20 Bài tập Hệ phương trình bậc nhất hai ẩn chứa tham số (có đáp án)
Tài liệu Bài tập Hệ phương trình bậc nhất hai ẩn chứa tham số lớp 9 có đáp án với các dạng bài tập cơ bản, nâng cao đầy đủ các mức độ: nhận biết, thông hiểu, vận dụng, vận dụng cao sẽ giúp học sinh ôn luyện và biết cách làm các dạng bài tập Toán 9.
20 Bài tập Hệ phương trình bậc nhất hai ẩn chứa tham số (có đáp án)
(199k) Học Toán 9 KNTTHọc Toán 9 CDHọc Toán 9 CTST
Câu 1: Biết hệ phương trình có nghiệm x = 1; y = 3. Tính 10(a + b)
A. 15
B. 16
C. 14
D. 17
Lời giải:
Thay x = 1; y = 3 vào hệ ta có:
Vậy
thì hệ phương trình có nghiệm x = 1; y = 3 ⇒ 10(a + b) = 16
Đáp án cần chọn là: B
Câu 2: Biết hệ phương trình có nghiệm x = −1; y = −2. Tính 14(a – b)
A. 15
B. 16
C. −16
D. −17
Lời giải:
Thay x = −1; y = −2 vào hệ ta có:
Vậy thì hệ phương trình có nghiệm x = −1; y = −2
⇒ 14(a – b) = −16
Đáp án cần chọn là: C
Câu 3: Cho hệ phương trình (m là tham số). Tìm m để hệ có nghiệm duy nhất (x; y) thỏa mãn x + y = −3
A. m = −6
B. m = 6
C. m = 3
D. m = −4
Lời giải:
Hệ phương trình có nghiệm duy nhất
Lại có x + y = −3 hay 5m + 9 + m + 6 = −21
⇔ 6m = −36 ⇔ m = −6
Vậy với m = −6 thì hệ phương trình có nghiệm duy nhất (x; y) thỏa mãn x + y = −3
Đáp án cần chọn là: A
Câu 4: Cho hệ phương trình (m là tham số). Tìm m để hệ có nghiệm duy nhất (x; y) thỏa mãn x − y = 1
A. m = −1
B. m = 4
C. m = 1
D. m = −2
Lời giải:
hệ phương trình có nghiệm duy nhất
Để x – y = 1 thì
8m – 1 = 7 ⇔ 8m = 8 ⇔ m = 1
Vậy với m = 1 thì hệ phương trình có nghiệm duy nhất (x; y) thỏa mãn x − y = 1
Đáp án cần chọn là: C
Câu 5: Cho hệ phương trình . Có bao nhiêu giá trị của m để hệ phương trình có nghiệm thỏa mãn x2 – 2y2 = −2
A. 0
B. 1
C. 2
D. 3
Lời giải:
Đáp án cần chọn là: C
Câu 6: Cho hệ phương trình .
Có bao nhiêu giá trị của m mà
để hệ phương trình có nghiệm thỏa mãn:
A. 0
B. 1
C. 2
D. 3
Lời giải:
Đáp án cần chọn là: B
Câu 7: Cho hệ phương trình (m là tham số). Nghiệm của hệ phương trình khi m = 2 là?
A. (x; y) = (1; −1)
B. (x; y) = (−1; −1)
C. (x; y) = (−1; 1)
D. (x; y) = (1; 1)
Lời giải:
Vậy hệ phương trình có nghiệm duy nhất (1; 1) khi m = 2
Đáp án cần chọn là: D
Câu 8: Với m = 1 thì hệ phương trình có cặp nghiệm (x; y) là:
A. (3; 1)
B. (1; 3)
C. (−1; −3)
D. (−3; −1)
Lời giải:
Thay m = 1 vào hệ phương trình đã cho ta được:
Vậy hệ phương trình đã cho có nghiệm duy nhất là (3; 1) khi m = 1
Đáp án cần chọn là: A
Câu 9: Cho hệ phương trình (m là tham số). Kết luận nào sau đây là đúng khi nói về nghiệm (x; y) của hệ phương trình?
A. Hệ phương trình luôn có nguyện duy nhất (x; y) thỏa mãn 2x + y ≤ 3
B. Hệ phương trình luôn có nguyện duy nhất (x; y) thỏa mãn 2x + y > 3
C. Hệ phương trình luôn có nguyện duy nhất (x; y) thỏa mãn 2x + y ≥ 3
D. Hệ phương trình luôn có nguyện duy nhất (x; y) thỏa mãn 2x + y = 3
Lời giải:
Từ (m – 1) x + y = 2 thế vào phương trình còn lại ta được phương trình:
mx + 2 – (m – 1) x = m + 1 ⇔ x = m – 1 suy ra y = 2 – (m – 1)2 với mọi m
Vậy hệ phương trình luôn có nghiệm duy nhất (x; y) = (m – 1; 2 – (m – 1)2)
2x + y = 2 (m – 1) + 2 – (m – 1)2 = −m2 + 4m – 1 = 3 – (m – 2)2 ≤ 3 với mọi m
Đáp án cần chọn là: A
Câu 10: Cho hệ phương trình: (m là tham số). Kết luận nào sau đây là đúng khi nói về nghiệm (x; y) của hệ phương trình?
A. Hệ phương trình luôn có nghiệm duy nhất (x; y) thỏa mãn
B. Hệ phương trình luôn có nghiệm duy nhất (x; y) thỏa mãn
C. Hệ phương trình có vô số nghiệm với mọi m
D. Hệ phương trình vô nghiệm với mọi m
Lời giải:
Từ phương trình (1): x – my = m ⇔ x = m + my thế vào phương trình (2) ta được phương trình:
Vậy hệ phương trình luôn có nghiệm duy nhất
Đáp án cần chọn là: B
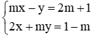
Câu 11: Biết rằng hệ phương trình có nghiệm duy nhất với mọi m. Tìm nghiệm duy nhất đó theo m.
Lời giải:
Ta có: m2 – 2m + 3 = (m – 1)2 + 2 > 0 ∀m nên PT (1) có nghiệm duy nhất ∀m
Hay hệ phương trình có nghiệm duy nhất m
Đáp án cần chọn là: B
Câu 12: Biết rằng hệ phương trình có nghiệm duy nhất với mọi m. Tìm nghiệm duy nhất đó theo m.
Lời giải:
Ta có m2 + 2 > 0; ∀m nên P T (1) có nghiệm duy nhất ∀m
Hệ phương trình có nghiệm duy nhất ∀m
Đáp án cần chọn là: D
Câu 13: Cho hệ phương trình có nghiệm (x; y). Tìm m để biểu thức A = xy + x – 1 đạt giá trị lớn nhất.
A. m = 1
B. m = 0
C. m = −1
D. m = 2
Lời giải:
Đáp án cần chọn là: A
Câu 14: Cho hệ phương trình . Tìm m để có nghiệm duy nhất (x; y) sao cho biểu thức S = x2 + y2 đạt giá trị nhỏ nhất.
A. m = 1
B. m = 0
C. m = −1
D. m = 2
Lời giải:
Để hệ phương trình có nghiệm duy nhất thì phương trình (2) có nghiệm duy nhất hay m ≠ −1
Khi đó từ phương trình (2) ta suy ra , thay x = m + 1vào phương trình (1) ta được y = 2 (m + 1) – m – 5 = m – 3
Vậy với m −1 thì hệ đã cho có nghiệm duy nhất (x; y) = (m + 1; m – 3)
Ta xét S = x2 + y2 = (m + 1)2 + (m – 3)2 = m2 + 2m + 1 + m2 − 6m + 9
= 2m2 – 4m + 10 = 2 (m2 – 2m + 1) + 8 = 2 (m – 1)2 + 8
Vì (m – 1)2 ≥ 0; ∀m ⇒ 2 (m – 1)2 + 8 ≥ 8; ∀m
Hay S ≥ 8; ∀m. Dấu “=” xảy ra khi m – 1 = 0 ⇔ m = 1 (TM)
Vậy m = 1 là giá trị cần tìm
Đáp án cần chọn là: A
Câu 15: Cho hệ phương trình
(m là tham số). Tìm m để hệ phương trình có nghiệm duy nhất (x; y) thỏa mãn
A. m < 1
B. m < −1
C. m > 1
D. m > −1
Lời giải:
Hệ phương trình đã cho có nghiệm duy nhất ⇔ (3) có nghiệm duy nhất
m2 – 1 ≠ 0 ⇔ m ≠ ±1 (*)
Kết hợp với (*) ta được giá trị m cần tìm là m < −1
Đáp án cần chọn là: B
Câu 16: Cho hệ phương trình (m là tham số).
Tìm m để hệ phương trình có nghiệm duy nhất (x; y) thỏa mãn
A. – 2 < m < 4; m ≠ 2
B. – 2 < m < 4
C. m > −2; m ≠ 2
D. m < 4; m ≠ 2
Lời giải:
Hệ phương trình đã cho có nghiệm duy nhất ⇔ (2) có nghiệm duy nhất
m2 – 4 ≠ 0 ⇔ m ≠ ±2(*)
Kết hợp với (*) ta được giá trị m cần tìm là – 2 < m < 4; m ≠ 2
Đáp án cần chọn là: A
Câu 17: Cho hệ phương trình . Hệ phương trình có nghiệm duy nhất khi:
A. a < 1
B. a < −2
C. Mọi a
D. a > −1
Lời giải:
Ta xét 2 trường hợp:
+ Nếu a = 0, hệ có dạng: . Vậy hệ có nghiệm duy nhất.
+ Nếu a ≠ 0, hệ có nghiệm duy nhất khi và chie khi:
(luôn đúng vì a2 ≥ 0 với mọi a)
Do đó, với a ≠ 0, hệ luôn có nghiệm duy nhất.
Tóm lại hệ phương trình đã cho có nghiệm duy nhất với mọi a.
Đáp án cần chọn là: C
Câu 18: Với giá trị nào của m thì hệ phương trình có vô số nghiệm.
A. m = 1
B. m = −1
C. m = ±1
D. m ≠ ±1
Lời giải:
Với m2 – 1 = 0 ⇔ m2 = 1 ⇔ m = 1
Nếu m = 1 ta được 0x = 0 (đúng với ∀x) ⇒ Hệ phương trình có vô số nghiệm
Nếu m = −1 ta được 0x = 2 (vô lí) ⇒ hệ phương trình vô nghiệm
Vậy m = 1 thì hệ đã cho vô số nghiệm.
Đáp án cần chọn là: B
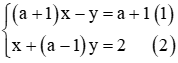
Câu 19: Cho hệ phương trình (a là tham số). Với a ≠ 0, hệ có nghiệm duy nhất (x; y). Tính x + y theo a.
Lời giải:
Từ PT (1) ta có: y = (a + 1)x – (a + 1) (*)
Thế vào PT (2) ta được:
x + (a – 1) [(a + 1)x – (a + 1)] = 2 ⇔ x + (a2 – 1)x – (a2 – 1) = 2
⇔ a2x = a2 + 1 (3)
Với a ≠ 0, phương trình (3) có nghiệm duy nhất . Thay vào (*) ta có:
Suy ra hệ phương trình đac cho có nghiệm duy nhất:
Đáp án cần chọn là: A
Câu 20: Cho hệ phương trình . Trong mọi trường hợp hệ có nghiệm duy nhất, tính x – y theo m
Lời giải:
Đáp án cần chọn là: C
(199k) Học Toán 9 KNTTHọc Toán 9 CDHọc Toán 9 CTST
Xem thêm bài tập trắc nghiệm Toán lớp 9 có lời giải hay khác:
- Trắc nghiệm Giải hệ phương trình bằng phương pháp cộng đại số (có đáp án)
- Trắc nghiệm Giải bài toán bằng cách lập hệ phương trình (có đáp án)
- Trắc nghiệm Giải bài toán bằng cách lập hệ phương trình (có đáp án - phần 2)
- 17 Bài tập Hệ hai phương trình bậc nhất hai ẩn nâng cao (có đáp án)
- Top 20 Bài tập trắc nghiệm Hệ hai phương trình bậc nhất hai ẩn (có đáp án)
Tủ sách VIETJACK luyện thi vào 10 cho 2k11 (2026):
Đã có app VietJack trên điện thoại, giải bài tập SGK, SBT Soạn văn, Văn mẫu, Thi online, Bài giảng....miễn phí. Tải ngay ứng dụng trên Android và iOS.
Theo dõi chúng tôi miễn phí trên mạng xã hội facebook và youtube:Loạt bài Chuyên đề: Lý thuyết - Bài tập Toán lớp 9 Đại số và Hình học có đáp án có đầy đủ Lý thuyết và các dạng bài được biên soạn bám sát nội dung chương trình sgk Đại số 9 và Hình học 9.
Nếu thấy hay, hãy động viên và chia sẻ nhé! Các bình luận không phù hợp với nội quy bình luận trang web sẽ bị cấm bình luận vĩnh viễn.
- Giải Tiếng Anh 9 Global Success
- Giải sgk Tiếng Anh 9 Smart World
- Giải sgk Tiếng Anh 9 Friends plus
- Lớp 9 Kết nối tri thức
- Soạn văn 9 (hay nhất) - KNTT
- Soạn văn 9 (ngắn nhất) - KNTT
- Giải sgk Toán 9 - KNTT
- Giải sgk Khoa học tự nhiên 9 - KNTT
- Giải sgk Lịch Sử 9 - KNTT
- Giải sgk Địa Lí 9 - KNTT
- Giải sgk Giáo dục công dân 9 - KNTT
- Giải sgk Tin học 9 - KNTT
- Giải sgk Công nghệ 9 - KNTT
- Giải sgk Hoạt động trải nghiệm 9 - KNTT
- Giải sgk Âm nhạc 9 - KNTT
- Giải sgk Mĩ thuật 9 - KNTT
- Lớp 9 Chân trời sáng tạo
- Soạn văn 9 (hay nhất) - CTST
- Soạn văn 9 (ngắn nhất) - CTST
- Giải sgk Toán 9 - CTST
- Giải sgk Khoa học tự nhiên 9 - CTST
- Giải sgk Lịch Sử 9 - CTST
- Giải sgk Địa Lí 9 - CTST
- Giải sgk Giáo dục công dân 9 - CTST
- Giải sgk Tin học 9 - CTST
- Giải sgk Công nghệ 9 - CTST
- Giải sgk Hoạt động trải nghiệm 9 - CTST
- Giải sgk Âm nhạc 9 - CTST
- Giải sgk Mĩ thuật 9 - CTST
- Lớp 9 Cánh diều
- Soạn văn 9 Cánh diều (hay nhất)
- Soạn văn 9 Cánh diều (ngắn nhất)
- Giải sgk Toán 9 - Cánh diều
- Giải sgk Khoa học tự nhiên 9 - Cánh diều
- Giải sgk Lịch Sử 9 - Cánh diều
- Giải sgk Địa Lí 9 - Cánh diều
- Giải sgk Giáo dục công dân 9 - Cánh diều
- Giải sgk Tin học 9 - Cánh diều
- Giải sgk Công nghệ 9 - Cánh diều
- Giải sgk Hoạt động trải nghiệm 9 - Cánh diều
- Giải sgk Âm nhạc 9 - Cánh diều
- Giải sgk Mĩ thuật 9 - Cánh diều


Giải bài tập SGK & SBT
Tài liệu giáo viên
Sách
Khóa học
Thi online
Hỏi đáp

