Cách giải bài tập về Máy phát điện xoay chiều (hay, chi tiết)
Bài viết Cách giải bài tập về Máy phát điện xoay chiều với phương pháp giải chi tiết giúp học sinh ôn tập, biết cách làm bài tập Cách giải bài tập về Máy phát điện xoay chiều .
Cách giải bài tập về Máy phát điện xoay chiều (hay, chi tiết)
(199k) Xem Khóa học Vật Lí 12 KNTTXem Khóa học Vật Lí 12 CDXem Khóa học Vật Lí 12 CTST
A. Phương pháp & Ví dụ
1. Phương pháp
Công thức cần nhớ:
- Khi máy phát điện có p cặp cực, roto quay với tốc độ n vòng/giây, tần số dòng điện do máy phát ra sẽ là f = p.n.
- Khi máy phát điện có p cặp cực, roto quay với tốc độ n vòng/phút, tần số dòng điện do máy phát ra sẽ là: f = p.n / 60
- Một cuộn dây ứng một cặp cực
- Công suất tiêu thụ trên động cơ điện: Php + Pch = Ptt → I2r + P = UIcosφ
2. Ví dụ
Ví dụ 1: Một máy phát điện xoay chiều một pha có phần cảm là roto gồm 4 cặp cực (4 cực nam và 4 cực bắc). Để suất điện động do máy này sinh ra có tần số 50Hz thì roto phải quay với tốc độ:
A. 750 vòng/phút B. 75 vòng/phút
C. 25 vòng/phút D. 480 vòng/phút
Lời giải:
Để ý thấy trong các đáp án, đơn vị của tốc độ quay của roto là vòng/phút.
Do đó ta có công thức: f = p.n / 60 ⇒ n = 60f / p
Ở đây, f = 50 Hz, p = 4, do đó: n = 60f / p = 60.50 / 4 = 750 (vòng/phút)
Đáp án A
Ví dụ 2: Một động cơ điện xoay chiều khi hoạt động bình thường với điện áp hiệu dụng 220V thì sinh ra công suất cơ học 170W. Biết động cơ có hệ số công suất là 0,85 và công suất tỏa nhiệt trên dây quấn động cơ là 17W. Bỏ qua các hao phí khác, cường độ dòng điện cực đại qua động cơ là:
A. 2A. B. √3 A. C. 1A. D. √2 A
Lời giải:
Ta có:
Do đó Io = I√2 = √2
Đáp án D.
Ví dụ 3: Một động cơ điện xoay chiều có điện trở dây cuốn là 32Ω , khi mắc vào mạch điện áp hiệu dụng 220V thì sản ra công suất 43W. Biết hệ số công suất là 0,9. Tính cường độ dòng điện chạy qua động cơ.
A. 0,5A B. 0,25A C. 1A D. 2A
Lời giải:
Ta có biểu thức công suất tiêu thụ của động cơ:
I2r + Pch = UIcosφ
Trong đó, r = 32Ω, U = 200V , Pd = 43W, cosφ = 0,9 . Khi đó phương trình trên trở thành: 32I2 - 180I + 43 = 0
⇒ I1 = 43/8 (A) hoặc I2 = 0,25A (loại I1 vì quá lớn, không phù hợp với thực tế).
Đáp án B
B. Bài tập trắc nghiệm
Câu 1. (TN 2009). Một máy phát điện xoay chiều một pha có phần cảm là rôto gồm 4 cặp cực (4 cực nam và 4 cực bắc). Để suất điện động do máy này sinh ra có tần số 50 Hz thì rôto phải quay với tốc độ
A. 750 vòng/phút. B. 75 vòng/phút.
C. 25 vòng/phút. D. 480 vòng/phút.
Lời giải:
f = pn/60 → n = 60f/p = 750 vòng/phút. Chọn A.
Câu 2. (TN 2011). Rôto của máy phát điện xoay chiều một pha là nam châm có bốn cặp cực (4 cực nam và cực bắc). Khi rôto quay với tốc độ 900 vòng/phút thì suất điện động do máy tạo ra có tần số là
A. 60 Hz. B. 100 Hz.
C. 120 Hz. D. 50 Hz.
Lời giải:
f = pn/60 = 60 Hz. Chọn A.
Câu 3. (CĐ 2009). Một máy phát điện xoay chiều một pha có phần cảm là rôto gồm 10 cặp cực (10 cực nam và 10 cực bắc) Rôto quay với tốc độ 300 vòng/phút. Suất điện động do máy sinh ra có tần số bằng
A. 50 Hz. B. 100 Hz.
C. 120 Hz. D. 60 Hz.
Lời giải:
f = pn/60 = 50 Hz. Chọn A.
Câu 4. (CĐ 2010). Một máy phát điện xoay chiều một pha có phần cảm là rôto quay với tốc độ 375 vòng/phút. Tần số của suất điện động cảm ứng mà máy phát tạo ra là 50 Hz. Số cặp cực của rôto bằng
A. 12. B. 4. C. 16. D. 8.
Lời giải:
f = pn/60 → p = 60f/n = 8.Chọn D.
Câu 5. (ĐH 2010). Trong giờ học thực hành, học sinh mắc nối tiếp một quạt điện xoay chiều với điện trở R rồi mắc hai đầu đoạn mạch này vào điện áp xoay chiều có giá trị hiệu dụng 380 V. Biết quạt điện này có các giá trị định mức: 220 V - 88 W và khi hoạt động đúng công suất định mức thì độ lệch pha giữa điện áp ở hai đầu quạt và cường độ dòng điện qua nó là φ, với cosφ = 0,8. Để quạt điện này chạy đúng công suất định mức thì R bằng
A. 354 Ω. B. 361 Ω. C. 267 Ω. D. 180 Ω.
Lời giải:
Quạt là cuộn dây có điện trở thuần r và độ tự cảm L
Chọn B.
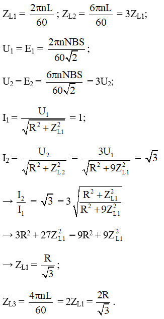
Câu 6. (ĐH 2010). Nối hai cực của một máy phát điện xoay chiều một pha vào hai đầu đoạn mạch AB gồm điện trở thuần R mắc nối tiếp với cuộn cảm thuần. Bỏ qua điện trở các cuộn dây của máy phát. Khi rôto của máy quay đều với tốc độ n vòng/phút thì cường độ hiệu dụng trong đoạn mạch là 1 A. Khi rôto của máy quay đều với tốc độ 3n vòng/phút thì cường độ hiệu dụng trong đoạn mạch là √3 A. Nếu rôto của máy quay đều với tốc độ 2n vòng/phút thì cảm kháng của đoạn mạch AB là
A. R/√3 . B. 2R√3 . C. 2R/√3 . D. R√3 .
Lời giải:
Chọn C.
Câu 7. (ĐH 2010). Một động cơ điện xoay chiều khi hoạt động bình thường với điện áp hiệu dụng 220 V thì sinh ra công suất cơ học là 170 W. Biết động cơ có hệ số công suất 0,85 và công suất tỏa nhiệt trên dây quấn động cơ là 17 W. Bỏ qua các hao phí khác, cường độ dòng điện cực đại qua động cơ là
A. 2 A. B. √3 A. C. 1 A. D. √2 A.
Lời giải:
Chọn D.
Câu 8. (ĐH 2012). Một động cơ điện xoay chiều hoạt động bình thường với điện áp hiệu dụng 220V, cường độ dòng điện hiệu dụng 0,5 A và hệ số công suất của động cơ là 0,8 . Biết rằng công suất hao phí của động cơ là 11 W. Hiệu suất của động cơ (tỉ số giữa công suất hữu ích và công suất tiêu thụ toàn phần) là
A. 80%. B. 90%. C. 92,5%. D. 87,5 %.
Lời giải:
P = UIcosφ = 88 W; H = (P - Ptnh)/P = 0,875 = 87,5 %. Chọn D.
Câu 9. Một động cơ điện không đồng bộ sinh ra công cơ học gấp 80 lần nhiệt lượng tỏa ra trên máy. Hiệu suất của động cơ là
A. 80%. B. 85%. C. 90%. D. 98,77%.
Lời giải:
Chọn D.
Câu 10. Một máy phát điện xoay chiều 1 pha có 4 cặp cực và rôto quay với tốc độ 900 vòng/phút. Máy phát điện xoay chiều thứ hai có 6 cặp cực phải quay với tốc độ bằng bao nhiêu để tần số điện áp xoay chiều do hai máy phát ra bằng nhau
A. 600 vòng/phút. B. 750 vòng/phút.
C. 1200 vòng/phút. D. 300 vòng/phút.
Lời giải:
f = np/60 = n'p'/60 → n’ = np/p' = 600 vòng/phút. Chọn A.
(199k) Xem Khóa học Vật Lí 12 KNTTXem Khóa học Vật Lí 12 CDXem Khóa học Vật Lí 12 CTST
Xem thêm các dạng bài tập Vật Lí lớp 12 ôn thi Tốt nghiệp có lời giải hay khác:
Bài tập máy phát điện xoay chiều, máy biến áp, truyền tải điện năng
Bài tập máy phát điện xoay chiều, máy biến áp, truyền tải điện năng (phần 2)
Đã có app VietJack trên điện thoại, giải bài tập SGK, SBT Soạn văn, Văn mẫu, Thi online, Bài giảng....miễn phí. Tải ngay ứng dụng trên Android và iOS.
Theo dõi chúng tôi miễn phí trên mạng xã hội facebook và youtube:Nếu thấy hay, hãy động viên và chia sẻ nhé! Các bình luận không phù hợp với nội quy bình luận trang web sẽ bị cấm bình luận vĩnh viễn.
- Giải Tiếng Anh 12 Global Success
- Giải sgk Tiếng Anh 12 Smart World
- Giải sgk Tiếng Anh 12 Friends Global
- Lớp 12 Kết nối tri thức
- Soạn văn 12 (hay nhất) - KNTT
- Soạn văn 12 (ngắn nhất) - KNTT
- Giải sgk Toán 12 - KNTT
- Giải sgk Vật Lí 12 - KNTT
- Giải sgk Hóa học 12 - KNTT
- Giải sgk Sinh học 12 - KNTT
- Giải sgk Lịch Sử 12 - KNTT
- Giải sgk Địa Lí 12 - KNTT
- Giải sgk Giáo dục KTPL 12 - KNTT
- Giải sgk Tin học 12 - KNTT
- Giải sgk Công nghệ 12 - KNTT
- Giải sgk Hoạt động trải nghiệm 12 - KNTT
- Giải sgk Giáo dục quốc phòng 12 - KNTT
- Giải sgk Âm nhạc 12 - KNTT
- Giải sgk Mĩ thuật 12 - KNTT
- Lớp 12 Chân trời sáng tạo
- Soạn văn 12 (hay nhất) - CTST
- Soạn văn 12 (ngắn nhất) - CTST
- Giải sgk Toán 12 - CTST
- Giải sgk Vật Lí 12 - CTST
- Giải sgk Hóa học 12 - CTST
- Giải sgk Sinh học 12 - CTST
- Giải sgk Lịch Sử 12 - CTST
- Giải sgk Địa Lí 12 - CTST
- Giải sgk Giáo dục KTPL 12 - CTST
- Giải sgk Tin học 12 - CTST
- Giải sgk Hoạt động trải nghiệm 12 - CTST
- Giải sgk Âm nhạc 12 - CTST
- Lớp 12 Cánh diều
- Soạn văn 12 Cánh diều (hay nhất)
- Soạn văn 12 Cánh diều (ngắn nhất)
- Giải sgk Toán 12 Cánh diều
- Giải sgk Vật Lí 12 - Cánh diều
- Giải sgk Hóa học 12 - Cánh diều
- Giải sgk Sinh học 12 - Cánh diều
- Giải sgk Lịch Sử 12 - Cánh diều
- Giải sgk Địa Lí 12 - Cánh diều
- Giải sgk Giáo dục KTPL 12 - Cánh diều
- Giải sgk Tin học 12 - Cánh diều
- Giải sgk Công nghệ 12 - Cánh diều
- Giải sgk Hoạt động trải nghiệm 12 - Cánh diều
- Giải sgk Giáo dục quốc phòng 12 - Cánh diều
- Giải sgk Âm nhạc 12 - Cánh diều


Giải bài tập SGK & SBT
Tài liệu giáo viên
Sách
Khóa học
Thi online
Hỏi đáp

