Trắc nghiệm Giải bài toán bằng cách lập hệ phương trình (có đáp án - phần 2)
Tài liệu bài tập trắc nghiệm Giải bài toán bằng cách lập hệ phương trình lớp 9 có đáp án với các dạng bài tập cơ bản, nâng cao đầy đủ các mức độ: nhận biết, thông hiểu, vận dụng, vận dụng cao sẽ giúp học sinh ôn luyện và biết cách làm bài tập Toán 9.
Trắc nghiệm Giải bài toán bằng cách lập hệ phương trình (có đáp án - phần 2)
(199k) Học Toán 9 KNTTHọc Toán 9 CDHọc Toán 9 CTST
Câu 1: Tháng thứ nhất, 2 tổ sản xuất được 1200 sản phẩm. Tháng thứ hai, tổ 1 vượt mức 30% và tổ II bị giảm năng suất 22% so với tháng thứ nhất. Vì vậy 2 tổ đã sản xuất được 1300 sản phẩm. Hỏi tháng thứ hai, tổ 2 sản xuất được bao nhiêu sản phẩm.
A. 400 sản phẩm
B. 450 sản phẩm
C. 390 sản phẩm
D. 500 sản phẩm
Lời giải:
Gọi số sản phẩm của tổ I sản xuất được trong tháng thứ I là x (sản phẩm)
Số sản phẩm của tổ II sản xuất được trong tháng thứ nhất là y (sản phẩm) (x, y ∈ N*)
Tháng thứ nhất 2 tổ sản xuất được 1200 sản phẩm nên ta có phương trình:
x + y = 1200 (1)
Tháng thứ hai tổ I vượt mức 30% và tổ II giảm mức đi 22% so với tháng thứ nhất nên 2 tổ đã sản xuất được 1300 sản phẩm, ta có:
Từ (1) và (2) ta có hệ phương trình:
Vậy trong tháng thứ hai tổ II sản xuất được 500.78 : 100 = 390 sản phẩm
Đáp án cần chọn là: C
Câu 2: Một tam giác có chiều cao bằng 3/4 cạnh đáy. Nếu chiều cao tăng thêm 3 dm và cạnh đáy giảm đi 4 dm thì diện tích của nó tăng thêm 12 dm2. Tính diện tích của tam giác ban đầu.
A. 700 dm2
B. 678 dm2
C. 627 dm2
D. 726 dm2
Lời giải:
Gọi chiều cao của tam giác là h, cạnh đáy tam giác là a. (h, a ∈ N*, a > 3, dm)
Diện tích tam giác ban đầu là (dm2)
Vì chiều cao bằng 3/4 cạnh đáy nên ta có phương trình:
Nếu chiều cao tăng thêm 3 dm và cạnh đáy giảm đi 3 dm thì diện tích của nó tăng thêm 12 dm2.
Vậy chiều cao của tam giác bằng 44 dm, cạnh đáy tam giác bằng 33 dm
Suy ra diện tích tam giác ban đầu là (dm2)
Đáp án cần chọn là: D
Câu 3: Một tấm bìa hình tam giác có chiều cao bằng 1/4 cạnh đáy tương ứng. Nếu tăng chiều cao 2 dm và giảm cạnh đáy 2 dm thì diện tích tam giác tăng thêm 2,5 dm2. Tính chiều cao và cạnh đáy của tấm bìa lúc đầu.
A. 1,5 dm và 6 dm
B. 2 dm và 8 dm
C. 1 dm và 4 dm
D. 3 dm và 12 dm
Lời giải:
Gọi chiều cao của tam giác là h, cạnh đáy tam giác là a. (h, a , dm); (a > 2)
Diện tích tam giác ban đầu là (dm2)
Vì chiều cao bằng 1/4 cạnh đáy nên ta có phương trình
Nếu chiều cao tăng thêm 2 dm và cạnh đáy giảm đi 2 dm thì diện tích của nó tăng thêm 2,5 dm2.
Vậy chiều cao và cạnh đáy của tấm bìa lần lượt là 1,5 dm và 6 dm
Đáp án cần chọn là: A
Câu 4: Một khu vườn hình chữ nhật có chu vi bằng 48 m. Nếu tăng chiều rộng lên bốn lần và tăng chiều dài lên ba lần thì chu vi của khu vườn sẽ là 162m. Tìm diện tích của khu vườn ban đầu.
A. 24m2
B. 153m2
C. 135m2
D. 14m2
Lời giải:
Gọi chiều dài và chiều rộng của khu vương hình chữ nhật lần lượt là x, y
(24 > x > y > 0; m)
Vì khu vườn hình chữ nhật có chu vi bằng 48 m nên ta có (x + y). 2 = 48
Nếu tăng chiều rộng lên bốn lần và chiều dài lên ba lần thì chu vi của khu vườn sẽ là 162m
Nên ta có phương trình (4y + 3x). 2 = 162
Suy ra hệ phương trình (thỏa mãn)
Vậy diện tích khu vườn ban đầu là 15.9 = 135m2
Đáp án cần chọn là: C
Câu 5: Một hình chữ nhật có chu vi 300cm. Nếu tăng chiều rộng thêm 5cm và giảm chiều dài 5 cm thì diện tích tăng 275 cm2. Tính chiều dài và chiều rộng của hình chữ nhật.
A. 120 cm và 30 cm
B. 105 cm và 45 cm
C. 70 cm và 80 cm
D. 90 cm và 60 cm
Lời giải:
Gọi chiều dài và chiều rộng của khu vương hình chữ nhật lần lượt là x, y
(150 > x > y > 0; cm)
Diện tích ban đầu của khu vương là x.y (cm2)
Vì hình chữ nhật có chu vi bằng 300 (cm) nên ta có (x + y). 2 = 300
Nếu tăng chiều rộng thêm 5 cm và giảm chiều dài 5cm thì diện tích tăng 275cm2
Nên ta có phương trình (x − 5).(y + 5) = xy + 275
Vậy chiều rộng của hình chữ nhật ban đầu là 45 cm
Chiều dài của hình chữ nhật ban đầu là 105 cm
Đáp án cần chọn là: B
Câu 6: Hai giá sách có 450 cuốn. Nếu chuyển 50 cuốn từ giá thứ nhất sang giá thứ hai thì số sách trên giá thứ hai bằng 4/5 số sách ở giá thứ nhất. Tính số sách trên giá thứ hai.
A. 150 cuốn
B. 300 cuốn
C. 200 cuốn
D. 250 cuốn
Lời giải:
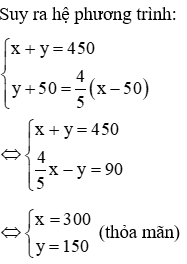
Gọi số sách trên hai giá lần lượt là x, y (0 < x, y < 450, cuốn)
Vì hai giá sách có 450 cuốn nên ta có phương trình: x + y = 450 (cuốn)
Nếu chuyển 50 cuốn từ giá thứ nhất sang giá thứ hai thì số sách trên giá thứ hai bằng 4/5 số sách ở giá thứ nhất nên ta có:
Vậy số sách trên giá thứ nhất là 300 cuốn, số sách trên giá thứ hai là 150 cuốn.
Đáp án cần chọn là: A
Câu 7. Nam có 360 viên bi trong hai hộp. Nếu Nam chuyển 30 viên bi từ hộp thứ hai sang hộp thứ nhất thì số viên vi ở hộp thứ nhất bằng 5/7 số viên bi ở hộp thứ hai. Hỏi hộp thứ hai có bao nhiêu viên bi?
A. 250 viên
B. 180 viên
C. 120 viên
D. 240 viên
Lời giải:
Gọi số viên bi trong hộp thứ nhất và hộp thứ hai lần lượt là x, y (0 < x, y < 360, viên)
Vì Nam có 360 viên bi nên ta có phương trình x + y = 360 (viên bi)
Nếu Nam chuyển 30 viên bi từ hộp thứ hai sang hộp thứ nhất thì số viên bi ở hộp thứ nhất bằng 5/7 số viên bi ở hộp thứ hai nên ta có phương trình
Vậy số viên bi ở hộp thứ nhất là 120 viên bi, số viên bi ở hộp thứ hai là 240 viên bi.
Đáp án cần chọn là: D
Câu 8: Trên một cánh đồng cấy 60 ha lúa giống mới và 40 ga lúa giống cũ, thu hoạch được tất cả 460 tấn thóc. Hỏi năng suất lúa mới trên 1 ha là bao nhiêu, biết rằng 3 ha trồng lúa mới thu hoạch được ít hơn 4 ha trồng lúa cũ là 1 tấn.
A. 5 tấn
B. 4 tấn
C. 6 tấn
D. 3 tấn
Lời giải:
Gọi năng suất lúa mới và lúa cũ trên 1 ha lần lượt là x; y (x, y > 0) đơn vị: tấn/ha
Vì cấy 60 ha lúa giống mới và 40 ga lúa giống cũ, thu hoạch được tất cả 460 tấn thóc nên ta có 60x + 40y = 460
Vì 3 ha trồng lúa mới thu hoạch được ít hơn 4 ha trồng lúa cũ là 1 tấn nên ta có phương trình: 4y – 3x = 1
Vậy năng suất lúa mới trên 1 ha là 5 tấn
Đáp án cần chọn là: A
Câu 9: Trên một cánh đồng cấy 50 ha lúa giống mới và 30 ha lúa giống cũ, thu hoạch được tất cả 410 tấn thóc. Hỏi năng suất lúa cũ trên 1 ha là bao nhiêu, biết rằng 5 ha trồng lúa mới thu hoạch được nhiều hơn 6 ha trồng lúa cũ là 0,5 tấn.
A. 5,5 tấn
B. 4 tấn
C. 4,5 tấn
D. 3 tấn
Lời giải:
Gọi năng suất lúa mới và lúa cũ trên 1 ha lần lượt là x; y (x, y > 0) đơn vị: tấn/ha
Vì đồng cấy 50 ha lúa giống mới và 30 ha lúa giống cũ, thu hoạch được tất cả 410 tấn thóc nên ta có 50x + 30y = 410
Vì 5 ha trồng lúa mới thu hoạch được nhiều hơn 6 ha trồng lúa cũ là 0,5 tấn nên ta có phương trình: 5x – 6y = 0,5
Vậy năng suất lúa cũ trên 1 ha là 4,5 tấn.
Đáp án cần chọn là: C
Câu 10. Trong một kì thi, hai trường A, B có tổng cộng 350 học sinh dự thi. Kết quả hai trường đó có 338 học sinh trúng tuyển. Tính ra thì trường A có 97% và trường B có 96% số học sinh trúng tuyển. Hỏi trường B có bao nhiêu học sinh dự thi.
A. 200 học sinh
B. 150 học sinh
C. 250 học sinh
D. 225 học sinh
Lời giải:
Gọi số học sinh dự thi của hai trường A, B lần lượt là x, y (350 > x, y > 0) (học sinh)
Vì hai trường A, B có tổng cộng 350 học sinh dự thi nên ta có phương trình
x + y = 350 (học sinh)
Vì trường A có 97% và trường B có 96% số học sinh trúng tuyển và cả hai trường đó có 338 học sinh trúng tuyển nên ta có phương trình 97%.x +96%.y = 338
Vậy trường B có 150 học sinh dự thi
Đáp án cần chọn là: B
Câu 11: Hai trường có tất cả 300 học sinh tham gia một cuộc thi. Biết trường A có 75% học sinh đạt, trường 2 có 60% đạt nên cả 2 trường có 207 học sinh đạt. Số học sinh dự thi của trường A và trường B lần lượt là:
A. 160 và 140
B. 200 và 100
C. 180 và 120
D. Tất cả đều sau
Lời giải:
Gọi số học sinh của trường thứ nhất dự thi là x (học sinh) (x ∈ N*, x < 300)
Số học sinh của trường thứ hai dự thi là y (học sinh) (y ∈ N*, y < 300)
Hai trường có tất cả 300 học sinh tham gia cuộc thi nên ta có phương trình: x + y = 300 (1)
Trường A có 75% học sinh đạt, trường 2 có 60% đạt nên cả 2 trường có 207 học sinh đạt, ta có:
Vậy số học sinh của trường thứ nhất dự thi là 180 học sinh; Số học sinh của trường thứ hai dự thi là 120 học sinh.
Đáp án cần chọn là: C
Câu 12: Một mảnh đất hình chữ nhật có chu vi bằng 42m. Đường chéo hình chữ nhật dài 15m. Tính độ dài chiều rộng mảnh đất hình chữ nhật.
A. 10m
B. 12m
C. 9m
D. 8m
Lời giải:
Gọi chiều dài và chiều rộng của mảnh đất hình chữ nhật lần lượt là: x, y
(21 > x > y > 0; m)
Vì mảnh đất hình chữ nhật có chu vi bằng 42m nên ta có (x + y). 2 = 42
Đường chéo hình chữ nhật dài 15m nên ta có phương trình: x2 + y2 = 152
Vậy chiều rộng mảnh đất ban đầu là 9m
Đáp án cần chọn là: C
Câu 13: Một mảnh đất hình chữ nhật có nửa chu vi bằng 34 m. Đường chéo hình chữ nhật dài 26 m. Tính chiều dài mảnh đất hình chữ nhật.
A. 24m
B. 12m
C. 18m
D. 20m
Lời giải:
Gọi chiều dài và chiều rộng của mảnh đất hình chữ nhật lần lượt là: x, y
(34 > x > y > 0; m)
Vì mảnh đất hình chữ nhật có nửa chu vi bằng 37m nên ta có x + y = 37
Đường chéo hình chữ nhật dài 26m nên ta có phương trình: x2 + y2 = 262
Vậy chiều dài mảnh đất ban đầu là 24m
Đáp án cần chọn là: A
(199k) Học Toán 9 KNTTHọc Toán 9 CDHọc Toán 9 CTST
Xem thêm bài tập trắc nghiệm Toán lớp 9 có lời giải hay khác:
- Trắc nghiệm Giải hệ phương trình bằng phương pháp cộng đại số (có đáp án)
- Bài tập Hệ phương trình bậc nhất hai ẩn chứa tham số (có đáp án)
- Trắc nghiệm Giải bài toán bằng cách lập hệ phương trình (có đáp án)
- 17 Bài tập Hệ hai phương trình bậc nhất hai ẩn nâng cao (có đáp án)
- Top 20 Bài tập trắc nghiệm Hệ hai phương trình bậc nhất hai ẩn (có đáp án)
Tủ sách VIETJACK luyện thi vào 10 cho 2k11 (2026):
Đã có app VietJack trên điện thoại, giải bài tập SGK, SBT Soạn văn, Văn mẫu, Thi online, Bài giảng....miễn phí. Tải ngay ứng dụng trên Android và iOS.
Theo dõi chúng tôi miễn phí trên mạng xã hội facebook và youtube:Loạt bài Chuyên đề: Lý thuyết - Bài tập Toán lớp 9 Đại số và Hình học có đáp án có đầy đủ Lý thuyết và các dạng bài được biên soạn bám sát nội dung chương trình sgk Đại số 9 và Hình học 9.
Nếu thấy hay, hãy động viên và chia sẻ nhé! Các bình luận không phù hợp với nội quy bình luận trang web sẽ bị cấm bình luận vĩnh viễn.
- Giải Tiếng Anh 9 Global Success
- Giải sgk Tiếng Anh 9 Smart World
- Giải sgk Tiếng Anh 9 Friends plus
- Lớp 9 Kết nối tri thức
- Soạn văn 9 (hay nhất) - KNTT
- Soạn văn 9 (ngắn nhất) - KNTT
- Giải sgk Toán 9 - KNTT
- Giải sgk Khoa học tự nhiên 9 - KNTT
- Giải sgk Lịch Sử 9 - KNTT
- Giải sgk Địa Lí 9 - KNTT
- Giải sgk Giáo dục công dân 9 - KNTT
- Giải sgk Tin học 9 - KNTT
- Giải sgk Công nghệ 9 - KNTT
- Giải sgk Hoạt động trải nghiệm 9 - KNTT
- Giải sgk Âm nhạc 9 - KNTT
- Giải sgk Mĩ thuật 9 - KNTT
- Lớp 9 Chân trời sáng tạo
- Soạn văn 9 (hay nhất) - CTST
- Soạn văn 9 (ngắn nhất) - CTST
- Giải sgk Toán 9 - CTST
- Giải sgk Khoa học tự nhiên 9 - CTST
- Giải sgk Lịch Sử 9 - CTST
- Giải sgk Địa Lí 9 - CTST
- Giải sgk Giáo dục công dân 9 - CTST
- Giải sgk Tin học 9 - CTST
- Giải sgk Công nghệ 9 - CTST
- Giải sgk Hoạt động trải nghiệm 9 - CTST
- Giải sgk Âm nhạc 9 - CTST
- Giải sgk Mĩ thuật 9 - CTST
- Lớp 9 Cánh diều
- Soạn văn 9 Cánh diều (hay nhất)
- Soạn văn 9 Cánh diều (ngắn nhất)
- Giải sgk Toán 9 - Cánh diều
- Giải sgk Khoa học tự nhiên 9 - Cánh diều
- Giải sgk Lịch Sử 9 - Cánh diều
- Giải sgk Địa Lí 9 - Cánh diều
- Giải sgk Giáo dục công dân 9 - Cánh diều
- Giải sgk Tin học 9 - Cánh diều
- Giải sgk Công nghệ 9 - Cánh diều
- Giải sgk Hoạt động trải nghiệm 9 - Cánh diều
- Giải sgk Âm nhạc 9 - Cánh diều
- Giải sgk Mĩ thuật 9 - Cánh diều


Giải bài tập SGK & SBT
Tài liệu giáo viên
Sách
Khóa học
Thi online
Hỏi đáp

