Top 20 Bài tập trắc nghiệm Hệ hai phương trình bậc nhất hai ẩn (có lời giải)
Tài liệu Bài tập trắc nghiệm Hệ hai phương trình bậc nhất hai ẩn lớp 9 có đáp án với các dạng bài tập cơ bản, nâng cao đầy đủ các mức độ: nhận biết, thông hiểu, vận dụng, vận dụng cao sẽ giúp học sinh ôn luyện và biết cách làm các dạng bài tập Toán 9.
Top 20 Bài tập trắc nghiệm Hệ hai phương trình bậc nhất hai ẩn (có lời giải)
(199k) Học Toán 9 KNTTHọc Toán 9 CDHọc Toán 9 CTST
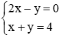
Câu 1: Cặp số (x; y) = (1; 3) là nghiệm của hệ phương trình bậc nhất hai ẩn nào trong các hệ phương trình sau:
Lời giải:
Hệ phương trình có chứa phương trình bậc hai là hệ phương trình ở đáp án D nên loại D
+ Với hệ phương trình A:
(luôn đúng) nên (1; 3) là nghiệm của hệ phương trình
+ Với hệ phương trình B:
Thay x = 1; y = 3 ta được (vô lý) nên loại B.
+ Với hệ phương trình C:
Thay x = 1; y = 3 ta được (vô lý) nên loại C.
Đáp án cần chọn là: A
Câu 2: Với m = 1 thì hệ phương trình có cặp nghiệm (x; y) là:
A. (3; 1)
B. (1; 3)
C. (−1; −3)
D. (−3; −1)
Lời giải:
Thay m = 1 vào hệ phương trình đã cho ta được:
Đáp án cần chọn là: A
Câu 3: Cặp số (x; y) là nghiệm của hệ phương trình là:
A. (−1; −2)
B. (2; 2)
C. (2; −1)
D. (3; 2)
Lời giải:
Đáp án cần chọn là: B
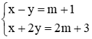
Câu 4: Với giá trị nào của m thì hệ phương trình nhận (3; 1) là nghiệm:
Lời giải:
Nhận thấy
thỏa mãn x – y = 2 nên ta thay
vào phương trình
ta được
Đáp án cần chọn là: B
Câu 5: Tìm cặp giá trị (a; b) để hai hệ phương trình sau tương đương
A. (−1; −1)
B. (1; 2)
C. (−1; 1)
D. (1; 1)
Lời giải:
Giải hệ phương trình (I)
Hai phương trình tương đương ⇔ hai phương trình có cùng tập nghiệm hay (3; 1) cũng là nghiệm của phương trình (II)
Thay
vào hệ phương trình (II) ta được
Đáp án cần chọn là: D
Câu 6: Tìm m ≠ 2 để hệ phương trình có vô số nghiệm
A. m = 0; m = −2
B. m = −2
C. m = 0
D. Không có giá trị m
Lời giải:
Hệ phương trình đã cho có vô số nghiệm
Đáp án cần chọn là: B
Câu 7: Với giá trị nào của m thì hệ phương trình có vô số nghiệm
A. m = 1
B. m = −1
C. m = ±1
D. m ≠ ±1
Lời giải:
Nếu m = 1 ta được 0x = 0 (đúng với ∀x) ⇒ Hệ phương trình có vô số nghiệm
Nếu m = −1 ta được 0x = 2 (vô lý) ⇒ hệ phương trình vô nghiệm
Đáp án cần chọn là: A
Câu 8: Nghiệm (x; y) của hệ phương trình là:
Lời giải:
Đáp án cần chọn là: C
Câu 9: Số nghiệm của hệ phương trình sau: là:
A. 2
B. 4
C. 3
D. 1
Lời giải:
Đặt |x| = a ≥ 0; |y| = b ≥ 0
Khi đó, ta có hệ phương trình:
Đáp án cần chọn là: B
Câu 10: Cho hệ phương trình . Hệ thức liên hệ giữa x và y không phụ thuộc vào giá trị của m là:
Lời giải:
Vậy x2 + y2 = 1 không phụ thuộc vào giá trị của m
Đáp án cần chọn là: D
Câu 11: Tìm giá tị của m để hệ phương trình có nghiệm duy nhất.
A. m = −1
B. m = 0; m = 1
C. m = 0; m = −2
D. m = −2; m = 1
Lời giải:
Để hệ phương trình có nghiệm nguyên duy nhất ⇒ x nguyên
Đáp án cần chọn là: C
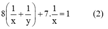
Câu 12: Giá trị của a để hệ phương trình là:
A. a = 1
B. a = 0
C. a = 0; a = 1
D. a ≠ 0; a ≠ 1
Lời giải:
Để hệ phương trình đã cho có nghiệm thỏa mãn: x < 1; y < 1
Đáp án cần chọn là: D
Câu 13: Cho hệ phương trình .
Tìm m để hệ phương trình có nghiệm (x; y) thỏa mãn
Lời giải:
Đáp án cần chọn là: A
Câu 14: Hai bạn A và B đi xe máy khởi hành từ 2 địa điểm cách nhau 150 km, đi ngược chiều nhau và gặp nhau sau 2h. Tìm vận tốc của mỗi người biết nếu A tăng vận tốc thêm 5 km/h và B giảm vận tốc 5 km/h thì vận tốc của A gấp đôi vận tốc của B.
A. 12 km/h và 15 km/h
B. 40 km/h và 45 km/h
C. 25 km/h và 35 km/h
D. 45 km/h và 30 km/h
Lời giải:
Gọi vận tốc của A và B lần lượt là x, y (km/h; x, y > 0)
Hai người đi ngược chiều nhau và gặp nhau sau 2h nên ta có phương trình:
2x + 2y = 150 (1)
Nếu A tăng vận tốc thêm 5 km/h và B giảm vận tốc 5 km/h thì vận tốc của A gấp đôi vận tốc của B nên ta có x + 5 = 2 (y – 5) (2)
Vậy vận tốc của A và B lần lượt là: 45 km/h và 30 km/h
Đáp án cần chọn là: D
Câu 15: Một ca nô đi từ A đến B với vận tốc và thời gian dự định. Nếu ca nô tăng vận tốc thêm 3 km/h thì thời gian rút ngắn được 2h. Nếu ca nô giảm vận tốc đi 3 km/h thì thời gian tăng 3h. Tính vận tốc và thời gian dự định của ca nô.
A. 10 km/h và 10h
B. 15 km/h và 12h
C. 20 km/h và 8h
D. 15 V và 11h
Lời giải:
Gọi vận tốc dự định của ca nô là x (km/h, x > 3)
Thời gian dự định đi từ A đến B là y (h, y > 0)
Quãng đường AN là xy (km)
Nếu ca nô tăng vận tốc thêm 3 km/h thì thời gian rút ngắn được 2h nên ta có phương trình:
(x + 3) (y – 2) = xy (1)
Nếu ca nô giảm vận tốc đi 3 km/h thì thời gian tăng 3h nên ta có phương trình:
(x – 3) (y + 3) = xy (2)
Vậy vận tốc dự định của ca nô là 15 km/h và thời gian dự định đi từ A đến B là 12h
Đáp án cần chọn là: B
Câu 16: Một xe máy đi từ A đến B trong thời gian đã định. Nếu đi với vận tốc 45 km/h sẽ tới B chậm nửa giờ. Nếu đi với vận tốc 60 km/h sẽ tới B sớm 45 phút. Tính quãng đường AB.
A. 225 km
B. 200 km
C. 150 km
D. 100 km
Lời giải:
Gọi quãng đường AB là x (km; x > 0) và thời gian dự định là y (h;)
Nếu đi với vận tốc 45 km/h sẽ tới B chậm nửa giờ nên ta có phương trình:
Nếu đi với vận tốc 60 km/h sẽ tới B sớm 45 phút nên ta có:
Từ (1) và (2) ta có hệ phương trình:
Vậy quãng đường AB là 225 km
Đáp án cần chọn là: A
Câu 17: Tháng thứ nhất, 2 tổ sản xuất được 1200 sản phẩm. Tháng thứ hai, tổ I vượt mức 30% và tổ II bị giảm năng suất 22% so với tháng thứ nhất. Vì vậy 2 tổ đã sản xuất được 1300 sản phẩm. Hỏi tháng thứ hai, tổ 2 sản xuất được bao nhiêu sản phẩm.
A. 400 sản phẩm
B. 450 sản phẩm
C. 390 sản phẩm
D. 500 sản phẩm
Lời giải:
Gọi số sản phẩm của tổ I sản xuất được trong tháng thứ nhất là x (sản phẩm); số sản phẩm của tổ II sản xuất được trong tháng thứ nhất là y (sản phẩm)
(x, y ∈ N*; x, y < 1200)
Tháng thứ nhất, 2 tổ sản xuất được 1200 sản phẩm nên ta có phương trình:
x + y = 1200 (1)
Tháng thứ 2, tổ I vượt mức 30% nên tổ I sản xuất được (x + x. 30%) sản phẩm và tổ II giảm mức đi 22% so với tháng thứ nhất nên tổ 2 sản xuất được (y – y.22%) sản phẩm.
Do đó, 2 tổ đã sản xuất được 1300 sản phẩm, nên ta có phương trình:
Vậy trong tháng thứ hai tổ II sản xuất được 500.78 : 100 = 390 sản phẩm
Đáp án cần chọn là: C
Câu 18: Hai trường có tất cả 300 học sinh tham gia một cuộc thi. Biết trường A có 75% học sinh đạt, trường 2 có 60% đạt nên cả 2 trường có 207 học sinh đạt. Số học sinh dự thi của trường A và trường B lần lượt là:
A. 160 và 140
B. 180 và 120
C. 200 và 100
D. Tất cả đều sai
Lời giải:
Gọi số học sinh của trường thứ nhất dự thi là x (học sinh) (x , x < 300)
Số học sinh của trường thứ 2 dự thi là y (học sinh) (y , y < 300)
Hai trường có tất cả 300 học sinh tham gia một cuộc thi nên ta có phương trình:
x + y = 300 (1)
Trường A có 75% học sinh đạt, trường 2 có 60% đạt nên cả 2 trường có 207 học sinh đạt nên ta có:
Vậy số học sinh của trường thứ nhất dự thi là 180 học sinh; Số học sinh của trường thứ 2 dự thi là 120 học sinh.
Câu 19: Có 2 loại quặng chứa 75% sắt và 50% sắt. Tính khối lượng quặng chứa 75% sắt đem trộn với quặng chứa 50% sắt để được 35 tấn quặng chứa 66% sắt.
A. 16 tấn
B. 9 tấn
C. 10 tấn
D. 8 tấn
Lời giải:
Gọi khối lượng quặng chứa 75% sắt đem trộn là x tấn,
Gọi khối lượng quặng chứa 50% sắt đem trộn là y tấn (x, y > 0)
Vậy khối lượng quặng chứa 75% sắt đem trộn là 16 tấn
Đáp án cần chọn là: A
Câu 20: Hai đội xe được điều đi chở đất. Nếu cả 2 đội cùng làm thì trong 12 ngày xong việc. Nhưng 2 đội chỉ cùng làm trong 8 ngày thì đội 2 phải đi làm việc khác nên đội 1 phải tiếp tục làm 1 mình trong 7 ngày thì xong việc. Hỏi mỗi đội làm 1 mình thì trong bao lâu xong việc.
A. 19 ngày
B. 21 ngày
C. 20 ngày
D. 28 ngày
Lời giải:
Gọi thời gian đội thứ nhất làm một mình xong việc là x ngày, thời gian đội thứ 2 làm một mình xong việc là y ngày (x, y > 12)
Trong 1 ngày đội thứ nhất làm được 1/x (công việc); đội thứ 2 làm được 1/y (công việc)
Vì 2 đội cùng làm thì trong 12 ngày xong việc nên trong 1 ngày cả 2 đội làm được công việc nên ta có phương trình:
Nhưng 2 đội chỉ cùng làm trong 8 ngày thì đội 2 phải đi làm việc khác nên đội 1 phải làm một mình trong 7 ngày thì xong việc nên ta có phương trình:
Vậy thời gian đội thứ nhất làm 1 mình xong việc là 21 ngày
(199k) Học Toán 9 KNTTHọc Toán 9 CDHọc Toán 9 CTST
Xem thêm bài tập trắc nghiệm Toán lớp 9 có lời giải hay khác:
- Trắc nghiệm Giải hệ phương trình bằng phương pháp cộng đại số (có đáp án)
- Bài tập Hệ phương trình bậc nhất hai ẩn chứa tham số (có đáp án)
- Trắc nghiệm Giải bài toán bằng cách lập hệ phương trình (có đáp án)
- Trắc nghiệm Giải bài toán bằng cách lập hệ phương trình (có đáp án - phần 2)
- 17 Bài tập Hệ hai phương trình bậc nhất hai ẩn nâng cao (có đáp án)
Tủ sách VIETJACK luyện thi vào 10 cho 2k11 (2026):
Đã có app VietJack trên điện thoại, giải bài tập SGK, SBT Soạn văn, Văn mẫu, Thi online, Bài giảng....miễn phí. Tải ngay ứng dụng trên Android và iOS.
Theo dõi chúng tôi miễn phí trên mạng xã hội facebook và youtube:Loạt bài Chuyên đề: Lý thuyết - Bài tập Toán lớp 9 Đại số và Hình học có đáp án có đầy đủ Lý thuyết và các dạng bài được biên soạn bám sát nội dung chương trình sgk Đại số 9 và Hình học 9.
Nếu thấy hay, hãy động viên và chia sẻ nhé! Các bình luận không phù hợp với nội quy bình luận trang web sẽ bị cấm bình luận vĩnh viễn.
- Giải Tiếng Anh 9 Global Success
- Giải sgk Tiếng Anh 9 Smart World
- Giải sgk Tiếng Anh 9 Friends plus
- Lớp 9 Kết nối tri thức
- Soạn văn 9 (hay nhất) - KNTT
- Soạn văn 9 (ngắn nhất) - KNTT
- Giải sgk Toán 9 - KNTT
- Giải sgk Khoa học tự nhiên 9 - KNTT
- Giải sgk Lịch Sử 9 - KNTT
- Giải sgk Địa Lí 9 - KNTT
- Giải sgk Giáo dục công dân 9 - KNTT
- Giải sgk Tin học 9 - KNTT
- Giải sgk Công nghệ 9 - KNTT
- Giải sgk Hoạt động trải nghiệm 9 - KNTT
- Giải sgk Âm nhạc 9 - KNTT
- Giải sgk Mĩ thuật 9 - KNTT
- Lớp 9 Chân trời sáng tạo
- Soạn văn 9 (hay nhất) - CTST
- Soạn văn 9 (ngắn nhất) - CTST
- Giải sgk Toán 9 - CTST
- Giải sgk Khoa học tự nhiên 9 - CTST
- Giải sgk Lịch Sử 9 - CTST
- Giải sgk Địa Lí 9 - CTST
- Giải sgk Giáo dục công dân 9 - CTST
- Giải sgk Tin học 9 - CTST
- Giải sgk Công nghệ 9 - CTST
- Giải sgk Hoạt động trải nghiệm 9 - CTST
- Giải sgk Âm nhạc 9 - CTST
- Giải sgk Mĩ thuật 9 - CTST
- Lớp 9 Cánh diều
- Soạn văn 9 Cánh diều (hay nhất)
- Soạn văn 9 Cánh diều (ngắn nhất)
- Giải sgk Toán 9 - Cánh diều
- Giải sgk Khoa học tự nhiên 9 - Cánh diều
- Giải sgk Lịch Sử 9 - Cánh diều
- Giải sgk Địa Lí 9 - Cánh diều
- Giải sgk Giáo dục công dân 9 - Cánh diều
- Giải sgk Tin học 9 - Cánh diều
- Giải sgk Công nghệ 9 - Cánh diều
- Giải sgk Hoạt động trải nghiệm 9 - Cánh diều
- Giải sgk Âm nhạc 9 - Cánh diều
- Giải sgk Mĩ thuật 9 - Cánh diều


Giải bài tập SGK & SBT
Tài liệu giáo viên
Sách
Khóa học
Thi online
Hỏi đáp

