Tổng hợp Lý thuyết Vật Lí lớp 12 Học kì 1 đầy đủ, chi tiết
Bài viết Tổng hợp Lý thuyết Vật Lí lớp 12 Học kì 1 với phương pháp giải chi tiết giúp học sinh ôn tập, biết cách làm bài tập Tổng hợp Lý thuyết Vật Lí lớp 12 Học kì 1.
Tổng hợp Lý thuyết Vật Lí lớp 12 Học kì 1 đầy đủ, chi tiết
(199k) Xem Khóa học Vật Lí 12 KNTTXem Khóa học Vật Lí 12 CDXem Khóa học Vật Lí 12 CTST
Để giúp học sinh dễ dàng hơn trong việc tổng hợp và nắm vững được kiến thức lý thuyết cũng như công thức môn Vật Lí lớp 12, VietJack biên soạn bản tóm tắt lý thuyết Vật Lí 12 Học kì 1 đầy đủ, chi tiết được biên soạn theo từng chương. Hi vọng loạt bài này sẽ như là cuốn sổ tay lý thuyết giúp bạn học tốt môn Vật Lí lớp 12 hơn từ đó đạt kết quả cao trong kì thi tốt nghiệp THPT.
Tổng hợp Lý thuyết Chương Dao động cơ
- Lý thuyết Dao động điều hòa
- Lý thuyết Con lắc lò xo
- Lý thuyết Con lắc đơn
- Lý thuyết Dao động tắt dần - Dao động cưỡng bức
- Lý thuyết Tổng hợp hai dao động điều hòa cùng phương cùng tần số - Phương pháp giản đồ Fre-nen
Tổng hợp Lý thuyết Chương Sóng cơ và Sóng âm
- Lý thuyết Sóng cơ và sự truyền sóng cơ
- Lý thuyết Giao thoa sóng
- Lý thuyết Sóng dừng
- Lý thuyết Sóng âm
- Sóng cơ là gì ? Sóng dọc, sóng ngang, phương trình sóng hay, chi tiết
- Giao thoa sóng là gì ? Công thức, Phương trình giao thoa sóng chi tiết
- Sóng dừng là gì ? Cách xác định nút sóng, bụng sóng hay, chi tiết
- Sóng âm là gì ? Công thức, đặc trưng vật lí của sóng âm hay, chi tiết
Tổng hợp Lý thuyết Chương Dòng điện xoay chiều
- Lý thuyết Đại cương về dòng điện xoay chiều
- Lý thuyết Các mạch điện xoay chiều chỉ chứa một phần tử
- Lý thuyết Mạch có R, L , C mắc nối tiếp
- Lý thuyết Công suất điện tiêu thụ của mạch xoay chiều. Hệ số công suất
- Lý thuyết Truyền tải điện năng máy biến áp
- Lý thuyết Máy phát điện xoay chiều
- Lý thuyết Động cơ không đồng bộ ba pha
Lý thuyết Dao động điều hòa
I) Khái niệm.
- Dao động cơ: là chuyển động qua lại quanh một vị trí cân bằng ( vị trí hợp lực tác dụng lên vật bằng không). VD: chuyển động đung đưa của chiếc lá,...
- Dao động tuần hoàn: là dao động cơ mà sau những khoảng thời gian bằng nhau vật trở lại vị trí cũ theo hướng cũ. Khi vật trở lại vị trí cũ theo hướng cũ thì vật thực hiện được một dao động toàn phần. Thời gian vật thực hiện một dao động toàn phần là một chu kỳ T. Số dao động toàn phần vật thực hiện được trong 1s là tần số f.
- VD: dao động của con lắc đồng hồ. Vị trí B: là vị trí cân bằng của con lắc.
+) Quá trình từ B → C → B: vật trở về cùng một vị trí nhưng không cùng chiều nên không phải là một dao động toàn phần.
+) Quá trình B → C → B → A → B: là một dao động toàn phần.
Dao động điều hòa: là dao động trong đó li đô (vị trí) của vật là một hàm côsin (hay sin) của thời gian.
II) Phương trình dao động điều hòa.
Điểm P dao động điều hòa trên một đoạn thẳng từ -A đến A luôn có thể coi là hình chiếu của một điểm M chuyển động tròn đều với tốc độ góc ω, trên đường tròn có đường kính là đoạn thẳng đó.
CM:
Giả sử t = 0 vật ở vị trí M0 được xác đinh bằng góc φ
Tại thời điểm t vị trí của M là (ωt + φ)
Khi đó hình chiều P của M có tọa độ :
x = A cos(ωt + φ)
Phương trình trên được gọi là phương trình của dao động điều hòa.
Trong đó:
x: Li độ của vật.
A: Biên độ của vật ( giá trị lớn nhất của li độ).
ω: tốc độ góc trong chuyển động tròn đều hay tần số góc trong dao động điều hòa.
ωt + φ: pha dao động tại thời điểm t.
φ: pha ban đầu ( pha dao động tại thời điểm ban đầu).
III) Vận tốc, gia tốc của vật dao động điều hòa
- Vận tốc v = x' = -Aω sin(ωt + φ) = ωA cos(ωt + φ + π/2)
→ Độ lớn vmax = ωA tại vị trí cân bằng x = 0; v = 0 tại vị trí biên x = ±A
- Gia tốc a = v' = x"= -ω2A = -ω2 A cos(ωt + φ) = ω2 A cos(ωt+φ + π)
→ Độ lớn amax = ω2 A tại vị trí biên x = ±A; a = 0 tại vị trí cân bằng x = 0
Nhận xét:
- Mối quan hệ giữa các giá trị tức thời x, v, a.
+) Vận tốc v sớm pha hơn li độ x một góc π/2:
+) Gia tốc a sớm pha hơn vận tốc v một góc π/2:
+) Gia tốc a và li độ x ngược pha: a = -ω2x
- Đồ thị của dao động điều hòa: đều là một đường hình sin.
Lý thuyết Con lắc lò xo
I) Khái niệm
- Con lắc lò xo gồm một vật nhỏ có khối lượng m gắn vào đầu một lò xo có độ cứng k và khối lượng không đáng kể.
II) Phương trình dao động
- Xét một con lắc lò xo nằm ngang: vật có khối lượng m, lò xo có độ cứng k, mặt ngang không ma sát.
Chọn trục tọa độ như hình vẽ, gốc tọa độ ở VTCB ( vị trí lò xo không biến dạng.
Các lực tác dụng lên vật: trọng lực P→, phản lực N→, lực đàn hồi F→.
Theo Định luật II Niu-tơn ta có: P→ + N→ + F→ = ma→
Chiếu lên trục Ox ta có: F = ma
⇔ -kx = ma ⇔ a = x" = (-k/m).x (Phương trình vi phân cấp 2)
Nghiệm của phương trình trên có dạng: x = A cos(ωt + φ)
Với
A, φ∶ được xác định từ điều kiện ban đầu của bài toán.
III) Lực trong con lắc lò xo:
- Lực đàn hồi Fđh: là lực xuất hiện khi lò xo bị biến dạng.
Fđh = -k∆l (Với ∆l là độ biến dạng của lò xo, so với vị trí lò xo không biến dạng)
- Lực phục hồi (lực hồi phục): là hợp lực tác dụng lên vật dao động điều hòa.
Fph = ma = -kx (Với x là li độ của vật, so với VTCB)
Lực phục hồi luôn hướng về vị trí cân bằng.
- Nhận xét
Trong con lắc lò xo nằm ngang: x = ∆l ( do VTCB là vị trí lò xo không biến dạng)
Trong con lắc lò xo thẳng đứng:
Tại VTCB, tổng hợp lực bằng 0: k∆l0 = mg
→ Độ biến dạng của lò xo ở VTCB ∆l0 = mg/k
(VTCB khác vị trí lò xo không biến dạng).
Độ lớn
Độ lớn
IV) Năng lượng trong con lắc lò xo:
- Động năng của con lắc lò xo:
- Thế năng đàn hồi của con lắc lò:
- Trong con lắc lò xo nằm ngang x = ∆l nên:
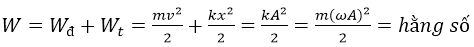
- Cơ năng trong con lắc lò xo:
- Nhận xét: Trong suốt quá trình dao động, động năng và thế năng của con lắc lò xo biên thiên tuần hoàn với chu kì T/2, còn cơ năng của vật được bảo toàn.
Lý thuyết Con lắc đơn
I) Khái niệm:
- Con lắc đơn gồm một vật nhỏ khối lượng m, treo ở đầu một sợi dây không dãn, khối lượng không đáng kể, có chiều dài l
II) Phương trình dao động:
* Xét một con lắc đơn: vật có khối lượng, sợi dây có chiều dài l, không dãn.
- Chọn trục tọa độ như hình vẽ, gốc tọa độ ở VTCB ( vị trí dây treo thẳng đứng). khi đó vị trí của vật được xác định bởi li độ cong (dài) s và li độ góc α. Với s = α.l
- Các lực tác dụng lên vật: trọng lực P→, lực căng dây T→.
- Theo Định luật II Niu-tơn ta có: P→ + T→ = ma→ (1)
- Chiếu (1) lên phương chuyển động ta có:
- Psinα = ma
→ Dao động của con lắc đơn nói chung không dao động điều hòa
Xét: TH góc α nhỏ thì sinα ≈ α (rad) khi đó ta có pt:
⇔ a = s" = -(g/l)s ( phương trình vi phân cấp 2)
Nghiệm của phương trình trên có dạng: s = S0cos(ωt + φ) hay: α = α0 cos(ωt + φ) (với S0 = α0l
Với
S0, α0,φ∶ được xác định từ điều kiện ban đầu của bài toán.
III) Năng lượng trong con lắc đơn:
Thế năng trọng trường của con lắc đơn:
Wt = mgh = mgl(1 - cosα)
Cơ năng của con lắc:
W = Wđ + Wt = Wtmax = mgl(1 - cosα0)
Động năng của con lắc đơn:
Wđ = W - Wt = mgl(cosα - cosα0) = (mv2)/2
→ Vận tốc của vật:
IV) Lực trong con lắc đơn:
- Trong con lắc đơn: thành phần Psinα đóng vai trò là lực kéo về.
Chiếu (1) lên phương sợi dây ta có:(do vật chuyển động tròn)
→ Lực căng dây
Đã có app VietJack trên điện thoại, giải bài tập SGK, SBT Soạn văn, Văn mẫu, Thi online, Bài giảng....miễn phí. Tải ngay ứng dụng trên Android và iOS.
Theo dõi chúng tôi miễn phí trên mạng xã hội facebook và youtube:Nếu thấy hay, hãy động viên và chia sẻ nhé! Các bình luận không phù hợp với nội quy bình luận trang web sẽ bị cấm bình luận vĩnh viễn.
- Giải Tiếng Anh 12 Global Success
- Giải sgk Tiếng Anh 12 Smart World
- Giải sgk Tiếng Anh 12 Friends Global
- Lớp 12 Kết nối tri thức
- Soạn văn 12 (hay nhất) - KNTT
- Soạn văn 12 (ngắn nhất) - KNTT
- Giải sgk Toán 12 - KNTT
- Giải sgk Vật Lí 12 - KNTT
- Giải sgk Hóa học 12 - KNTT
- Giải sgk Sinh học 12 - KNTT
- Giải sgk Lịch Sử 12 - KNTT
- Giải sgk Địa Lí 12 - KNTT
- Giải sgk Giáo dục KTPL 12 - KNTT
- Giải sgk Tin học 12 - KNTT
- Giải sgk Công nghệ 12 - KNTT
- Giải sgk Hoạt động trải nghiệm 12 - KNTT
- Giải sgk Giáo dục quốc phòng 12 - KNTT
- Giải sgk Âm nhạc 12 - KNTT
- Giải sgk Mĩ thuật 12 - KNTT
- Lớp 12 Chân trời sáng tạo
- Soạn văn 12 (hay nhất) - CTST
- Soạn văn 12 (ngắn nhất) - CTST
- Giải sgk Toán 12 - CTST
- Giải sgk Vật Lí 12 - CTST
- Giải sgk Hóa học 12 - CTST
- Giải sgk Sinh học 12 - CTST
- Giải sgk Lịch Sử 12 - CTST
- Giải sgk Địa Lí 12 - CTST
- Giải sgk Giáo dục KTPL 12 - CTST
- Giải sgk Tin học 12 - CTST
- Giải sgk Hoạt động trải nghiệm 12 - CTST
- Giải sgk Âm nhạc 12 - CTST
- Lớp 12 Cánh diều
- Soạn văn 12 Cánh diều (hay nhất)
- Soạn văn 12 Cánh diều (ngắn nhất)
- Giải sgk Toán 12 Cánh diều
- Giải sgk Vật Lí 12 - Cánh diều
- Giải sgk Hóa học 12 - Cánh diều
- Giải sgk Sinh học 12 - Cánh diều
- Giải sgk Lịch Sử 12 - Cánh diều
- Giải sgk Địa Lí 12 - Cánh diều
- Giải sgk Giáo dục KTPL 12 - Cánh diều
- Giải sgk Tin học 12 - Cánh diều
- Giải sgk Công nghệ 12 - Cánh diều
- Giải sgk Hoạt động trải nghiệm 12 - Cánh diều
- Giải sgk Giáo dục quốc phòng 12 - Cánh diều
- Giải sgk Âm nhạc 12 - Cánh diều


Giải bài tập SGK & SBT
Tài liệu giáo viên
Sách
Khóa học
Thi online
Hỏi đáp

