10 bài tập trắc nghiệm Phương trình và hệ phương trình bậc nhất nhiều ẩn (có đáp án)
10 bài tập trắc nghiệm Phương trình và hệ phương trình bậc nhất nhiều ẩn (có đáp án)
(199k) Học Toán 10 KNTTHọc Toán 10 CDHọc Toán 10 CTST
Câu 1: Cho phương trình 2x - y = 4. Tập nghiệm của phương trình là:
Chọn đáp án B
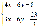
Câu 2: Cho hệ phương trình . Khẳng định nào sau đây là sai?
A. là một nghiệm của hệ phương trình;
B. Biểu diễn tập nghiệm của hệ phương trình là một điểm;
C. Biểu diễn tập nghiệm của hệ phương trình là một đường thẳng;
D. Tập nghiệm của hệ phương trình là .
Chọn đáp án C
Câu 3: Biểu diễn hình học tập nghiệm của phương trình 3x - 2y = 1 là:
Chọn đáp án B
Câu 4: Hệ phương trình
Chọn đáp án D
Câu 5: Hệ phương trình có nghiệm là:
A. (2; -2);
B. (-2; 2; 4);
C. (2; -2; -4);
D. (2; -1; 1).
Chọn đáp án C
Câu 6: Cho ba đường thẳng
Ba đường thẳng này đồng quy khi:
Chọn đáp án B
Câu 7: Cho hệ phương trình có tham số m: .
Hệ có nghiệm duy nhất khi:
Chọn đáp án C
Câu 8: Cho hệ phương trình có tham số m: .
Hệ có nghiệm khi:
Chọn đáp án B
Câu 9: Cho hệ phương trình có tham số m: .
Hệ vô nghiệm khi:
Chọn đáp án C
Câu 10: Cho hệ phương trình có tham số m: . Khi m =a thì hệ có vô số nghiệm và khi m = b thì hệ vô nghiệm. Tính a+ b?
A.0
B.1
C. -1
D. 2
Chọn đáp án A
(199k) Học Toán 10 KNTTHọc Toán 10 CDHọc Toán 10 CTST
Xem thêm bài tập trắc nghiệm Toán lớp 10 có đáp án hay khác:
- 10 bài tập trắc nghiệm Phương trình và hệ phương trình bậc nhất nhiều ẩn (có đáp án)
- Top 12 Bài tập trắc nghiệm Phương trình; Hệ phương trình
- Đề kiểm tra Đại số 10 Chương 3 (có đáp án)
- 32 bài tập trắc nghiệm Bất đẳng thức
- 32 bài tập trắc nghiệm Bất phương trình và hệ bất phương trình một ẩn
Tủ sách VIETJACK shopee lớp 10-11 (cả 3 bộ sách):
Đã có app VietJack trên điện thoại, giải bài tập SGK, SBT Soạn văn, Văn mẫu, Thi online, Bài giảng....miễn phí. Tải ngay ứng dụng trên Android và iOS.
Theo dõi chúng tôi miễn phí trên mạng xã hội facebook và youtube:Nếu thấy hay, hãy động viên và chia sẻ nhé! Các bình luận không phù hợp với nội quy bình luận trang web sẽ bị cấm bình luận vĩnh viễn.
- Giải Tiếng Anh 10 Global Success
- Giải Tiếng Anh 10 Friends Global
- Giải sgk Tiếng Anh 10 iLearn Smart World
- Giải sgk Tiếng Anh 10 Explore New Worlds
- Lớp 10 - Kết nối tri thức
- Soạn văn 10 (hay nhất) - KNTT
- Soạn văn 10 (ngắn nhất) - KNTT
- Soạn văn 10 (siêu ngắn) - KNTT
- Giải sgk Toán 10 - KNTT
- Giải sgk Vật lí 10 - KNTT
- Giải sgk Hóa học 10 - KNTT
- Giải sgk Sinh học 10 - KNTT
- Giải sgk Địa lí 10 - KNTT
- Giải sgk Lịch sử 10 - KNTT
- Giải sgk Kinh tế và Pháp luật 10 - KNTT
- Giải sgk Tin học 10 - KNTT
- Giải sgk Công nghệ 10 - KNTT
- Giải sgk Hoạt động trải nghiệm 10 - KNTT
- Giải sgk Giáo dục quốc phòng 10 - KNTT
- Lớp 10 - Chân trời sáng tạo
- Soạn văn 10 (hay nhất) - CTST
- Soạn văn 10 (ngắn nhất) - CTST
- Soạn văn 10 (siêu ngắn) - CTST
- Giải Toán 10 - CTST
- Giải sgk Vật lí 10 - CTST
- Giải sgk Hóa học 10 - CTST
- Giải sgk Sinh học 10 - CTST
- Giải sgk Địa lí 10 - CTST
- Giải sgk Lịch sử 10 - CTST
- Giải sgk Kinh tế và Pháp luật 10 - CTST
- Giải sgk Hoạt động trải nghiệm 10 - CTST
- Lớp 10 - Cánh diều
- Soạn văn 10 (hay nhất) - Cánh diều
- Soạn văn 10 (ngắn nhất) - Cánh diều
- Soạn văn 10 (siêu ngắn) - Cánh diều
- Giải sgk Toán 10 - Cánh diều
- Giải sgk Vật lí 10 - Cánh diều
- Giải sgk Hóa học 10 - Cánh diều
- Giải sgk Sinh học 10 - Cánh diều
- Giải sgk Địa lí 10 - Cánh diều
- Giải sgk Lịch sử 10 - Cánh diều
- Giải sgk Kinh tế và Pháp luật 10 - Cánh diều
- Giải sgk Tin học 10 - Cánh diều
- Giải sgk Công nghệ 10 - Cánh diều
- Giải sgk Hoạt động trải nghiệm 10 - Cánh diều
- Giải sgk Giáo dục quốc phòng 10 - Cánh diều


Giải bài tập SGK & SBT
Tài liệu giáo viên
Sách
Khóa học
Thi online
Hỏi đáp

