Cách tính Hệ số công suất của mạch điện xoay chiều (hay, chi tiết)
Bài viết Cách tính Hệ số công suất của mạch điện xoay chiều với phương pháp giải chi tiết giúp học sinh ôn tập, biết cách làm bài tập Cách tính Hệ số công suất của mạch điện xoay chiều.
Cách tính Hệ số công suất của mạch điện xoay chiều (hay, chi tiết)
(199k) Xem Khóa học Vật Lí 12 KNTTXem Khóa học Vật Lí 12 CDXem Khóa học Vật Lí 12 CTST
A. Phương pháp & Ví dụ
1. Phương pháp
Khi ZL = ZC thì mạch xảy ra hiện tượng cộng hưởng điện nên cosΦ = 1
2. Ví dụ
Ví dụ 1: Khi có một dòng điện xoay chiều chạy qua cuộn dây có điện trở thuần 50 Ω thì hệ số công suất của cuộn dây bằng 0,8. Cảm kháng của cuộn dây đó bằng
A. 45,5 Ω.
B. 91,0 Ω.
C. 37,5 Ω.
D. 75,0 Ω.
Lời giải:
Áp dụng công thức tính hệ số công suất ta có:
Chọn C
Ví dụ 2: Đặt điện áp xoay chiều u = U√2cos(ωt) vào hai đầu đoạn mạch RLC mắc nối tiếp (cuộn dây thuần cảm). Khi nối tắt tụ C thì điện áp hiệu dụng trên điện trở R tăng 2 lần và dòng điện trong hai trường hợp này vuông pha nhau. Hệ số công suất của đoạn mạch lúc sau bằng
Lời giải:
Ta có công thức về hệ số công suất trong 2 trường hợp của mạch:
Chọn A
B. Bài tập trắc nghiệm
Câu 1. Một mạch điện xoay chiều nối tiếp gồm tụ điện có điện dung C, điện trở thuần R và cuộn cảm thuần có cảm kháng 80 Ω. Độ lớn hệ số công suất của đoạn mạch RC bằng hệ số công suất của cả mạch và bằng 0,6. Điện trở thuần R có giá trị
A. 50 Ω B. 30 Ω C. 67 Ω D. 100 Ω
Lời giải:
Chọn B
Câu 2. Mạch điện xoay chiều gồm cuộn dây mắc nối tiếp với tụ điện. Các điện áp hiệu dụng ở hai đầu đoạn mạch 120 V, ở hai đầu cuộn dây 120 V và ở hai đầu tụ điện 120 V. Hệ số công suất của mạch là
A. 0,125. B. 0,87. C. 0,5. D. 0,75.
Lời giải:
Chọn B
Câu 3. Một đoạn mạch điện xoay chiều RLC không phân nhánh, cuộn dây có điện trở thuần. Điện áp hiệu dụng giữa hai đầu đoạn mạch, trên điện trở R, trên cuộn dây và trên tụ lần lượt là 75 (V), 25 (V), 25 (V) và 75 (V). Hệ số công suất của toàn mạch là
A. 1/7 B. 0,6. C. 7/25 D. 1/25
Lời giải:
Chọn B
Câu 4. Đoạn mạch điện xoay chiều mắc nối tiếp gồm tụ điện, điện trở thuần và cuộn cảm thuần. Điện áp hiệu dụng ở hai đầu đoạn mạch và trên cuộn cảm lần lượt là 360 V và 212 V. Hệ số công suất của toàn mạch cosφ = 0,6. Điện áp hiệu dụng trên tụ là
A. 500 (V). B. 200 (V).
C. 320 (V). D. 400 (V).
Lời giải:
Chọn A
cosφ = UR/U = 0,6 ⇒ UR = 0,6U = 216 (V)
U2 = UR2 + (UL - UC)2 ⇒ 3602 = 2162 + (212 - UC)2 ⇒ UC = 500 (V)
Câu 5. Đoạn mạch điện xoay chiều mắc nối tiếp gồm tụ điện, điện trở thuần và cuộn cảm thuần có cảm kháng 80 Ω. Điện áp hiệu dụng ở hai đầu đoạn mạch và trên tụ lần lượt là 300 V và 140 V. Dòng điện trong mạch trễ pha so với điện áp hai đầu đoạn mạch và hệ số công suất của mạch cosφ = 0,8. Cường độ hiệu dụng dòng qua mạch là
A. 1 (A). B. 2 (A). C. 3,2 (A). D. 4 (A).
Lời giải:
ZL > ZC ⇒ UL > UC; cosφ = UR/U = 0,8 ⇒ UR = 0,8U = 240 (V)
U2 = UR2 + (UL - UC)2 ⇒ 3002 = 2402 + (UL - 140)2 ⇒ UL = 320 (V)
I = UL/ZL = 4 (A)
Câu 6. Đoạn mạch AB gồm hai đoạn mạch AM và MB mắc nối tiếp. Đoạn AM gồm điện trở thuần R = 100Ω mắc nối tiếp với cuộn cảm thuần L = 1/π. Đoạn MB là tụ điện có điện dung C. Biểu thức điện áp trên các đoạn mạch AM và MB lần lượt là: uAM = 100√2cos(100πt + π/4) (V) và uMB = 200cos(100πt - π/2) (V). Hệ số công suất của đoạn mạch AB là:
A. (√2)/2 B. (√3)/2 C. 1/2 D. 3/4
Lời giải:
Chọn A.
Câu 7. Đoạn mạch AB gồm 2 đoạn mạch AM và MB mắc nối tiếp. Đoạn AM gồm điện trở thuần R1 = 40 Ω mắc nối tiếp với tụ điện có điện dung C = 10-3/(4π) F, đoạn mạch MB gồm điện trở thuần R2 mắc với cuộn thuần cảm. Đặt vào A, B điện áp xoay chiều có giá trị hiệu dụng và tần số không đổi thì điện áp tức thời ở 2 đầu đoạn mạch AM và MB lần lượt là: uAM = 50√2cos(100πt - 7π/12) (V) và uMB = 150cos100πt (V). Hệ số công suất của đoạn mạch AB là
A. 0,84. B. 0,71. C. 0,86. D. 0,95.
Lời giải:
Chọn A.
Câu 8. Một đoạn mạch xoay chiều gồm 3 phần tử mắc nối tiếp: điện trở thuần R, cuộn dây có độ tự cảm L và điện trở thuần r, tụ điện có điện dung C. Đặt vào hai đầu đoạn mạch một điện áp xoay chiều, khi đó điện áp tức thời ở hai đầu cuộn dây và hai đầu tụ điện lần lượt có biểu thức: ud = 80√6cos(ωt + π/6) (V) và uC = 40√2cos(ωt - 2π/3) (V), điện áp hiệu dụng ở hai đầu điện trở là UR = 60√3 V. Hệ số công suất của đoạn mạch trên là
A. 0,862. B. 0,908. C. 0,753. D. 0,664.
Lời giải:
Cách giải 1:
Từ giản đồ vectơ ta tính toán được:
Chọn B.
Cách giải 2: Dùng máy Fx570ES
Câu 9. Cho mạch điện xoay chiều RLC mắc nối tiếp, cuộn dây thuần cảm. Biết L = CR2. Đặt vào hai đầu đoạn mạch điện áp xoay chiều ổn định, mạch có cùng hệ số công suất với hai giá trị của tần số góc ω1 = 50π (rad/s) và ω2 = 200π (rad/s). Hệ số công suất của đoạn mạch bằng
A. 2/√13. B. 1/2. C. 1/√2. D. 3/√12.
Lời giải:
Chọn A.
Câu 10. Đặt vào hai đầu đoạn mạch RL nối tiếp một điện áp xoay chiều u = U√2cosωt (V). Trong đó u tính bằng (V), thời gian t(s). Tần số f thay đổi được. Ban đầu tần số bằng f1 công suất đoạn mạch là P1, tăng tần số lên gấp đôi thì công suất đoạn mạch giảm xuống với P2 = (3/4)P1. Khi tăng tần số lên gấp 3 tần số ban đầu thì công suất đoạn mạch là:
Lời giải:
Chọn B.
Câu 11. Cho đoạn mạch AB gồm hai đoạn mạch AM nối tiếp với MB. Biết đoạn AM gồm R nối tiếp với C và MB có cuộn cảm có độ tự cảm L và điện trở r. Đặt vào AB một điện áp xoay chiều u = U√2cosωt (v). Biết R = r = √(L/C), điện áp hiệu dụng giữa hai đầu MB lớn gấp n = √3 điện áp hai đầu AM. Hệ số công suất của đoạn mạch có giá trị là
A. 0,887 B. 0,755 C.0,866 D. 0,975
Lời giải:
Vẽ giản đồ véc tơ như hình vẽ.
Từ giả thuyết:
⇒ Tứ giác OPEQ là hình chữ nhật
Do đó góc lệch pha giữa u và i trong mạch: φ = 90° – 60° = 30°
Vì vậy cosφ = cos30° = (√3)/2 = 0,866. Chọn C.
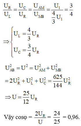
Câu 12. Cho mạch điện AB gồm 2 đoạn mạch AM nối tiếp với MB, trong đó AM gồm điện trở R nối tiếp với tụ điện có điện dung C, MB có cuộn cảm có độ tự cảm L. Đặt vào hai đầu đoạn mạch một điện áp xoay chiều u = U√2cosωt (V). Biết uAM vuông pha với uMB với mọi tần số ω. Khi mạch có cộng hưởng điện với tần số ω0 thì UAM = UMB. Khi ω = ω1 thì uAM trễ pha một góc α1 đối với uAB và UAM = U1. Khi ω = ω2 thì uAM trễ pha một góc α2 đối với uAB và UAM = U'1. Biết α1 + α2 = π/2 và U1 = (3/4)U'1. Xác định hệ số công suất của mạch ứng với tần số ω1 và tần số ω2.
A. cosφ = 0,75; cosφ’ = 0,75.
B. cosφ = 0,45; cosφ’ = 0,75.
C. cosφ = 0,75; cosφ’ = 0,45.
D. cosφ = 0,96; cosφ’ = 0,96.
Lời giải:
Ta có:
Vì uAM vuông pha với uMB với mọi tần số ω nên:
tanφAM.tanφMB = -1 ⇔ (-ZC/R).(ZL/r) = -1 ⇔ R.r = ZL.ZC
Khi ω = ω0 mạch có cộng hưởng và UAM = UMB ⇒ r = R ⇒ R2 = ZLZC.
Vẽ giãn đồ vectơ như hình vẽ.
Ta luôn có UR = Ur
UAM = UAB cosα = U cosα (α là góc trễ pha của uAM so với uAB)
U1 = Ucosα1 (1)
U’1 = Ucosα2 = Usinα1 (2) (do α1 + α2 = π/2)
Từ (1) và (2) suy ra: tanφ1 = U'1/U1 = 4/3 ⇒ UMB = UAMtanφ1 = (4/3)U1
Hai tam giác vuông EAM và FBM đồng dạng (vì có ∠MAE = ∠MBF = φAM cùng phụ với φMB).
Từ đó suy ra:
Tương tự ta có kết quả đối với trường hợp ω2
U1 = Ucosα1 = Usinα2 (1)
U'1 = Ucosα2 (2)
Từ (1) và (2) suy ra:
tanφ2 = U1/U'1 = 4/3 ⇒ UMB = UAMtanφ2 = (4/3)U'1
Hai tam giác vuông EAM và FBM đồng dạng (vì có ∠MAE = ∠MBF = φAM cùng phụ với φMB)
Từ đó suy ra:
C. Bài tập bổ sung
Câu 1: Đặt một điện áp xoay chiều V vào hai đầu đoạn mạch R, L, C mắc nối tiếp có R = 110 Ω, L và L có thể thay đổi được. Khi hệ số công suất của đoạn mạch đạt giá trị cực đại thì công suất tiêu thụ của đoạn mạch là:
A. 460 W
B. 172,7 W
C. 115 W
D. 440 W
Câu 2: Đặt điện áp (V) vào hai đầu đoạn mạch có R, L, C mắc nối tiếp thì cường độ dòng điện trong mạch là (A). Hệ số công suất của đoạn mạch bằng:
A. 0,86
B. 0,5
C. 0,71
D. 1,00
Câu 3: Mạch RLC nối tiếp gồm điện trở R, cuộn cảm (L,r) và tụ điện C. Khi hiệu điện thế giữa hai đầu đoạn mạch là (V) thì các điện áp hiệu dụng trên điện trở và cuộn dây đều bằng 13V còn điện áp trên tụ là 65V, công suất tiêu thụ toàn mạch là 25W. Hệ số công suất của mạch là:
A.
B.
C.
D.
Câu 4: Một đoạn mạch gồm cuộn cảm thuần, tụ điện và biến trở mắc nối tiếp. Đặt vào hai đầu đoạn mạch một điện áp u = U0cos(ωt + φ). (U0, ω, φ: không đổi). Khi biến trở có giá trị R1 hoặc R2 thì công suất của mạch có cùng giá trị. Khi giá trị biến trở là R1 thì hệ số công suất của đoạn mạch là 0,75. Khi giá trị của biến trở là R2 thì hệ số công suất của đoạn mạch xấp xỉ bằng:
A. 0,25
B. 0,34
C. 0,66
D. 0,50
Câu 5: Cho đoạn mạch AB gồm hai đoạn mạch AM nối tiếp MB. Đoạn mạch AM gồm điện trở R nối tiếp với tụ điện có điện dung C, đoạn mạch MB có cuộn cảm có độ tự cảm L và điện trở r. Đặt vào AB một điện áp xoay chiều . Biết R = r = ; điện áp hiệu dụng giữa hai đầu MB lớn gấp điện áp hai đầu AM. Hệ số công suất của đoạn mạch có giá trị là:
A. 0,886
B. 0,755
C. 0,866
D. 0,975
Câu 6: Đặt điện áp xoay chiều vào mạch điện AB gồm ba đoạn mạch nối tiếp: AM có cuộn dây thuần cảm với hệ số tự cảm L1; MN có cuộn dây có hệ số tự cảm L2; NB có tụ điện với điện dung C. Biết điện áp tức thời trên MN trễ pha so với điện áp trên AB, UMN = 2UC; Z L1 = 5ZC. Hệ số công suất của đoạn mạch MN gần với giá trị nào sau đây nhất?
A. . B. . C. . D. .
Câu 7: Đặt điện áp xoay chiều vào hai đầu đoạn mạch gồm điện trở R và tụ điện mắc nối tiếp, hệ số công suất của đoạn mạch lúc đó là 0,5. Dung kháng của tụ điện khi đó bằng
A.
B.
C. R
D.
Câu 8: Đặt hiệu điện thế (U0 và ω không đổi) vào hai đầu đoạn mạch RLC không phân nhánh. Biết độ tự cảm và điện dung được giữ không đổi. Điều chỉnh trị số điện trở R để công suất tiêu thụ của đoạn mạch đạt cực đại. Khi đó hệ số công suất của đoạn mạch bằng:
A. 0,5 B. 1 C. D.
Câu 9: Đặt một điện áp xoay chiều (V) vào đoạn mạch gồm có điện trở thuần R = 10 Ω mắc nối tiếp với tụ điện. Hệ số công suất của mạch bằng . Dung kháng của tụ bằng:
A. Ω
B. 5 Ω
C. Ω
D. 10 Ω
Câu 10: Một đoạn mạch xoay chiều gồm 3 phần tử mắc nối tiếp: điện trở thuần R, cuộn dây có (r,L) và tụ điện có điện dung C. Đặt vào hai đầu đoạn mạch một điện áp xoay chiều, khi đó điện áp tức thời ở hai đầu cuộn dây và hai đầu tụ điện lần lượt là: V, V, điện áp hiệu dụng ở hai đầu điện trở R là V. Hệ số công suất của mạch trên là:
A. 0,862
B. 0,908
C. 0,664
D. 0,753
(199k) Xem Khóa học Vật Lí 12 KNTTXem Khóa học Vật Lí 12 CDXem Khóa học Vật Lí 12 CTST
Xem thêm các dạng bài tập Vật Lí lớp 12 ôn thi Tốt nghiệp có lời giải hay khác:
Đã có app VietJack trên điện thoại, giải bài tập SGK, SBT Soạn văn, Văn mẫu, Thi online, Bài giảng....miễn phí. Tải ngay ứng dụng trên Android và iOS.
Theo dõi chúng tôi miễn phí trên mạng xã hội facebook và youtube:Nếu thấy hay, hãy động viên và chia sẻ nhé! Các bình luận không phù hợp với nội quy bình luận trang web sẽ bị cấm bình luận vĩnh viễn.
- Giải Tiếng Anh 12 Global Success
- Giải sgk Tiếng Anh 12 Smart World
- Giải sgk Tiếng Anh 12 Friends Global
- Lớp 12 Kết nối tri thức
- Soạn văn 12 (hay nhất) - KNTT
- Soạn văn 12 (ngắn nhất) - KNTT
- Giải sgk Toán 12 - KNTT
- Giải sgk Vật Lí 12 - KNTT
- Giải sgk Hóa học 12 - KNTT
- Giải sgk Sinh học 12 - KNTT
- Giải sgk Lịch Sử 12 - KNTT
- Giải sgk Địa Lí 12 - KNTT
- Giải sgk Giáo dục KTPL 12 - KNTT
- Giải sgk Tin học 12 - KNTT
- Giải sgk Công nghệ 12 - KNTT
- Giải sgk Hoạt động trải nghiệm 12 - KNTT
- Giải sgk Giáo dục quốc phòng 12 - KNTT
- Giải sgk Âm nhạc 12 - KNTT
- Giải sgk Mĩ thuật 12 - KNTT
- Lớp 12 Chân trời sáng tạo
- Soạn văn 12 (hay nhất) - CTST
- Soạn văn 12 (ngắn nhất) - CTST
- Giải sgk Toán 12 - CTST
- Giải sgk Vật Lí 12 - CTST
- Giải sgk Hóa học 12 - CTST
- Giải sgk Sinh học 12 - CTST
- Giải sgk Lịch Sử 12 - CTST
- Giải sgk Địa Lí 12 - CTST
- Giải sgk Giáo dục KTPL 12 - CTST
- Giải sgk Tin học 12 - CTST
- Giải sgk Hoạt động trải nghiệm 12 - CTST
- Giải sgk Âm nhạc 12 - CTST
- Lớp 12 Cánh diều
- Soạn văn 12 Cánh diều (hay nhất)
- Soạn văn 12 Cánh diều (ngắn nhất)
- Giải sgk Toán 12 Cánh diều
- Giải sgk Vật Lí 12 - Cánh diều
- Giải sgk Hóa học 12 - Cánh diều
- Giải sgk Sinh học 12 - Cánh diều
- Giải sgk Lịch Sử 12 - Cánh diều
- Giải sgk Địa Lí 12 - Cánh diều
- Giải sgk Giáo dục KTPL 12 - Cánh diều
- Giải sgk Tin học 12 - Cánh diều
- Giải sgk Công nghệ 12 - Cánh diều
- Giải sgk Hoạt động trải nghiệm 12 - Cánh diều
- Giải sgk Giáo dục quốc phòng 12 - Cánh diều
- Giải sgk Âm nhạc 12 - Cánh diều


Giải bài tập SGK & SBT
Tài liệu giáo viên
Sách
Khóa học
Thi online
Hỏi đáp

