8. Cảm kháng của cuộn dây đó bằng
A. 45,5 Ω.
B. 91,0 Ω.
C. 37,5 Ω.
D. 75,0 Ω.
Lời giải:
Áp dụng công thức tính hệ số công suất ta có:
Chọn C
Ví dụ 2: Đặt điện áp xoay chiều u = U√2cos(ωt) vào hai đầu đoạn mạch RLC mắc nối tiếp (cuộn dây thuần cảm). Khi nối tắt tụ C thì điện áp hiệu dụng trên điện trở R tăng 2 lần và dòng điện trong hai trường hợp này vuông pha nhau. Hệ số công suất của đoạn mạch lúc sau bằng
Lời giải:
Ta có công thức về hệ số công suất trong 2 trường hợp của mạch:
Chọn A
Bài tập về công suất của mạch điện xoay chiều trong đề thi Đại học
Bài 1: [THPT QG năm 2015 – Câu 25 - M138] Đặt điện áp u = 200√2cos100πt (V) vào hai đầu một điện trở thuần 100Ω . Công suất tiêu thụ của điện trở bằng
A. 800 W. B. 200 W. C. 300 W. D. 400 W.
Lời giải:
Đáp án: D
Công suất tiêu thụ trên đoạn mạch xoay chiều chỉ có điện trở thuần (hoặc đoạn mạch xoay chiều có cộng hưởng
điện)
P =
= 400 W
Bài 2: [THPT QG năm 2015 – Câu 28 - M138] Đặt một điện áp xoay chiều có giá trị hiệu dụng 200 V vào hai đầu đoạn mạch gồm cuộn cảm thuần mắc nối tiếp với điện trở thuần. Biết điện áp hiệu dụng ở hai đầu điện trở là 100 V. Hệ số công suất của đoạn mạch bằng
A. 0,8. B. 0,7. C. 1. D. 0,5.
Lời giải:
Đáp án: D
Hệ số công suất của đoạn mạch xoay chiều: cosω = = 0,5
Bài 3: [THPT QG năm 2017 – Câu 3 – M201] Đặt điện áp xoay chiều vào hai đầu đoạn mạch gồm điện trở R và tụ điện mắc nối tiếp thì dung kháng của tụ điện là ZC. Hệ số công suất của đoạn mạch là
A.
B.
C.
D.
Lời giải:
Đáp án: D
Hệ số công suất của đoạn mạch:
Bài 4: [THPT QG năm 2017 – Câu 7 – M203] Đặt điện áp xoay chiều vào hai đầu một đoạn mạch gồm điện trở R, cuộn cảm thuần và tụ điện mắc nối tiếp. Biết cảm kháng và dung kháng của đoạn mạch lần lượt là ZL và ZC. Hệ số công suất của đoạn mạch là
A.
B.
C.
D.
Lời giải:
Đáp án: A
Hệ số công suất của mạch
cosφ =
Bài 5: [THPT QG năm 2017 – Câu 1 – M204Đặt điện áp xoay chiều vào hai đầu một đoạn mạch mắc nối tiếp gồm điện trở R và cuộn cảm thuần thì cảm kháng của cuộn cảm là ZL. Hệ số công suất của đoạn mạch là
A.
B.
C.
D.
Lời giải:
Đáp án: C
Hệ số công suất của đoạn mạch gồm R và cuộn dây thuần cảm là cosφ =
Bài 6: [THPT QG năm 2018 – Câu 19 – M201] Đặt vào hai đầu điện trở một điện áp xoay chiều có giá trị hiệu dụng không đổi và tần số f thay đổi được. Khi f = f0 và f = 2f0 thì công suất tiêu thụ của điện trở tương ứng là P1 và P2. Hệ thức nào sau đây đúng?
A. P2 = 0,5P1 B. P2 = 2P1
C. P2 = P1 D. P2 = 4P1
Lời giải:
Đáp án: C
Đoạn mạch xoay chiều chỉ có điện trở, công suất tiêu thụ không phụ thuộc vào tần số.
Bài 7: [THPT QG năm 2018 – Câu 16 – M210] Đặt điện áp u = 200√2cos100πt (V) vào hai đầu đoạn mạch thì cường độ dòng điện trong đoạn mạch là i = 5√2cos100πt (A). Hệ số công suất của đoạn mạch là
A. 0 B. 1 C. 0,71 D. 0,87
Lời giải:
Đáp án: B
u và i cùng pha ⇒ cosφ = 1
Bài 8:[THPT QG năm 2019 – Câu 18 – M218] Đặt điện áp u = 220√2cos(100πt +
) vào hai đầu đoạn mạch thì cường độ dòng điện trong đoạn mạch là i=2√2cos100πt (A) Hệ số công suất của đoạn mạch là
A. 0,7. B. 0,8. C. 0,9. D. 0,5.
Lời giải:
Đáp án: D
cosφ = cos
= 0,5
Bài 9: [THPT QG năm 2019 – Câu 22 – M223] Đặt điện áp u = i=200√2cos100πt (V) vào hai đầu của đoạn mạch thì cường độ dòng điện trong đoạn mạch là i=2√2cos100πt (A). Công suất tiêu thụ của đoạn mạch là
A. 110 W B. 440 W C. 880 W D. 220 W
Lời giải:
Đáp án: B
P = UIcosφ = 220.0.cos0 = 440W
Bài 10:[THPT QG năm 2019 – Câu 16 – M206] Đặt điện áp xoay chiều vào hai đầu một đoạn mạch thì công suất tiêu thụ của đoạn mạch là 750 W. Trong khoảng thời gian 6 giờ, điện năng mà đoạn mạch tiêu thụ là
A. 4,5 kWh B. 4500 kWh
C. 16,2 kWh D. 16200 kWh
Lời giải:
Đáp án: A
Q = Pt = 750.6 = 4,5 kWh
(199k) Xem Khóa học Vật Lí 12 KNTTXem Khóa học Vật Lí 12 CDXem Khóa học Vật Lí 12 CTST
Xem thêm các dạng bài tập Vật Lí lớp 12 ôn thi Tốt nghiệp có lời giải hay khác:
- Tổng hợp Lý thuyết Chương Dòng điện xoay chiều
Chủ đề: Phương pháp giản đồ vectơ trong dòng điện xoay chiều
Đã có app VietJack trên điện thoại, giải bài tập SGK, SBT Soạn văn, Văn mẫu, Thi online, Bài giảng....miễn phí. Tải ngay ứng dụng trên Android và iOS.
Theo dõi chúng tôi miễn phí trên mạng xã hội facebook và youtube:Nếu thấy hay, hãy động viên và chia sẻ nhé! Các bình luận không phù hợp với nội quy bình luận trang web sẽ bị cấm bình luận vĩnh viễn.
- Giải Tiếng Anh 12 Global Success
- Giải sgk Tiếng Anh 12 Smart World
- Giải sgk Tiếng Anh 12 Friends Global
- Lớp 12 Kết nối tri thức
- Soạn văn 12 (hay nhất) - KNTT
- Soạn văn 12 (ngắn nhất) - KNTT
- Giải sgk Toán 12 - KNTT
- Giải sgk Vật Lí 12 - KNTT
- Giải sgk Hóa học 12 - KNTT
- Giải sgk Sinh học 12 - KNTT
- Giải sgk Lịch Sử 12 - KNTT
- Giải sgk Địa Lí 12 - KNTT
- Giải sgk Giáo dục KTPL 12 - KNTT
- Giải sgk Tin học 12 - KNTT
- Giải sgk Công nghệ 12 - KNTT
- Giải sgk Hoạt động trải nghiệm 12 - KNTT
- Giải sgk Giáo dục quốc phòng 12 - KNTT
- Giải sgk Âm nhạc 12 - KNTT
- Giải sgk Mĩ thuật 12 - KNTT
- Lớp 12 Chân trời sáng tạo
- Soạn văn 12 (hay nhất) - CTST
- Soạn văn 12 (ngắn nhất) - CTST
- Giải sgk Toán 12 - CTST
- Giải sgk Vật Lí 12 - CTST
- Giải sgk Hóa học 12 - CTST
- Giải sgk Sinh học 12 - CTST
- Giải sgk Lịch Sử 12 - CTST
- Giải sgk Địa Lí 12 - CTST
- Giải sgk Giáo dục KTPL 12 - CTST
- Giải sgk Tin học 12 - CTST
- Giải sgk Hoạt động trải nghiệm 12 - CTST
- Giải sgk Âm nhạc 12 - CTST
- Lớp 12 Cánh diều
- Soạn văn 12 Cánh diều (hay nhất)
- Soạn văn 12 Cánh diều (ngắn nhất)
- Giải sgk Toán 12 Cánh diều
- Giải sgk Vật Lí 12 - Cánh diều
- Giải sgk Hóa học 12 - Cánh diều
- Giải sgk Sinh học 12 - Cánh diều
- Giải sgk Lịch Sử 12 - Cánh diều
- Giải sgk Địa Lí 12 - Cánh diều
- Giải sgk Giáo dục KTPL 12 - Cánh diều
- Giải sgk Tin học 12 - Cánh diều
- Giải sgk Công nghệ 12 - Cánh diều
- Giải sgk Hoạt động trải nghiệm 12 - Cánh diều
- Giải sgk Giáo dục quốc phòng 12 - Cánh diều
- Giải sgk Âm nhạc 12 - Cánh diều


Giải bài tập SGK & SBT
Tài liệu giáo viên
Sách
Khóa học
Thi online
Hỏi đáp

