40 bài tập trắc nghiệm Công suất của mạch điện xoay chiều có lời giải (phần 2)
Với 40 bài tập trắc nghiệm Công suất của mạch điện xoay chiều (phần 1) có lời giải chi tiết sẽ giúp học sinh ôn tập, biết cách làm bài tập trắc nghiệm Công suất của mạch điện xoay chiều (phần 1)
40 bài tập trắc nghiệm Công suất của mạch điện xoay chiều có lời giải (phần 1)
(199k) Xem Khóa học Vật Lí 12 KNTTXem Khóa học Vật Lí 12 CDXem Khóa học Vật Lí 12 CTST
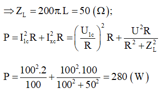
Câu 21. Đặt vào hai đầu ống dây một điện áp một chiều 12V thì cường độ dòng điện trong ống dây là 0,24A. Đặt vào hai đầu ống dây một điện áp xoay chiều có tần số 50 Hz và giá trị hiệu dụng 100 V thì cường độ dòng điện hiệu dụng trong ống dây là 1A. Mắc mạch điện gồm ống dây nối tiếp với tụ điện có điện dung C = 87 μF vào mạch điện xoay chiều nói trên. Công suất tiêu thụ trên mạch là:
A. 50W. B. 200W. C. 120W. D. 100W.
Lời giải:
Câu 22. Đặt một điện áp có biểu thức u = 200√2cos2(100πt) (V) vào hai đầu đoạn mạch AB gồm điện trở R = 100 Ω và cuộn cảm thuần có độ tự cảm 0,25/π (H) mắc nối tiếp. Công suất tỏa nhiệt trên điện trở là
A. 280 W. B. 50 W. C. 320 W. D. 80 W.
Lời giải:
Chọn A
Áp dụng công thức hạ bậc viết lại: u = 100√2 + 100√2cos200πt (V)
Câu 23. Đặt vào 2 đầu mạch điện có 2 phần tử C và R với điện trở R = ZC = 100 Ω một nguồn điện tổng hợp có biểu thức u = [100cos(100πt + π/4) + 100] V. Tính công suất tỏa nhiệt trên điện trở.
A. 50 W. B. 200 W. C. 25 W. D. 150 W.
Lời giải:
Chọn C
Dòng 1 chiều không qua tụ chỉ có dòng xoay chiều đi qua:
Câu 24. Cho mạch điện AB, trong đó C = 4.10-4/π F, L = 1/(2π) H, r = 25Ω mắc nối tiếp. Biểu thức điện áp giữa hai đầu mạch uAB = 50√2cos100πt V. Tính công suất của toàn mạch ?
A. 50√2 W. B. 25W. C. 100W. D. 50W.
Lời giải:
Dễ dàng tính được :
Công suất tiêu thụ của mạch điện: P = I2r = 2.25 = 50 W. Chọn D.
Câu 25. Đặt một hiệu điện thế xoay chiều vào hai đầu đoạn mạch là: uAB = 120√2cos(100πt - π/4) V và cường độ dòng điện qua mạch i = 3√2cos(100πt + π/12) A. Tính công suất tiêu thụ của đoạn mạch?
A. P = 180W B. P = 120W
C. P = 100W D. P = 50W
Lời giải:
Ta có :
Mặt khác : pha(u) - pha(i) = φ ⇒ φ = 100πt - π/4 - (100πt + π/12) = - π/3 .
Vậy cosφ = cos(-π/3) = 1/2.
Suy ra công suất tiêu thụ của đoạn mạch là: P = UIcosφ = 120.3.1/2 = 180 W. Chọn A.
Câu 26. Cho mạch điện xoay chiều như hình vẽ: R nối tiếp với cuộn dây có r, L. R = 50 Ω; điện áp hiệu dụng 2 đầu R là UR = 100 V; r = 20 Ω. Công suất tiêu thụ của đoạn mạch là
A. P = 180W B. P = 240W
C. P = 280W D. P = 50W
Lời giải:
Ta có: I = UR/R = 100/50 = 2 A.
Khi đó: P = (R + r)I2 = (50 + 20)22 = 280W. Chọn C.
Câu 27. Cho mạch R, L, C mắc nối tiếp, cuộn dây thuần cảm. Đặt vào hai đầu đoạn mạch một hiệu điện thế u = 100cos100πt (V). Biết cường độ dòng điện trong mạch có giá trị hiệu dụng là √2 A, và lệch pha so với điện áp hai đầu mạch một góc 36,8°. Công suất tiêu thụ của mạch là
A. P = 80W B. P = 200W
C. P = 240W D. P = 50W
Lời giải:
Công suất toàn mạch: P = UIcosφ = 50√2.√2.cos(36,8°) = 80W . Chọn C.
Câu 28. Đặt một điện áp u = 50√2cos100πt V,(t đo bằng giây) vào hai đầu đoạn mạch nối tiếp gồm điện trở R = 30 Ω tụ điện và cuộn dây. Biết điện áp hiệu dụng trên tụ là 80 V, trên cuộn dây là 10√26 V và trên điện trở R là 30 V. Công suất tiêu thụ điện của đoạn mạch là
A. 20 W. B. 30 W C. 50 W. D. 40 W.
Lời giải:
Câu 29. Đặt điện áp xoay chiều ổn định vào hai đầu đoạn mạch gồm cuộn dây nối tiếp với tụ điện có điện dung C thay đổi. Khi C = C1 dòng điện trong mạch là i1 và công suất tiêu thụ của mạch là P1. Khi C = C2 < C1 thì dòng điện trong mạch là i2 và công suất tiêu thụ là P2. Biết P2 = (7 - 4√3)P1 và i1 vuông pha với i2. Xác đinh góc lệch pha φ1 và φ2 giữa điện áp hai đầu đoạn mạch với i1 và i2
A. φ1 = π/12 và φ2 = -5π/12
B. φ1 = -π/6 và φ2 = π/3
C. φ1 = -π/3 và φ2 = π/6
D. φ1 = -π/4 và φ2 = π/4
Lời giải:
Câu 30. Cho mạch điện xoay chiều gồm một cuộn dây không thuần cảm mắc nối tiếp với một tụ điện. Điện áp xoay chiều đặt vào hai đầu đoạn mạch có giá trị hiệu dụng 100 V, hệ số công suất trên toàn mạch là 0,6 và hệ số công suất trên cuộn dây là 0,8. Điện áp giữa hai đầu tụ điện có giá trị hiệu dụng là
A. 125 V B. 45 V. C. 75 V D. 90 V
Lời giải:
Câu 31. Mạch điện xoay chiều nối tiếp AB theo đúng thứ tự gồm cảm thuần L, điện trở thuần R và tụ điện C. Cho biết điện áp hiệu dụng URC = 0,75URL và R2 = L/C. Tính hệ số công suất của đoạn mạch AB.
A. 0,8 B. 0,864 C. 0,5 D. 0,867.
Lời giải:
Câu 32. Đoạn mạch RLC đặt dưới điện áp xoay chiều ổn định có tần số f thay đổi được. Khi tần số là f1 và khi tần số là f2 thì pha ban đầu của dòng điện qua mạch là π/6 và π/3 còn cường độ hiệu dụng không thay đổi. Tính hệ số công suất mạch khi tần số là f1
A. 0,5 B. 0,71 C. 0,87 D. 0,6
Lời giải:
Câu 33. Đặt điện áp xoay chiều ổn định vào hai đầu đoạn mạch gồm cuộn dây nối tiếp với tụ điện có điện dung C1. Khi đó dòng điện trong mạch là i1 và công suất tiêu thụ của mạch là P1. Lấy một tụ điện khác C' = 4C1 mắc song song với tụ điện C1 thì dòng điện trong mạch là i2 và công suất tiêu thụ là P2. Biết P1 = 3P2 và ii vuông pha với i2. Xác định góc lệch pha φ1 và φ2 giữa điện áp hai đầu đoạn mạch với i1 và i2
A. φ1 = π/6 và φ2 = -π/3
B. φ1 = -π/6 và φ2 = π/3
C. φ1 = π/4 và φ2 = -π/4
D. φ1 = -π/4 và φ2 = π/4
Lời giải:
Câu 34. Khi đặt vào hai đầu cuộn dây một điện áp xoay chiều 120V - 50Hz thì thấy dòng điện chạy qua cuộn dây có giá trị hiệu dụng là 2 A và trễ pha 60° so với điện áp hai đầu đoạn mạch. Khi mắc nối tiếp cuộn dây trên với một đoạn mạch điện X rồi đặt vào hai đầu đoạn mạch điện áp xoay chiều như trên thì thấy dòng điện qua mạch có giá trị hiệu dụng 1 A và sớm pha 30° so với điện áp hai đầu mạch X. Công suất tiêu thụ trên toàn mạch khi ghép thêm X là
A. 120 W B. 300 W
C. 200√2 W D. 300√3 W
Lời giải:
Câu 35. Đoạn mạch gồm 2 đoạn mạch AM và MB mắc nối tiếp. Đoạn AM gồm điện trở thuần R1 nối tiếp với cuộn cảm thuần L, đoạn mạch MB gồm điện trở thuần R2 = 50Ω nối tiếp tụ điện C = 2.10-4/π F. Biết điện áp tức thời uAM = 200√2cos(100πt + 17π/12) (V) và uMB = 80cos100πt (V). Tính hệ số công suất của đoạn mạch AB.
A. 0,91 B. 0,74. C. 0,72. D. 0,90.
Lời giải:
Tổng trở phức: ZMB = 50 – 50i. Ta có thể tính i trước (hoặc tính gộp như bài trên):
Câu 36. Một đoạn mạch AB gồm hai đoạn mạch AM và MB mắc nối tiếp. Đoạn mạch AM chỉ có biến trở R, đoạn mạch MB gồm điện trở thuần r mắc nối tiếp với cuộn cảm thuần có độ tự cảm L. Đặt vào AB một điện áp xoay chiều có giá trị hiệu dụng và tần số không đổi. Điều chỉnh R đến giá trị 80 Ω thì công suất tiêu thụ trên biến trở đạt cực đại và tổng trở của đoạn mạch AB chia hết cho 40. Khi đó hệ số công suất của đoạn mạch MB và của đoạn mạch AB tương ứng là
A. 3/8 và 5/8 . B. 33/118 và 113/160
C. 1/17 và (√2)/2 . D. 1/8 và 3/4
Lời giải:
Chọn D.
Câu 37. Đặt một điện áp xoay chiều u = U0cosωt (V) vào hai đầu một đoạn mạch AB gồm điện trở R, cuộn dây cảm thuần L và tụ điện có điện dung C mắc nối tiếp. Tụ C có điện dung thay đổi được. Thay đổi C, khi ZC = ZC1 thì cường độ dòng điện trễ pha π/4 so với điện áp hai đầu đoạn mạch, khi ZC = ZC2 = 6,25ZC1 thì UC max. Tính hệ số công suất của mạch.
A. 0,6 B. 0,8 C. 0,7 D. 0,9
Lời giải:
Chọn B.
Câu 38. Đặt điện áp u = U0cosωt (V) (U0và ω không đổi) vào hai đầu đoạn mạch mắc nối tiếp gồm có biến trở R, tụ điện có dung kháng 80√3Ω, cuộn cảm có điện trở thuần 30 Ω và cảm kháng 50√3 Ω. Khi điều chỉnh trị số của biến trở R để công suất tiêu thụ trên biến trở cực đại thì hệ số công suất của đoạn mạch bằng
A. 1/√2 . B. 1/2 . C. 2/√7 . D. 3/√7 .
Lời giải:
Chọn B. Công suất tiêu thụ trên biến trở:
Câu 39. Cho mạch điện xoay chiều gồm R, L, C mắc nối tiếp. Tần số của hiệu điện thế thay đổi được. Khi tần số là f1 và 4f1 công suất trong mạch như nhau và bằng 80% công suất cực đại mà mạch có thể đạt được. Khi f = 3f1 thì hệ số công suất là:
A. 0,894 B. 0,853 C. 0,964 D. 0,47
Lời giải:
Chọn C.
Gọi U là điện áp hiệu dụng đặt vào hai đầu mạch:
Câu 40. Mạch điện xoay chiều R, L, C nối tiếp gồm điện trở R, cuộn cảm (L, r) và tụ C. Khi hiệu điện thế 2 đầu đoạn mạch là u = 65√2cosωt (V) thì các điện áp hiệu dụng trên điện trở và cuộn dây đều bằng 13V. Còn điện áp trên tụ là 65V, công suất tiêu thụ trên toàn mạch là 25W. Hệ số công suất của mạch là
A. 3/13 B. 5/13 C. 10/13 D. 12/13
Lời giải:
Chọn B.
(199k) Xem Khóa học Vật Lí 12 KNTTXem Khóa học Vật Lí 12 CDXem Khóa học Vật Lí 12 CTST
Xem thêm các dạng bài tập Vật Lí lớp 12 ôn thi Tốt nghiệp có lời giải hay khác:
Đã có app VietJack trên điện thoại, giải bài tập SGK, SBT Soạn văn, Văn mẫu, Thi online, Bài giảng....miễn phí. Tải ngay ứng dụng trên Android và iOS.
Theo dõi chúng tôi miễn phí trên mạng xã hội facebook và youtube:Nếu thấy hay, hãy động viên và chia sẻ nhé! Các bình luận không phù hợp với nội quy bình luận trang web sẽ bị cấm bình luận vĩnh viễn.
- Giải Tiếng Anh 12 Global Success
- Giải sgk Tiếng Anh 12 Smart World
- Giải sgk Tiếng Anh 12 Friends Global
- Lớp 12 Kết nối tri thức
- Soạn văn 12 (hay nhất) - KNTT
- Soạn văn 12 (ngắn nhất) - KNTT
- Giải sgk Toán 12 - KNTT
- Giải sgk Vật Lí 12 - KNTT
- Giải sgk Hóa học 12 - KNTT
- Giải sgk Sinh học 12 - KNTT
- Giải sgk Lịch Sử 12 - KNTT
- Giải sgk Địa Lí 12 - KNTT
- Giải sgk Giáo dục KTPL 12 - KNTT
- Giải sgk Tin học 12 - KNTT
- Giải sgk Công nghệ 12 - KNTT
- Giải sgk Hoạt động trải nghiệm 12 - KNTT
- Giải sgk Giáo dục quốc phòng 12 - KNTT
- Giải sgk Âm nhạc 12 - KNTT
- Giải sgk Mĩ thuật 12 - KNTT
- Lớp 12 Chân trời sáng tạo
- Soạn văn 12 (hay nhất) - CTST
- Soạn văn 12 (ngắn nhất) - CTST
- Giải sgk Toán 12 - CTST
- Giải sgk Vật Lí 12 - CTST
- Giải sgk Hóa học 12 - CTST
- Giải sgk Sinh học 12 - CTST
- Giải sgk Lịch Sử 12 - CTST
- Giải sgk Địa Lí 12 - CTST
- Giải sgk Giáo dục KTPL 12 - CTST
- Giải sgk Tin học 12 - CTST
- Giải sgk Hoạt động trải nghiệm 12 - CTST
- Giải sgk Âm nhạc 12 - CTST
- Lớp 12 Cánh diều
- Soạn văn 12 Cánh diều (hay nhất)
- Soạn văn 12 Cánh diều (ngắn nhất)
- Giải sgk Toán 12 Cánh diều
- Giải sgk Vật Lí 12 - Cánh diều
- Giải sgk Hóa học 12 - Cánh diều
- Giải sgk Sinh học 12 - Cánh diều
- Giải sgk Lịch Sử 12 - Cánh diều
- Giải sgk Địa Lí 12 - Cánh diều
- Giải sgk Giáo dục KTPL 12 - Cánh diều
- Giải sgk Tin học 12 - Cánh diều
- Giải sgk Công nghệ 12 - Cánh diều
- Giải sgk Hoạt động trải nghiệm 12 - Cánh diều
- Giải sgk Giáo dục quốc phòng 12 - Cánh diều
- Giải sgk Âm nhạc 12 - Cánh diều


Giải bài tập SGK & SBT
Tài liệu giáo viên
Sách
Khóa học
Thi online
Hỏi đáp

