Cách giải bài tập về Máy biến áp (hay, chi tiết)
Bài viết Cách giải bài tập về Máy biến áp với phương pháp giải chi tiết giúp học sinh ôn tập, biết cách làm bài tập Cách giải bài tập về Máy biến áp.
Cách giải bài tập về Máy biến áp (hay, chi tiết)
(199k) Xem Khóa học Vật Lí 12 KNTTXem Khóa học Vật Lí 12 CDXem Khóa học Vật Lí 12 CTST
A. Phương pháp & Ví dụ
1. Phương pháp
- Suất điện động trong cuộn dây sơ cấp:
- Suất điện động trong cuộn dây thứ cấp:
Trong đó e1 được coi như nguồn thu: e1 = u1 - i1r1
e2 được coi như nguồn phát:
Nếu k > 1 thì U1> U2, khi đó máy là máy hạ áp
Nếu k < 1 thì U1< U2, khi đó máy là máy tăng áp
- Công suất của máy biến thế:
• Cuộn sơ cấp: P1 = U1I1cosφ1
• Cuộn thứ cấp: P2 = U2I2cosφ2
- Hiệu suất của máy biến thế:
- Nếu bỏ qua hao phí tiêu thụ điện năng tức: cosφ1 = cosφ2 và H = 1 thì ta có:
2. Ví dụ
Ví dụ 1: Một máy biến áp lí tưởng có cuộn sơ cấp gồm 1000 vòng, cuộn thứ cấp gồm 50 vòng. Ðiện áp hiệu dụng giữa hai đầu cuộn sơ cấp là 220 V. Bỏ qua hao phí. Ðiện áp hiệu dụng giữa hai đầu cuộn thứ cấp để hở là:
A. 440 V. B. 44 V. C. 110 V. D. 11 V
Lời giải:
Áp dụng mối liên hệ giữa điện áp hiệu dụng và số vòng dây ta có:
Đáp án D.
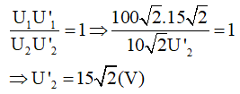
Ví dụ 2: Một máy biến áp có số vòng dây trên cuộn sơ cấp và số vòng dây của cuộn thứ cấp là 2000 vòng và 500 vòng. Ðiện áp hiệu dụng và cường độ hiện dụng ở mạch thứ cấp là 50 V và 6 A. Xác định điện áp hiệu dụng và cường dộ hiệu dụng ở mạch sơ cấp
A. 200V; 1,5A B. 100V; 3A
C. 200V; 3A D. 100V; 1,5A
Lời giải:
Ta có:
Đáp án A.
Ví dụ 3: Một học sinh quấn một máy biến áp với dự định số vòng dây của cuộn sơ cấp gấp hai lần số vòng dây của cuộn thứ cấp. Do sơ suất nên cuộn thứ cấp bị thiếu một số vòng dây. Muốn xác định số vòng dây thiếu để quấn tiếp thêm vào cuộn thứ cấp cho đủ, học sinh này đặt vào hai dầu cuộn sơ cấp một điện áp xoay chiều có giá trị hiệu dụng không đổi, rồi dùng vôn kế xác định tỉ số điện áp ở cuộn thứ cấp để hở và cuộn sơ cấp. Lúc dầu tỉ số điện áp bằng 0,43. Sau khi quấn thêm vào cuộn thứ cấp 24 vòng dây thì tỉ số điện áp bằng 0,45. Bỏ qua mọi hao phí trong máy biến áp. Ðể được máy biến áp đúng như dự định, học sinh này phải tiếp tục quấn thêm vào cuộn thứ cấp:
A. 40 vòng dây. B. 84 vòng dây. C. 100 vòng dây. D. 60 vòng dây.
Lời giải:
Ta có:
Khi đó: N1 = N2 / 0,43 = 1200
Để mắc biến áp đúng như dự định, học sinh cần phải quấn thêm n vòng dây:
Đáp án D.
B. Bài tập trắc nghiệm
Câu 1. (TN 2009). Một máy biến áp lí tưởng có cuộn sơ cấp gồm 1000 vòng, cuộn thứ cấp gồm 50 vòng. Điện áp hiệu dụng giữa hai đầu cuộn sơ cấp là 220 V. Bỏ qua hao phí. Điện áp hiệu dụng giữa hai đầu cuộn thứ cấp để hở là
A. 440 V. B. 44 V. C. 110 V. D. 11 V.
Lời giải:
Chọn D.
Câu 2. (TN 2010). Khi truyền đi một công suất 20 MW trên đường dây tải điện 500 kV mà đường dây tải điện có điện trở 20 Ω thì công suất hao phí là
A. 320 W. B. 32 kW.
C. 500 W. D. 50 kW.
Lời giải:
Chọn B.
Câu 3. (TN 2011). Cuộn sơ cấp và cuộn thứ cấp của một máy biến áp lí tưởng có số vòng dây lần lượt là N1 và N2. Biết N1 = 10N2. Đặt vào hai đầu cuộn sơ cấp một điện áp xoay chiều u = U0cosωt thì điện áp hiệu dụng hai đầu cuộn thứ cấp để hở là
A. 1/π . B. (U0√2)/20 .
C. U0/10 . D. 5U0√2U0 .
Lời giải:
Chọn B.
Câu 4. (CĐ 2009). Một máy biến áp lí tưởng có cuộn sơ cấp gồm 2400 vòng dây, cuộn thứ cấp gồm 800 vòng dây. Nối hai đầu cuộn sơ cấp với điện áp xoay chiều có giá trị hiệu dụng 210 V. Điện áp hiệu dụng giữa hai đầu cuộn thứ cấp khi biến áp hoạt động không tải là
A. 0. B. 105 V. C. 630 V. D. 70 V.
Lời giải:
Chọn D.
Câu 5. (CĐ 2011). Khi truyền điện năng có công suất P từ nơi phát điện xoay chiều đến nơi tiêu thụ thì công suất hao phí trên đường dây là ΔP. Để công suất hao phí trên đường dây chỉ còn là ΔP/n (với n > 1), ở nơi phát điện người ta sử dụng một máy biến áp (lí tưởng) có tỉ số giữa số vòng dây của cuộn sơ cấp và số vòng dây của cuộn thứ cấp là
A. √n . B. 1/√n . C. n. D. 1/n .
Lời giải:
Chọn B.
Câu 6. (ĐH 2010). Đặt vào hai đầu cuộn sơ cấp của một máy biến áp lí tưởng một điện áp xoay chiều có giá trị hiệu dụng không đổi thì điện áp hiệu dụng giữa hai đầu cuộn thứ cấp để hở là 100 V. Ở cuộn thứ cấp, nếu giảm bớt n vòng dây thì điện áp hiệu dụng giữa hai đầu để hở của nó là U, nếu tăng thêm n vòng dây thì điện áp đó là 2U. Nếu tăng thêm 3n vòng dây ở cuộn thứ cấp thì điện áp hiệu dụng giữa hai đầu để hở của cuộn này bằng
A. 100 V. B. 200 V. C. 220 V. D. 110 V.
Lời giải:
Chọn B.
Câu 7. (ĐH 2011). Một học sinh quấn một máy biến áp với dự định số vòng dây của cuộn sơ cấp gấp hai lần số vòng dây của cuộn thứ cấp. Do sơ suất nên cuộn thứ cấp bị thiếu một số vòng dây. Muốn xác định số vòng dây thiếu để quấn tiếp thêm vào cuộn thứ cấp cho đủ, học sinh này đặt vào hai đầu cuộn sơ cấp một điện áp xoay chiều có giá trị hiệu dụng không đổi, rồi dùng vôn kế xác định tỉ số điện áp ở cuộn thứ cấp để hở và cuộn sơ cấp. Lúc đầu tỉ số điện áp bằng 0,43. Sau khi quấn thêm vào cuộn thứ cấp 24 vòng dây thì tỉ số điện áp bằng 0,45. Bỏ qua mọi hao phí trong máy biến áp. Để được máy biến áp đúng như dự định, học sinh này phải tiếp tục quấn thêm vào cuộn thứ cấp
A. 40 vòng dây. B. 84 vòng dây.
C. 100 vòng dây. D. 60 vòng dây.
Lời giải:
Chọn D.
Câu 8. (ĐH 2012). Điện năng từ một trạm phát điện được đưa đến một khu tái định cư bằng đường dây truyền tải một pha. Cho biết, nếu điện áp tại đầu truyền đi tăng từ U lên 2U thì số hộ dân được trạm cung cấp đủ điện năng tăng từ 120 lên 144. Cho rằng chi tính đến hao phí trên đường dây, công suất tiêu thụ điện của các hộ dân đều như nhau, công suất của trạm phát không đổi và hệ số công suất trong các trường hợp đều bằng nhau. Nếu điện áp truyền đi là 4U thì trạm phát huy này cung cấp đủ điện năng cho
A. 168 hộ dân. B. 150 hộ dân.
C. 504 hộ dân. D. 192 hộ dân.
Lời giải:
U tăng n lần thì công suất hao phí giảm n2 lần.
Gọi P0 là công suất tiêu thụ của mỗi hộ dân.
Lúc đầu P1 = P - ΔP = 120P0.
Khi Điện áp tăng lên 2 lần thì
Chọn B.
Câu 9. (ĐH 2012). Từ một trạm phát điện xoay chiều một pha đặt tại vị trí M, điện năng được truyền tải đến nơi tiêu thụ N, cách M 180 km. Biết đường dây có điện trở tổng cộng 80 Ω (coi dây tải điện là đồng chất, có điện trở tỉ lệ thuận với chiều dài của dây). Do sự cố, đường dây bị rò điện tại điểm Q (hai dây tải điện bị nối tắt bởi một vật có điện trở có giá trị xác định R). Để xác định vị trí Q, trước tiên người ta ngắt đường dây khỏi máy phát và tải tiêu thụ, sau đó dùng nguồn điện không đổi 12V, điện trở trong không đáng kể, nối vào hai đầu của hai dây tải điện tại M. Khi hai đầu dây tại N để hở thì cường độ dòng điện qua nguồn là 0,40 A, còn khi hai đầu dây tại N được nối tắt bởi một đoạn dây có điện trở không đáng kể thì cường độ dòng điện qua nguồn là 0,42 A. Khoảng cách MQ là
A. 135 km. B. 167 km.
C. 45 km. D. 90 km.
Lời giải:
Gọi x là điện trở của dây tải từ M đến Q
Ta có: E/(x + R) = I1 → x + R = E/I1 = 30 Ω → R = 30 - x
Khi nối tắt hai đầu đầu dây tại N thì điện trở của đường dây (x nối tiếp với R song song với 80 – x) là
→ – 7x2 + 16800 = 22000 – 400x
→ 7x2 – 400x + 5200 = 0 → x = 37 Ω > 30 Ω (loại) hoặc x = 20 Ω.
Khoảng cách MQ là 180.20/80 = 45 km. Chọn C.
Câu 10. Một nhà máy phát điện phát đi với công suất 60 kW, điện áp 6000 V, đến nới tiêu thụ điện áp còn 5000 V. Coi dây tải điện là thuần điện trở. Điện trở của dây tải điện là
A. 10 Ω. B. 60 Ω. C. 100 Ω. D. 120 Ω.
Lời giải:
I = P/U = 10 A; ΔU = U – U’ = Ir → r = (U - U')/I = 100 Ω. Chọn C.
Câu 11. Cuộn thứ cấp của một máy biến áp có 800 vòng. Từ thông trong lõi biến thế biến thiên với tần số 50 Hz và giá trị từ thông cực đại qua một vòng dây bằng 2,4 mWb. Tính suất điện động hiệu dụng cuộn thứ cấp.
A. 220 V B. 456,8 V
C. 426,5 V D. 140 V
Lời giải:
Chọn C
Câu 12. (ĐH-2008). Một máy biến áp có cuộn sơ cấp 1000 vòng dây được mắc vào mạng điện xoay chiều có điện áp hiệu dụng 220 V. Khi đó điện áp hiệu dụng ở hai đầu cuộn thứ cấp để hở là 484 V. Bỏ qua mọi hao phí của máy biến áp. Số vòng dây của cuộn thứ cấp là
A. 2500 B. 1100 C. 2000 D. 2200
Lời giải:
Chọn D
Câu 13. Đặt một điện áp xoay chiều u = 200cosωt (V) vào hai đầu cuộn dây sơ cấp của một máy biến thế lí tưởng thì điện áp hiệu dụng đo được ở hai đầu cuộn thứ cấp là 10√2 V. Nếu điện áp xoay chiều u = 30cosωt (V) vào hai đầu cuộn dây thứ cấp thì điện áp đo được ở hai đầu cuộn dây sơ cấp bằng
A. 300 V B. 200√2 V
C. 300√2 V D. 150√2 V
Lời giải:
Chọn D
Câu 14. Mắc cuộn thứ nhất của một máy biến áp lí tưởng vào một nguồn điện xoay chiều thì suất điện động hiệu dụng trong cuộn thứ hai là 20 V, mắc cuộn thứ hai vào nguồn điện xoay chiều đó thì suất điện động hiệu dụng trong cuộn thứ nhất là 7,2 V. Tính điện áp hiệu dụng của nguồn điện.
A. 144 V B. 5,2 V C. 13,6 V D. 12 V
Lời giải:
Chọn D
Câu 15. Một máy biến áp lí tưởng có cuộn sơ cấp gồm 100 vòng dây và cuộn thứ cấp gồm 150 vòng dây. Mắc hai đầu cuộn sơ cấp vào mạng điện xoay chiều có điện áp hiệu dụng 5 V. Nếu ở cuộn sơ cấp có 10 vòng dây bị quấn ngược thì điện áp hiệu dụng ở hai đầu cuộn thứ cấp khi để hở là
A. 7,500 V B. 9,375 V
C. 8,333 V D. 7,780 V
Lời giải:
Chọn B
Cuộn sơ cấp xem như mất đi 20 vòng:
C. Bài tập bổ sung
Câu 1: Máy biến áp là thiết bị
A. biến đổi tần số của dòng điện xoay chiều.
B. có khả năng biến đổi điện áp của dòng điện xoay chiều.
C. làm tăng công suất của dòng điện xoay chiều.
D. biến đổi dòng điện xoay chiều thành dòng điện một chiều.
Câu 2: Một máy biến thế có số vòng của cuộn sơ cấp là 5000 và thứ cấp là 1000. Bỏ qua mọi hao phí của máy biến thế. Đặt vào hai đầu cuộn sơ cấp hiệu điện thế xoay chiều có giá trị hiệu dụng 100 V thì hiệu điện thế hiệu dụng ở hai đầu cuộn thứ cấp khi để hở có giá trị là:
A. 20 V.
B. 40 V.
C. 10 V.
D. 500 V.
Câu 3: Một máy biến áp, cuộn sơ cấp có 500 vòng dây, cuộn thứ cấp có 50 vòng dây. Điện áp hiệu dụng ở hai đầu cuộn sơ cấp là 100V. Hiệu suất của máy biến áp là 95%. Mạch thứ cấp là một bóng đèn dây tóc tiêu thụ công suất 25W. Cường độ dòng điện qua đèn có giá trị bằng:
A. 25A.
B. 2,5 A.
C. 1,5 A.
D. 3 A.
Câu 4: Một máy biến áp có tỷ số vòng dây cuộn sơ cấp và cuộn thứ cấp là 10, hiệu suất là 90% nhận công suất 15 kW, hiệu điện thế ở hai đầu cuộn sơ cấp là 2 kV, hệ số công suất của cuộn thứ cấp là 0,75. Cường độ dòng điện trong cuộn thứ cấp là:
A. 80 A.
B. 85 A.
C. 90 A.
D. 60 A.
Câu 5: Cuộn sơ cấp của máy biến áp hạ áp có 1200 vòng, điện áp xoay chiều đặt vào cuộn sơ cấp là 100 V. Theo tính toán thì điện áp hiệu dụng hai đầu thứ cấp để hở là 60 V nhưng vì có một số vòng dây của cuộn thứ cấp quấn theo chiều ngược lại so với đa số vòng còn lại nên điện áp hiệu dụng hai đầu thứ cấp chỉ là 40 V. Bỏ qua mọi hao phí trong máy. Số vòng quấn ngược là:
A. 240.
B. 100.
C. 180.
D. 120.
Câu 6: Một máy tăng áp có cuộn thứ cấp mắc với điện trở thuần, cuộn sơ cấp mắc với nguồn điện xoay chiều. Tần số dòng điện trong cuộn thứ cấp
A. có thể nhỏ hơn hoặc lớn hơn tần số trong cuộn sơ cấp.
B. luôn nhỏ hơn tần số dòng điện trong cuộn sơ cấp
C. bằng tần số dòng điện trong cuộn sơ cấp.
D. luôn lớn hơn tần số dòng điện trong cuộn sơ cấp.
Câu 7: Một máy biến áp có số vòng dây của cuộn sơ cấp lớn hơn số vòng dây của cuộn thứ cấp. Máy biến áp này có tác dụng
A. tăng điện áp và tăng tần số của dòng điện xoay chiều.
B. tăng điện áp mà không thay đổi tần số của dòng điện xoay chiều.
C. giảm điện áp và giảm tần số của dòng điện xoay chiều
D. giảm điện áp mà không thay đổi tần số của dòng điện xoay chiều.
Câu 8: Một máy biến thế có số vòng dây cảu cuộn sơ cấp nhỏ hơn số vòng dây của cuộn thứ cấp. Máy biến thế này có tác dụng nào sau đây?
A. Giảm cả cường độ dòng điện lẫn hiệu điện thế
B. Giảm hiệu điện thế và tăng cường độ dòng điện
C. Tăng cả cường độ dòng điện và hiệu điện thế
D. Tăng hiệu điện thế và giảm cường độ dòng điện
Câu 9: Phát biểu nào sau đây là sai? Công suất hao phí trên đường dây tải điện phụ thuộc vào
A. chiều dài đường dây tải điện.
B. điện áp hai đầu dây ở trạm phát điện.
C. hệ số công suất của thiết bị tiêu thụ điện.
D. thời gian dòng điện chạy qua dây tải.
Câu 10: Khi dùng máy biến áp, nếu tăng điện áp hiệu dụng ở hai đầu đường dây truyền tải lên 3 lần thì công số hao phí (do tỏa nhiệt) trên đường dây tải điện đến nơi tiêu thụ tăng hay giảm bao nhiêu lần so với khi không dùng máy biến áp?
A. Tăng 3 lần.
B. Tăng 9 lần.
C. Giảm 3 lần.
D. Giảm 9 lần.
(199k) Xem Khóa học Vật Lí 12 KNTTXem Khóa học Vật Lí 12 CDXem Khóa học Vật Lí 12 CTST
Xem thêm các dạng bài tập Vật Lí lớp 12 ôn thi Tốt nghiệp có lời giải hay khác:
Bài tập máy phát điện xoay chiều, máy biến áp, truyền tải điện năng
Bài tập máy phát điện xoay chiều, máy biến áp, truyền tải điện năng (phần 2)
Đã có app VietJack trên điện thoại, giải bài tập SGK, SBT Soạn văn, Văn mẫu, Thi online, Bài giảng....miễn phí. Tải ngay ứng dụng trên Android và iOS.
Theo dõi chúng tôi miễn phí trên mạng xã hội facebook và youtube:Nếu thấy hay, hãy động viên và chia sẻ nhé! Các bình luận không phù hợp với nội quy bình luận trang web sẽ bị cấm bình luận vĩnh viễn.
- Giải Tiếng Anh 12 Global Success
- Giải sgk Tiếng Anh 12 Smart World
- Giải sgk Tiếng Anh 12 Friends Global
- Lớp 12 Kết nối tri thức
- Soạn văn 12 (hay nhất) - KNTT
- Soạn văn 12 (ngắn nhất) - KNTT
- Giải sgk Toán 12 - KNTT
- Giải sgk Vật Lí 12 - KNTT
- Giải sgk Hóa học 12 - KNTT
- Giải sgk Sinh học 12 - KNTT
- Giải sgk Lịch Sử 12 - KNTT
- Giải sgk Địa Lí 12 - KNTT
- Giải sgk Giáo dục KTPL 12 - KNTT
- Giải sgk Tin học 12 - KNTT
- Giải sgk Công nghệ 12 - KNTT
- Giải sgk Hoạt động trải nghiệm 12 - KNTT
- Giải sgk Giáo dục quốc phòng 12 - KNTT
- Giải sgk Âm nhạc 12 - KNTT
- Giải sgk Mĩ thuật 12 - KNTT
- Lớp 12 Chân trời sáng tạo
- Soạn văn 12 (hay nhất) - CTST
- Soạn văn 12 (ngắn nhất) - CTST
- Giải sgk Toán 12 - CTST
- Giải sgk Vật Lí 12 - CTST
- Giải sgk Hóa học 12 - CTST
- Giải sgk Sinh học 12 - CTST
- Giải sgk Lịch Sử 12 - CTST
- Giải sgk Địa Lí 12 - CTST
- Giải sgk Giáo dục KTPL 12 - CTST
- Giải sgk Tin học 12 - CTST
- Giải sgk Hoạt động trải nghiệm 12 - CTST
- Giải sgk Âm nhạc 12 - CTST
- Lớp 12 Cánh diều
- Soạn văn 12 Cánh diều (hay nhất)
- Soạn văn 12 Cánh diều (ngắn nhất)
- Giải sgk Toán 12 Cánh diều
- Giải sgk Vật Lí 12 - Cánh diều
- Giải sgk Hóa học 12 - Cánh diều
- Giải sgk Sinh học 12 - Cánh diều
- Giải sgk Lịch Sử 12 - Cánh diều
- Giải sgk Địa Lí 12 - Cánh diều
- Giải sgk Giáo dục KTPL 12 - Cánh diều
- Giải sgk Tin học 12 - Cánh diều
- Giải sgk Công nghệ 12 - Cánh diều
- Giải sgk Hoạt động trải nghiệm 12 - Cánh diều
- Giải sgk Giáo dục quốc phòng 12 - Cánh diều
- Giải sgk Âm nhạc 12 - Cánh diều


Giải bài tập SGK & SBT
Tài liệu giáo viên
Sách
Khóa học
Thi online
Hỏi đáp

