17 Bài tập Hệ hai phương trình bậc nhất hai ẩn nâng cao (có đáp án)
Tài liệu Bài tập Hệ hai phương trình bậc nhất hai ẩn nâng cao lớp 9 có lời giải chi tiết với các dạng bài tập đa dạng giúp học sinh ôn tập và biết cách làm bài tập Toán 9.
17 Bài tập Hệ hai phương trình bậc nhất hai ẩn nâng cao (có đáp án)
(199k) Học Toán 9 KNTTHọc Toán 9 CDHọc Toán 9 CTST
Câu 1: Cho hệ phương trình: . Tìm m để hệ phương trình có nghiệm duy nhất (x, y) trong đó x, y trái dấu.
Lời giải:
Từ phương trình (1) ta có x = 2y + 5. Thay x = 2y + 5 vào phương trình (2) ta được: m(2y + 5) – y = 4 ⇔ (2m – 1).y = 4 – 5m (3)
Hệ có nghiệm duy nhất khi và chỉ khi (3) có nghiệm duy nhất. Điều này tương đương với
Do đó: (thỏa mãn điều kiện)
Đáp án cần chọn là: A
Câu 2: Cho hệ phương trình: . Tìm số nguyên m sao cho hệ phương trình có nghiệm duy nhất (x; y) mà x, y đều là số nguyên.
A. m ∈ {−3; −2}
B. m ∈ {−3; −2; 0; 1}
C. m ∈ {−3; −2; 0}
D. m = −3
Lời giải:
Từ phương trình (2) ta có y = 3m – 1 – mx. Thay vào phương trình (1) ta được:
x + m(3m – 1 – mx) = m + 1 ⇔ (m2 – 1)x = 3m2 – 2m – 1 (3)
Hệ có nghiệm duy nhất khi và chỉ khi (3) có nghiệm duy nhất, tức là
Do đó m + 1 chỉ có thể là −2; −1; 1; 2. Vậy m ∈ {−3; −2; 0} hoặc m = 1 (loại)
Đáp án cần chọn là: C
Câu 3: Giải hệ phương trình: ta được số nghiệm là:
A. 4
B. 3
C. 2
D. 1
Lời giải:
Ta được hai nghiệm (−1; −1) và (−1; 2)
Ta được hai nghiệm
Vậy hệ có bốn nghiệm (−1; −1); (−1; 2);
Đáp án cần chọn là: A
Câu 4: Giải hệ phương trình:
(với x ; y ∈ R) ta được nghiệm là (x; y). Khi đó x. y bằng:
A. 4
B. 3
C. 2
D. 1
Lời giải:
Với x = y, thay vào (2) ta được:
x4 – 4x3 + 7x2 − 6x + 2 = 0 ⇔ (x – 1)2 (x2 – 2x + 2) = 0 ⇔ x = 1
Khi đó: y = 1 (TM). Vậy nghiệm của hệ là (1; 1)
Nên x. y = 1
Đáp án cần chọn là: B
Câu 5: Hệ phương trình có bao nhiêu nghiệm?
A. 1
B. 0
C. 2
D. 4
Lời giải:
Đặt điều kiện S2 ≥ 4P hệ phương trình đã cho trở thành
Vậy hệ có hai nghiệm
Đáp án cần chọn là: C
Câu 6: Biết nằng hệ phương trình
có hai cặp nhiệm (x1; y1); (x2; y2). Tính x1 + x2
A. 70
B. 80
C. 72
D. 64
Lời giải:
Đặt hệ phương trình đã cho trở thành
Vậy hệ đã cho có hai cặp nghiệm (x; y) = (8; 64), (64; 8)
Suy ra x1 + x2 = 72
Đáp án cần chọn là: C
Câu 7: Biết rằng hệ phương trình có nghiệm duy nhất (x; y). Tính x + 2y
A. 9
B. 6
C. 12
D. 3
Lời giải:
Đặt hệ phương trình đã cho trở thành:
Vậy hệ đã cho có nghiệm (x; y) = (3; 3)
Suy ra x + 2y = 9
Đáp án cần chọn là: A
Câu 8: Biết rằng hệ phương trình: có nghiệm duy nhất (x; y).
Lời giải:
Thay x = y vào ta được
2x + 2|x| = 16 ⇔ x + |x| = 8 ⇒ x = 4 ⇒ y = x = 4
Vậy hệ có một cặp nghiệm duy nhất (x; y) = (4; 4)
Đáp án cần chọn là: D
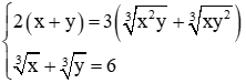
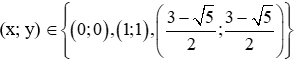
Câu 9: Hệ phương trình có số nghiệm là?
A. 3
B. 0
C. 4
D. 1
Lời giải:
Đáp án cần chọn là: C
Câu 10: Hệ phương trình có bao nhiêu cặp nghiệm (x; y) mà x < 1?
A. 3
B. 0
C. 2
D. 1
Lời giải:
Hệ tương đương với
Đặt xy (x + y) = a; xy + x + y = b. Ta thu được hệ:
Vậy hệ có nghiệm (x; y) = (1; 2), (2; 1),
Suy ra có một cặp nghiệm thỏa mãn đề bài là
Đáp án cần chọn là: D
Câu 11: Hệ phương trình
có bao nghiêu cặp nghiệm (x; y) ≠ (0; 0)?
A. 3
B. 0
C. 2
D. 1
Lời giải:
Điều kiện x, y ≥ 0. Trừ hai phương trình của hệ cho nhau ta thu được
Vì nên phương trình đã cho tương đương với x = y
Thay x = y vào phương trình ta được:
Vậy hệ có 3 cặp nghiệm
Suy ra có hai cặp nghiệm thỏa mãn đề bài.
Đáp án cần chọn là: C
Câu 12: Hệ phương trình có bao nhiêu cặp nghiệm (x; y) mà x > y
A. 1
B. 4
C. 2
D. 3
Lời giải:
Hệ đã cho
Trừ vế theo vế hai phương trình của hệ ta được:
2xy(y – x) +7 (x – y) + (x – y) (x + y) = 0
Mặt khác khi cộng hai phương trình của hệ đã cho ta được:
x2 + y2 – 5x – 5y + 12 = 0 ⇔ 4x2 – 20x + 25 + 4y2 – 20y + 25 – 2 = 0
⇔ (2x – 5)2 + (2y – 5)2 = 2 ⇔ (2x – 5)2 + (2y – 5)2 = 2
Đặt a = 2x – 5; b = 2y – 5
Trường hợp 1: (x; y) = (3; 2), (2; 3)
Trường hợp 2: vô nghiệm
Vậy nghiệm của hệ đã cho là (x; y) ∈ {(2; 2); (3; 3); (2; 3); (3; 2)}
Suy ra có một cặp nghiệm thỏa mãn yêu cầu bài toán là (x; y) = (3; 2)
Đáp án cần chọn là: A
Câu 13: Cho hệ phương trình . Số nghiệm của hệ phương trình trên là:
A. 1
B. 3
C. 2
D. Vô nghiệm
Lời giải:
Điều kiện xyz ≠ 0. Nhận thấy nếu một trong ba số x, y, z có một số âm, chẳng hạn x < 0 thì phương trình thứ 3 vô nghiệm. Nếu hai trong số ba số x, y, z là số âm chẳng hạn x, y < 0 thì phương trình thứ 2 vô nghiệm. Vậy ba số x, y, z cùng dấu
* Trường hợp 1: x, y, z > 0
Nếu x ≥ y chia hai vế của phương trình thứ hai cho hai vế của phương trình thứ ba của hệ ta được
Với x ≥ z chia hai vế phương trình chứ nhất cho phương trình thứ hai:
Với z ≤ y chia phương trình thứ nhất cho phương trình thứ ba:
Suy ra x = y = z thay vào hệ đã cho ta tìm được
* Trường hợp 2: x, y, z < 0 ta làm tương tự tìm được thêm nghiệm:
Vậy hệ phương trình có 2 nghiệm
Đáp án cần chọn là: C
Câu 14: Cho hệ phương trình . Khẳng định nào sau đây đúng?
A. Hệ phương trình đã cho có nghiệm x > 0
B. Hệ phương trình đã cho có nghiệm y > 0
C. Hệ phương trình đã cho vô nghiệm
D. Hệ phương trình đã cho có nghiệm x = y
Lời giải:
Thử lại x = y không thỏa mãn phương trình đầu của hệ.
Vậy hệ vô nghiệm
Đáp án cần chọn là: C
Câu 15: Cho (x; y; z) là nghiệm của hệ phương trình . Khẳng định nào trong các khẳng định sau là sai:
A. x + y + z là số nguyên
B. x + y + z > 1
C. x + y + z < 6
D. Không tồn tại giá trị x + y + z
Lời giải:
Cộng vế với vế của từng phương trình với nhau ta được:
(x3 + 3x2 + x – 5) + (y3 + 3y2 + y – 5) + (z3 + 3z2 + z – 5) = 0
⇔ (x – 1)(x2 + 4x + 5) + (y – 1)(y2 + 4y + 5) + (z – 1)(z2 + 4z + 5) = 0 (1)
Nếu x > 1 ⇒ z3 + 3z2 + z – 5 > 1 ⇒ (z – 1)(z2 + 4z + 5) > 0 ⇒ z > 1
Tương tự với z > 1 ⇒ y > 1
Suy ra VT (1) > 0 (phương trình vô nghiệm)
Chứng minh tương tự với x < 1 ta cũng được phương trình (1) vô nghiệm
Suy ra phương trình (1) có nghiệm duy nhất x = y = z = 1
Đáp án cần chọn là: D
Câu 16: Cho (x; y; z) là nghiệm của hệ phương trình . Giá trị nhỏ nhất của A = x + y + z là:
Lời giải:
Nhận thấy x = y = z = 0 là một nghiệm của hệ phương trình
Xét x > 0; y > 0; z > 0 áp dụng bất đẳng thức Cosi cho hai số không âm ta có:
Chứng minh tương tự, ta được
Suy ra giá trị nhỏ nhất của A = x + y + z = 0 (khi x = y = z = 0)
Đáp án cần chọn là: A
Câu 17: Cho hệ phương trình . Giá trị của a để hệ phương trình có nghiệm duy nhất là?
Lời giải:
Phương trình (1) có nghiệm duy nhất
Nếu a < −1 ta có –x – 1 + ax + 1 = 0 ⇒ (a – 1)x = 0 (2)
Nếu a = 1 thì (2) là 0x = 0 đúng với mọi x < −1 nên (2) có vô số nghiệm hay hệ đã cho có vô số nghiệm (loại)
Nếu a ≠ 1 thì (2) có nghiệm duy nhất x = 0 (loại so x < −1). Do đó (2) vô nghiệm khi a ≠ 1
Để hệ phương trình đã cho có nghiệm duy nhất thì có 2 trường hợp:
Trường hợp 1: Phương trình (1) vô nghiệm và phương trình (2) có nghiệm duy nhất
Trường hợp này không xảy ra vì (2) chỉ có thể vô nghiệm hoặc vô số nghiệm
Trường hợp 2: Phương trình (1) có nghiệm duy nhất và phương trình (2) vô nghiệm
Đáp án cần chọn là: B
(199k) Học Toán 9 KNTTHọc Toán 9 CDHọc Toán 9 CTST
Xem thêm bài tập trắc nghiệm Toán lớp 9 có lời giải hay khác:
- Trắc nghiệm Giải hệ phương trình bằng phương pháp cộng đại số (có đáp án)
- Bài tập Hệ phương trình bậc nhất hai ẩn chứa tham số (có đáp án)
- Trắc nghiệm Giải bài toán bằng cách lập hệ phương trình (có đáp án)
- Trắc nghiệm Giải bài toán bằng cách lập hệ phương trình (có đáp án - phần 2)
- Top 20 Bài tập trắc nghiệm Hệ hai phương trình bậc nhất hai ẩn (có đáp án)
Tủ sách VIETJACK luyện thi vào 10 cho 2k11 (2026):
Đã có app VietJack trên điện thoại, giải bài tập SGK, SBT Soạn văn, Văn mẫu, Thi online, Bài giảng....miễn phí. Tải ngay ứng dụng trên Android và iOS.
Theo dõi chúng tôi miễn phí trên mạng xã hội facebook và youtube:Loạt bài Chuyên đề: Lý thuyết - Bài tập Toán lớp 9 Đại số và Hình học có đáp án có đầy đủ Lý thuyết và các dạng bài được biên soạn bám sát nội dung chương trình sgk Đại số 9 và Hình học 9.
Nếu thấy hay, hãy động viên và chia sẻ nhé! Các bình luận không phù hợp với nội quy bình luận trang web sẽ bị cấm bình luận vĩnh viễn.
- Giải Tiếng Anh 9 Global Success
- Giải sgk Tiếng Anh 9 Smart World
- Giải sgk Tiếng Anh 9 Friends plus
- Lớp 9 Kết nối tri thức
- Soạn văn 9 (hay nhất) - KNTT
- Soạn văn 9 (ngắn nhất) - KNTT
- Giải sgk Toán 9 - KNTT
- Giải sgk Khoa học tự nhiên 9 - KNTT
- Giải sgk Lịch Sử 9 - KNTT
- Giải sgk Địa Lí 9 - KNTT
- Giải sgk Giáo dục công dân 9 - KNTT
- Giải sgk Tin học 9 - KNTT
- Giải sgk Công nghệ 9 - KNTT
- Giải sgk Hoạt động trải nghiệm 9 - KNTT
- Giải sgk Âm nhạc 9 - KNTT
- Giải sgk Mĩ thuật 9 - KNTT
- Lớp 9 Chân trời sáng tạo
- Soạn văn 9 (hay nhất) - CTST
- Soạn văn 9 (ngắn nhất) - CTST
- Giải sgk Toán 9 - CTST
- Giải sgk Khoa học tự nhiên 9 - CTST
- Giải sgk Lịch Sử 9 - CTST
- Giải sgk Địa Lí 9 - CTST
- Giải sgk Giáo dục công dân 9 - CTST
- Giải sgk Tin học 9 - CTST
- Giải sgk Công nghệ 9 - CTST
- Giải sgk Hoạt động trải nghiệm 9 - CTST
- Giải sgk Âm nhạc 9 - CTST
- Giải sgk Mĩ thuật 9 - CTST
- Lớp 9 Cánh diều
- Soạn văn 9 Cánh diều (hay nhất)
- Soạn văn 9 Cánh diều (ngắn nhất)
- Giải sgk Toán 9 - Cánh diều
- Giải sgk Khoa học tự nhiên 9 - Cánh diều
- Giải sgk Lịch Sử 9 - Cánh diều
- Giải sgk Địa Lí 9 - Cánh diều
- Giải sgk Giáo dục công dân 9 - Cánh diều
- Giải sgk Tin học 9 - Cánh diều
- Giải sgk Công nghệ 9 - Cánh diều
- Giải sgk Hoạt động trải nghiệm 9 - Cánh diều
- Giải sgk Âm nhạc 9 - Cánh diều
- Giải sgk Mĩ thuật 9 - Cánh diều


Giải bài tập SGK & SBT
Tài liệu giáo viên
Sách
Khóa học
Thi online
Hỏi đáp

