11 bài tập trắc nghiệm Phương trình quy về phương trình bậc nhất, bậc hai (có đáp án)
11 bài tập trắc nghiệm Phương trình quy về phương trình bậc nhất, bậc hai (có đáp án)
(199k) Học Toán 10 KNTTHọc Toán 10 CDHọc Toán 10 CTST
Câu 1: Tập nghiệm của phương trình |5 - 2x| = |3x + 3| là:
Chọn đáp án C
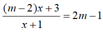
Câu 2: Cho phương trình có tham số m: . (*)
Chọn khẳng định đúng trong các khẳng định sau:
A. Phương trình luôn có hai nghiệm phân biệt;
B. Khi m ≠ -2 thì phương trình có hai nghiệm phân biệt;
C. Khi m ≠ -1 thì phương trình có hai nghiệm phân biệt;
D. Khi m ≠ -1 và m ≠ -2 thì phương trình có hai nghiệm phân biệt.
Chọn đáp án D
Câu 3: Cho phương trình có tham số m: . (*)
Chọn khẳng định đúng trong các khẳng định sau:
A. Khi m > 0 thì phương trình có hai nghiệm phân biệt;
B. Khi m = -1 thì phương trình có hai nghiệm phân biệt;
C. Khi m < -1 thì phương trình có hai nghiệm phân biệt;
D. Khi -1 < m < 0 thì phương trình có hai nghiệm phân biệt.
Chọn đáp án D
Câu 4: Tập nghiệm của phương trình |5 + 2x| = |3x - 2| là
Chọn đáp án C
Câu 5: Tập nghiệm của phương trình |3x + 1| = x2 + 2x - 3 là:
Chọn đáp án D
Câu 6: Tập nghiệm của phương trình |4x + 1| = x2 + 2x - 4 là:
Chọn đáp án D
Câu 7: Phương trình |ax + 2| = |ax + 1|, với a ≠ 0 luôn là phương trình:
A. vô nghiệm;
B. có nghiệm duy nhất;
C. có hai nghiệm phân biệt; d. có vô số nghiệm.
Chọn đáp án B
Câu 8: Phương trình |ax + b| = |-ax + b + 1|, với a ≠ 0 và b ≠ -1/2 luôn là phương trình:
A. vô nghiệm;
B. có nghiệm duy nhất;
C. có hai nghiệm phân biệt; d. có vô số nghiệm.
Chọn đáp án B
Câu 9: Phương trình |2mx - 3x + 1| = |(m - 1)x - 3| (*) có hai nghiệm phân biệt khi:
Chọn đáp án D
Câu 10: Phương trình có tập nghiệm là:
Chọn đáp án C
Câu 11: Cho phương trình có tham số m: .
Khẳng định nào sau đây là sai?
A. Khi m = -1 thì phương trình (*) vô nghiệm;
B. Khi m ≠ -1 thì phương trình (*) có nghiệm duy nhất;
C. Phương trình (*) có nhiều nhất là một nghiệm;
D. Khi m ≠ -1 và m ≠ 5 thì phương trình (*) có nghiệm duy nhất.
Chọn đáp án B
(199k) Học Toán 10 KNTTHọc Toán 10 CDHọc Toán 10 CTST
Xem thêm bài tập trắc nghiệm Toán lớp 10 có đáp án hay khác:
- 10 bài tập trắc nghiệm Phương trình và hệ phương trình bậc nhất nhiều ẩn
- 10 bài tập trắc nghiệm Phương trình và hệ phương trình bậc nhất nhiều ẩn
- Top 12 Bài tập trắc nghiệm Phương trình; Hệ phương trình
- Đề kiểm tra Đại số 10 Chương 3 (có đáp án)
- 32 bài tập trắc nghiệm Bất đẳng thức
Tủ sách VIETJACK shopee lớp 10-11 (cả 3 bộ sách):
Đã có app VietJack trên điện thoại, giải bài tập SGK, SBT Soạn văn, Văn mẫu, Thi online, Bài giảng....miễn phí. Tải ngay ứng dụng trên Android và iOS.
Theo dõi chúng tôi miễn phí trên mạng xã hội facebook và youtube:Nếu thấy hay, hãy động viên và chia sẻ nhé! Các bình luận không phù hợp với nội quy bình luận trang web sẽ bị cấm bình luận vĩnh viễn.
- Giải Tiếng Anh 10 Global Success
- Giải Tiếng Anh 10 Friends Global
- Giải sgk Tiếng Anh 10 iLearn Smart World
- Giải sgk Tiếng Anh 10 Explore New Worlds
- Lớp 10 - Kết nối tri thức
- Soạn văn 10 (hay nhất) - KNTT
- Soạn văn 10 (ngắn nhất) - KNTT
- Soạn văn 10 (siêu ngắn) - KNTT
- Giải sgk Toán 10 - KNTT
- Giải sgk Vật lí 10 - KNTT
- Giải sgk Hóa học 10 - KNTT
- Giải sgk Sinh học 10 - KNTT
- Giải sgk Địa lí 10 - KNTT
- Giải sgk Lịch sử 10 - KNTT
- Giải sgk Kinh tế và Pháp luật 10 - KNTT
- Giải sgk Tin học 10 - KNTT
- Giải sgk Công nghệ 10 - KNTT
- Giải sgk Hoạt động trải nghiệm 10 - KNTT
- Giải sgk Giáo dục quốc phòng 10 - KNTT
- Lớp 10 - Chân trời sáng tạo
- Soạn văn 10 (hay nhất) - CTST
- Soạn văn 10 (ngắn nhất) - CTST
- Soạn văn 10 (siêu ngắn) - CTST
- Giải Toán 10 - CTST
- Giải sgk Vật lí 10 - CTST
- Giải sgk Hóa học 10 - CTST
- Giải sgk Sinh học 10 - CTST
- Giải sgk Địa lí 10 - CTST
- Giải sgk Lịch sử 10 - CTST
- Giải sgk Kinh tế và Pháp luật 10 - CTST
- Giải sgk Hoạt động trải nghiệm 10 - CTST
- Lớp 10 - Cánh diều
- Soạn văn 10 (hay nhất) - Cánh diều
- Soạn văn 10 (ngắn nhất) - Cánh diều
- Soạn văn 10 (siêu ngắn) - Cánh diều
- Giải sgk Toán 10 - Cánh diều
- Giải sgk Vật lí 10 - Cánh diều
- Giải sgk Hóa học 10 - Cánh diều
- Giải sgk Sinh học 10 - Cánh diều
- Giải sgk Địa lí 10 - Cánh diều
- Giải sgk Lịch sử 10 - Cánh diều
- Giải sgk Kinh tế và Pháp luật 10 - Cánh diều
- Giải sgk Tin học 10 - Cánh diều
- Giải sgk Công nghệ 10 - Cánh diều
- Giải sgk Hoạt động trải nghiệm 10 - Cánh diều
- Giải sgk Giáo dục quốc phòng 10 - Cánh diều


Giải bài tập SGK & SBT
Tài liệu giáo viên
Sách
Khóa học
Thi online
Hỏi đáp

