Đề kiểm tra Đại số 10 Chương 3 (có đáp án)
Đề kiểm tra Đại số 10 Chương 3 (có đáp án)
(199k) Xem Khóa học Toán 10 KNTTXem Khóa học Toán 10 CDXem Khóa học Toán 10 CTST
Câu 1: Cho phương trình (x - 1)(x - 3) = 0. Trong các phương trình sau đây, phương trình nào tương đương với phương trình đã cho?
Câu 2: Tập nghiệm của phương trình là:
Câu 3: Cho phương trình (m2 - 1)x + m + 1 = 0. Trong các kết luận sau, kết luận nào đúng?
A. Với m ≠ 1, phương trình có nghiệm duy nhất;
B. Với m ≠ -1, phương trình có nghiệm duy nhất;
C. Với m ≠ ± 1, phương trình có nghiệm duy nhất;
D. Cả ba kết luận trên đều đúng.
Câu 4: Cho phương trình (2m2 - 3)x + 1 = 5x + m - 1. Trong các kết luận sau, kết luận nào sai?
A. Phương trình đã cho tương đương với phương trình 2(m2 - 4)x = m - 2;
B. Nghiệm của phương trình đã cho là ;
C. Khi m = -2 thì phương trình đã cho vô nghiệm;
D. Khi m = 2 thì phương trình đã cho có vô số nghiệm.
Câu 5: Tập xác định của hàm số là:
Câu 6: Cho phương trình .
A. Phương trình đã cho tương đương với phương trình x2 + 3x - 3 = x - 4;
B. Phương trình đã cho là hệ quả của phương trình x2 + 3x - 3 = x - 4;
C. Phương trình đã cho có nghiệm kép x = -1;
D. Phương trình đã cho vô nghiệm.
Câu 7: Phương trình x2 + |x| - 2 = 0 có tập nghiệm là:
Câu 8: Gọi x1, x2 là hai nghiệm (nếu có) của phương trình x2 - 2x + √3 - 1 = 0 . Trong các kết luận sau, kết luận nào sai?
Câu 9: Cho phương trình .
Trong các kết luận sau, kết luận nào đúng?
A. Phương trình đã cho tương đương với phương trình mx2 - 2mx = 0;
B. Khi m = 0, phương trình đã cho có tập nghiệm là R;
C. Khi m ≠ 0, phương trình đã cho có tập nghiệm là {0; 2};
D. Khi m ≠ 0, phương trình đã cho có tập nghiệm là {0}.
Câu 10: Cho phương trình |m2x - 6| = |4x - 3m|. Trong các kết luận sau, kết luận nào sai?
A. Khi m = -2, phương trình đã cho vô nghiệm;
B. Khi m = -2, phương trình đã cho có nghiệm duy nhất;
C. Khi m = 2, phương trình đã cho có tập nghiệm là ;
D. Khi m ≠ ± 2, phương trình đã cho có hai nghiệm phân biệt.
Câu 11: Cho tam giác ABC có độ dài ba cạnh lần lượt là 9, 7 và 6. Ba đường tròn tâm A, tâm B, tâm C đôi một tiếp xúc ngoài với nhau. Bán kính của ba đường tròn đó là:
A. 2; 5 và 6;
B. 3; 4 và 5;
C. 2; 4 và 5;
D. 1; 5 và 8.
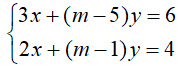
Câu 12: Cho hệ phương trình .
Kết luận nào sau đây là sai?
A. Hệ luôn có nghiệm với mọi giá trị của m;
B. Có giá trị của m để hệ vô nghiệm;
C. Hệ có vô số nghiệm khi m = -7;
D. Khi m = -7 thì biểu diễn tập nghiệm của hệ trên mặt phẳng tọa độ Oxy là đường thẳng .
Hướng dẫn giải và Đáp án
| Câu | 1 | 2 | 3 | 4 | 5 | 6 |
| Đáp án | B | C | C | B | B | D |
| Câu | 7 | 8 | 9 | 10 | 11 | 12 |
| Đáp án | B | C | D | A | C | B |
Câu 1:
Câu 2:
Câu 3:
Phương trình có nghiệm duy nhất khi m2 - 1 ≠ 0, tức là m ≠ ±1.
Câu 4:
Câu 5:
Câu 6:
Câu 7:
Câu 8:
Câu 9:
Điều kiện xác định của phương trình là x ≠ 2.
Suy ra, các phương án B, C đều sai.
* Xét phương án A:
Trong đó nghiệm x = 2 không thỏa mãn điều kiện của phương trình đã cho nên phương trình này không tương đương với phương trình đã cho.
Vậy phương án D đúng.
Câu 10:
Câu 11:
Ba cạnh của tam giác ABC là ba đoạn nối tâm của các cặp đường tròn trong ba đường tròn ở đề bài, tức là bộ bán kính của ba đường tròn là nghiệm của hệ phương trình
Câu 12:
(199k) Xem Khóa học Toán 10 KNTTXem Khóa học Toán 10 CDXem Khóa học Toán 10 CTST
Xem thêm bài tập trắc nghiệm Toán lớp 10 có đáp án hay khác:
- 32 bài tập trắc nghiệm Bất đẳng thức
- 32 bài tập trắc nghiệm Bất phương trình và hệ bất phương trình một ẩn
- 26 bài tập trắc nghiệm Dấu của nhị thức bậc nhất
- 13 bài tập trắc nghiệm Bất phương trình bậc nhất hai ẩn
- 50 bài tập trắc nghiệm Dấu của tam thức bậc hai
Tủ sách VIETJACK shopee lớp 10-11 (cả 3 bộ sách):
Đã có app VietJack trên điện thoại, giải bài tập SGK, SBT Soạn văn, Văn mẫu, Thi online, Bài giảng....miễn phí. Tải ngay ứng dụng trên Android và iOS.
Theo dõi chúng tôi miễn phí trên mạng xã hội facebook và youtube:Nếu thấy hay, hãy động viên và chia sẻ nhé! Các bình luận không phù hợp với nội quy bình luận trang web sẽ bị cấm bình luận vĩnh viễn.
- Giải Tiếng Anh 10 Global Success
- Giải Tiếng Anh 10 Friends Global
- Giải sgk Tiếng Anh 10 iLearn Smart World
- Giải sgk Tiếng Anh 10 Explore New Worlds
- Lớp 10 - Kết nối tri thức
- Soạn văn 10 (hay nhất) - KNTT
- Soạn văn 10 (ngắn nhất) - KNTT
- Soạn văn 10 (siêu ngắn) - KNTT
- Giải sgk Toán 10 - KNTT
- Giải sgk Vật lí 10 - KNTT
- Giải sgk Hóa học 10 - KNTT
- Giải sgk Sinh học 10 - KNTT
- Giải sgk Địa lí 10 - KNTT
- Giải sgk Lịch sử 10 - KNTT
- Giải sgk Kinh tế và Pháp luật 10 - KNTT
- Giải sgk Tin học 10 - KNTT
- Giải sgk Công nghệ 10 - KNTT
- Giải sgk Hoạt động trải nghiệm 10 - KNTT
- Giải sgk Giáo dục quốc phòng 10 - KNTT
- Lớp 10 - Chân trời sáng tạo
- Soạn văn 10 (hay nhất) - CTST
- Soạn văn 10 (ngắn nhất) - CTST
- Soạn văn 10 (siêu ngắn) - CTST
- Giải Toán 10 - CTST
- Giải sgk Vật lí 10 - CTST
- Giải sgk Hóa học 10 - CTST
- Giải sgk Sinh học 10 - CTST
- Giải sgk Địa lí 10 - CTST
- Giải sgk Lịch sử 10 - CTST
- Giải sgk Kinh tế và Pháp luật 10 - CTST
- Giải sgk Hoạt động trải nghiệm 10 - CTST
- Lớp 10 - Cánh diều
- Soạn văn 10 (hay nhất) - Cánh diều
- Soạn văn 10 (ngắn nhất) - Cánh diều
- Soạn văn 10 (siêu ngắn) - Cánh diều
- Giải sgk Toán 10 - Cánh diều
- Giải sgk Vật lí 10 - Cánh diều
- Giải sgk Hóa học 10 - Cánh diều
- Giải sgk Sinh học 10 - Cánh diều
- Giải sgk Địa lí 10 - Cánh diều
- Giải sgk Lịch sử 10 - Cánh diều
- Giải sgk Kinh tế và Pháp luật 10 - Cánh diều
- Giải sgk Tin học 10 - Cánh diều
- Giải sgk Công nghệ 10 - Cánh diều
- Giải sgk Hoạt động trải nghiệm 10 - Cánh diều
- Giải sgk Giáo dục quốc phòng 10 - Cánh diều


Giải bài tập SGK & SBT
Tài liệu giáo viên
Sách
Khóa học
Thi online
Hỏi đáp

