150 bài tập trắc nghiệm Đạo hàm (có đáp án)
Tổng hợp bài tập trắc nghiệm Đạo hàm lớp 11 có đáp án chi tiết đầy đủ các mức độ nhận biết, thông hiểu, vận dụng sẽ giúp học sinh ôn tập trắc nghiệm Toán 11.
150 bài tập trắc nghiệm Đạo hàm (có đáp án)
(199k) Xem Khóa học Toán 11 KNTTXem Khóa học Toán 11 CDXem Khóa học Toán 11 CTST
- 17 bài tập trắc nghiệm Định nghĩa và ý nghĩa của đạo hàm
- 37 bài tập trắc nghiệm Các quy tắc tính đạo hàm (phần 1)
- 37 bài tập trắc nghiệm Các quy tắc tính đạo hàm (phần 2)
- 38 bài tập trắc nghiệm Đạo hàm của các hàm số lượng giác
- 18 bài tập trắc nghiệm Vi phân
- 15 bài tập trắc nghiệm Đạo hàm cấp hai
- 26 bài tập trắc nghiệm tổng hợp Đạo hàm
- Đề kiểm tra Toán 11 Đại số Chương 5
- 51 bài tập trắc nghiệm tổng ôn Toán 11 Đại số (phần 1)
- 51 bài tập trắc nghiệm tổng ôn Toán 11 Đại số (phần 2)
- 51 bài tập trắc nghiệm tổng ôn Toán 11 Đại số (phần 3)
Trắc nghiệm tổng hợp Đạo hàm
- Trắc nghiệm Định nghĩa và ý nghĩa của đạo hàm
- Trắc nghiệm Các quy tắc tính đạo hàm (phần 1)
- Trắc nghiệm Các quy tắc tính đạo hàm (phần 2)
- Trắc nghiệm Đạo hàm của các hàm số lượng giác
- Trắc nghiệm Vi phân
- Trắc nghiệm Đạo hàm cấp hai
- Bài tập tổng ôn Đạo hàm (có lời giải)
Ôn tập Toán 11 cuối năm
- Bài tập Toán 11 Đại số tổng ôn cuối năm (phần 1)
- Bài tập Toán 11 Đại số tổng ôn cuối năm (phần 2)
- Bài tập Toán 11 Đại số tổng ôn cuối năm (phần 3)
Trắc nghiệm Định nghĩa và ý nghĩa của đạo hàm (có đáp án)
Câu 1: Cho hàm số y = f(x) có đạo hàm tại x0 là f'(x0) . Khẳng định nào sau đây sai?
Chọn đáp án D
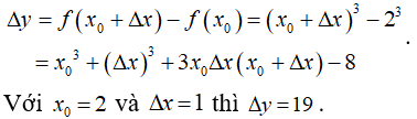
Câu 2: Số gia của hàm số f(x) = x3 ứng với x0 = 2 và Δx = 1 bằng bao nhiêu?
A. -19
B. 7
C. 19
D. - 7
Gọi ∆x là số gia của đối số và ∆y là số gia tương ứng của hàm số.
Ta có :
Chọn đáp án C
Câu 3: Tỉ số của hàm số f(x) = 2x.( x - 1) theo x và Δx là
A. 4x + 2Δ + 2
B. 4x + 2(Δ)2 + 2
C. 4x + 2Δ - 2
D. 4x.Δx + 2(Δ)2 - 2Δx
Chọn đáp án C
Câu 4: Số gia của hàm số f(x) = x2/2 ứng với số gia Δx của đối số x tại x0 = -1 là
Với số gia ∆x của đối số x tại x0 = -1 ,ta có:
Chọn đáp án A
Câu 5: Tính đạo hàm của hàm số tại điểm x0 = 1.
A. 1/3
B. 1/5
C. 1/2
D. 1/4
Chọn đáp án C
Câu 6: Cho hàm số . Với giá trị nào sau đây của a, b thì hàm số có đạo hàm tại x = 1?
Chọn đáp án A
Câu 7: Tính đạo hàm của hàm số tại x = 1.
A. 2
B. 0
C. 3
D. Đáp án khác
Nhận xét: Hàm số y = f(x) có đạo hàm tại x = x0 thì phải liên tục tại điểm đó.
Chọn đáp án D
Câu 8: Xét ba mệnh đề sau: (1) Nếu hàm số f(x) có đạo hàm tại điểm x = x0 thì f(x) liên tục tại điểm đó. (2) Nếu hàm số f(x) liên tục tại điểm x = x0 thì f(x) có đạo hàm tại điểm đó. (3) Nếu f(x) gián đoạn tại x = x0 thì chắc chắn f(x) không có đạo hàm tại điểm đó. Trong ba câu trên:
A. Có hai câu đúng và một câu sai.
B. Có một câu đúng và hai câu sai.
C. Cả ba đều đúng.
D. Cả ba đều sai.
(1) Nếu hàm số f(x) có đạo hàm tại điểm x = x0 thì f(x) liên tục tại điểm đó. Đây là mệnh đề đúng.
(2) Nếu hàm số f(x) liên tục tại điểm x = x0 thì f(x) có đạo hàm tại điểm đó.
Phản ví dụ
Lấy hàm f(x) = |x| ta có D = R nên hàm số f(x) liên tục trên R.
Nhưng ta có
Nên hàm số không có đạo hàm tại x = 0.
Vậy mệnh đề (2) là mệnh đề sai.
(3) Nếu f(x) gián đoạn tại x = x0 thì chắc chắn f(x) không có đạo hàm tại điểm đó.
Vì (1) là mệnh đề đúng nên ta có f(x) không liên tục tại x = x0 thì f(x) không có đạo hàm tại điểm đó.
Vậy (3) là mệnh đề đúng.
Chọn đáp án A
Câu 9: Cho hàm số f(x) = x2 - x, đạo hàm của hàm số ứng với số gia của đối số x tại x0 là
Chọn đáp án B
Câu 10: Xét hai câu sau:
(1) Hàm số liên tục tại x= 0.
(2) Hàm số
có đạo hàm tại x=0 .
Trong hai câu trên:
A. Chỉ có (2) đúng.
B. Chỉ có (1) đúng.
C. Cả hai đều đúng.
D. Cả hai đều sai.
Chọn đáp án B
Trắc nghiệm Các quy tắc tính đạo hàm (có đáp án)
Câu 1: Cho hàm số f(x) xác định trên R bởi f(x) = 2x2 + 1. Giá trị f'(-1) bằng:
A. 2
B. 6
C. - 4
D. 3
Ta có : f'(x) = 4x ⇒ f'(-1) = -4.
Chọn đáp án C
Câu 2: Cho hàm số f(x) = -x4 + 43 -32 + 2x + 1 xác định trên R. Giá trị f'(-1) bằng:
A. 4
B. 14
C. 15
D. 24
Chọn đáp án D
Câu 3: Đạo hàm của hàm số f(x) = (x2 + 1)4 tại điểm x = -1 là:
A. -32
B.30
C. - 64
D. 12
Chọn đáp án C
Câu 4: Cho hàm số y = x3 - 3x2 - 9x - 5. Phương trình y' = 0 có nghiệm là:
A. {-1; 2}.
B. {-1; 3}.
C. {0; 4}.
D. {1; 2}.
Chọn đáp án B
Câu 5: Với . Thì f'(-1) bằng:
A. 1
B. -3
C. -5
D. 0
Chọn đáp án D
Câu 6: Cho hàm số f(x) xác định trên R bởi . Giá trị f'(0) bằng
A. 0
B. 2
C. 1
D. Không tồn tại.
Chọn đáp án D
Câu 7: Cho hàm số y = -4x3 + 4x. Để y' ≥ 0 thì x nhận các giá trị thuộc tập nào sau đây ?
Chọn đáp án B
Câu 8: Tìm m để các hàm số có y' ≤ 0 , ∀ x ∈ R.
A. m ≤ √2
B. m ≤ 2
C. m ≤ 0
D.m < 0
Chọn đáp án C
Câu 9: Cho hàm số , đạo hàm của hàm số tại x = 1 là:
A. y'(1) = -4.
B. y'(1) = -3.
C. y'(1) = -2.
D. y'(1) = -5.
Chọn đáp án D
Câu 10: Đạo hàm của hàm số y = (x3 - 2x2)2016 là:
A. y' = 2016(x3 - 2x2)
B. y' = 2016(x3 - 2x2)2015(3x2 - 4x).
C. y' = 2016(x3 - 2x2)(3x2 - 4x).
D. y' = 2016(x3 - 2x2)(3x2 - 2x).
Chọn đáp án B
(199k) Xem Khóa học Toán 11 KNTTXem Khóa học Toán 11 CDXem Khóa học Toán 11 CTST
Xem thêm bộ câu hỏi & bài tập trắc nghiệm Toán lớp 11 có đáp án hay khác:
- 100 Bài tập trắc nghiệm Phép dời hình và phép đồng dạng trong mặt phẳng
- 100 Bài tập trắc nghiệm Đường thẳng và mặt phẳng trong không gian. Quan hệ song song
- 100 Bài tập trắc nghiệm Vectơ trong không gian. Quan hệ vuông góc trong không gian
- 100 Bài tập trắc nghiệm Hàm số lượng giác và phương trình lượng giác
- 100 Bài tập trắc nghiệm Tổ hợp; Xác suất
- 100 Bài tập trắc nghiệm Dãy số; Cấp số cộng và cấp số nhân
- 100 Bài tập trắc nghiệm Giới hạn
Tủ sách VIETJACK shopee lớp 10-11 (cả 3 bộ sách):
Đã có app VietJack trên điện thoại, giải bài tập SGK, SBT Soạn văn, Văn mẫu, Thi online, Bài giảng....miễn phí. Tải ngay ứng dụng trên Android và iOS.
Theo dõi chúng tôi miễn phí trên mạng xã hội facebook và youtube:Nếu thấy hay, hãy động viên và chia sẻ nhé! Các bình luận không phù hợp với nội quy bình luận trang web sẽ bị cấm bình luận vĩnh viễn.
- Giải Tiếng Anh 11 Global Success
- Giải sgk Tiếng Anh 11 Smart World
- Giải sgk Tiếng Anh 11 Friends Global
- Lớp 11 - Kết nối tri thức
- Soạn văn 11 (hay nhất) - KNTT
- Soạn văn 11 (ngắn nhất) - KNTT
- Giải sgk Toán 11 - KNTT
- Giải sgk Vật Lí 11 - KNTT
- Giải sgk Hóa học 11 - KNTT
- Giải sgk Sinh học 11 - KNTT
- Giải sgk Lịch Sử 11 - KNTT
- Giải sgk Địa Lí 11 - KNTT
- Giải sgk Giáo dục KTPL 11 - KNTT
- Giải sgk Tin học 11 - KNTT
- Giải sgk Công nghệ 11 - KNTT
- Giải sgk Hoạt động trải nghiệm 11 - KNTT
- Giải sgk Giáo dục quốc phòng 11 - KNTT
- Giải sgk Âm nhạc 11 - KNTT
- Lớp 11 - Chân trời sáng tạo
- Soạn văn 11 (hay nhất) - CTST
- Soạn văn 11 (ngắn nhất) - CTST
- Giải sgk Toán 11 - CTST
- Giải sgk Vật Lí 11 - CTST
- Giải sgk Hóa học 11 - CTST
- Giải sgk Sinh học 11 - CTST
- Giải sgk Lịch Sử 11 - CTST
- Giải sgk Địa Lí 11 - CTST
- Giải sgk Giáo dục KTPL 11 - CTST
- Giải sgk Hoạt động trải nghiệm 11 - CTST
- Giải sgk Âm nhạc 11 - CTST
- Lớp 11 - Cánh diều
- Soạn văn 11 Cánh diều (hay nhất)
- Soạn văn 11 Cánh diều (ngắn nhất)
- Giải sgk Toán 11 - Cánh diều
- Giải sgk Vật Lí 11 - Cánh diều
- Giải sgk Hóa học 11 - Cánh diều
- Giải sgk Sinh học 11 - Cánh diều
- Giải sgk Lịch Sử 11 - Cánh diều
- Giải sgk Địa Lí 11 - Cánh diều
- Giải sgk Giáo dục KTPL 11 - Cánh diều
- Giải sgk Tin học 11 - Cánh diều
- Giải sgk Công nghệ 11 - Cánh diều
- Giải sgk Hoạt động trải nghiệm 11 - Cánh diều
- Giải sgk Giáo dục quốc phòng 11 - Cánh diều
- Giải sgk Âm nhạc 11 - Cánh diều


Giải bài tập SGK & SBT
Tài liệu giáo viên
Sách
Khóa học
Thi online
Hỏi đáp

