Công thức Đạo hàm sơ cấp, cấp cao, lượng giác (đầy đủ nhất)
Bài viết Công thức Đạo hàm sơ cấp, cấp cao, lượng giác trình bày đầy đủ công thức, ví dụ minh họa có lời giải chi tiết và các bài tập tự luyện giúp học sinh lớp 11 nắm vững kiến thức trọng tâm về Công thức tính đạo hàm của hàm sơ cấp cơ bản và tổng, hiệu, tích, thương từ đó học tốt môn Toán.
Công thức Đạo hàm sơ cấp, cấp cao, lượng giác (đầy đủ nhất)
1. Công thức Đạo hàm sơ cấp, cấp cao, lượng giác
a. Quy tắc đạo hàm chung
Cho các hàm số u = u(x), v = v(x) có đạo hàm tại điểm x thuộc khoảng xác định.
Ta có:
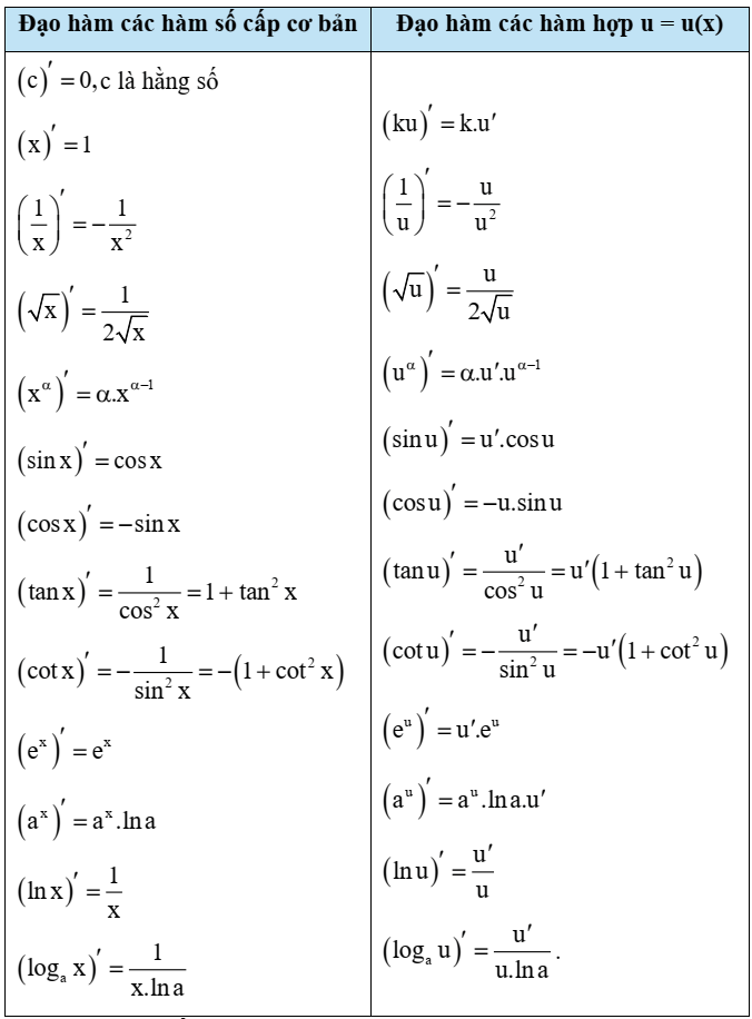
b. Công thức đạo hàm sơ cấp
c. Đạo hàm của một số phân thức hữu tỉ thường gặp
d. Công thức đạo hàm cấp cao
• (xm)(n) = m(m – 1)(m – 2)….(m – n + 1).xm – n nếu m ≥ n.
• (xm)(n) = 0 nếu m < n.
• (ax)(n) = (lna)n.ax.
• (logax)(n) = (−1)n – 1. .
• .
• (lnx)(n) = (−1)n – 1. (n – 1)!.x−n.
• (ekx)(n) = kn.ekx.
• (sinax)(n) = an.sin(ax + n.). • (cosax)(n) = an.cos(ax + n.).
e. Công thức đạo hàm lượng giác và các hàm lượng giác ngược
• (sinx)' = cosx
• (cosx)' = −sinx
• (tanx)' = = .
• (cotx)' = = .
• (secx)' = = .
• (cscx)' = = .
• .
• .
• .
2. Ví dụ minh họa Công thức Đạo hàm sơ cấp, cấp cao, lượng giác
Ví dụ 1. Tính đạo hàm của các hàm số sau:
a) f(x) = 3x2 – 5x;
b) f(x) = (1 + 2x)(x – 1);
c) f(x) = ;
d) f(x) = .
Hướng dẫn giải
a) Xét f(x) = 3x2 – 5x.
Khi đó, f'(x) = (3x2)' – (5x)' = 6x – 5.
b) Xét f(x) = (1 + 2x)(x – 1)
Khi đó, f'(x) = (1 + 2x)'(x – 1) + (1 + 2x)(x – 1)'
= 2(x – 1) + (1 + 2x).1
= 2x – 2 + 1 + 2x
= 4x – 1.
c) Xét f(x) = .
Khi đó, với x ≠ 0, ta có: f'(x) =
= = = .
d) Xét f(x) = .
Khi đó, với x ≠ 0, ta có: .
Ví dụ 2. Tính đạo hàm của các hàm số sau:
a) ;
b) ;
c) .
Hướng dẫn giải
Ví dụ 3. Tính đạo hàm của các hàm số sau tại điểm x0 = 1.
a) y = 2x;
b) y = lnx.
Hướng dẫn giải
a) Ta có: y' = 2x.ln2.
Khi đó đạo hàm của hàm số y = 2x tại x0 = 1 là: y'(1)= 2.ln2.
b) Ta có: .
Khi đó, đạo hàm của hàm số tại x0 = 1 là: .
Ví dụ 4. Cho hàm số y = x3 + 2x2 – 5x + 4.
a) Viết phương trình tiếp tuyến của đồ thị hàm số tại hoành độ x0 = −2;
b) Viết phương trình tiếp tuyến của đồ thị hàm số biết hệ số góc tiếp tuyến bằng −6.
Hướng dẫn giải
Hàm số y = x3 + 2x2 – 5x + 4.
Ta có: y'(x) = 3x2 + 4x – 5.
a) Với x0 = –2 thì y0 = (–2)3 + 2(–2)2 – 5(–2) + 4 = 14.
Do đó, y'(–2) = 3(–2)2 + 4(–2) – 5 = –1.
Phương trình tiếp tuyến của đồ thị hàm số tại hoành độ x0 = –2 là:
y – 14 = – 1[x – (– 2)] hay y = – x + 12.
b) Gọi A(x0; y0) là tiếp điểm thuộc đồ thị hàm số y = x3 + 2x2 – 5x + 4.
Do hệ số góc tiếp tuyến của đồ thị hàm số bằng – 6 nên
y'(x0) = – 6 ⇔ 3x02 + 4x0 – 5 = – 6 ⇔ x0 = – 1 hoặc .
Với x0 = −1 thì y0 = 10, phương trình tiếp tuyến cần tìm là y – 10 = −6(x + 1) hay
y = −6x + 4.
Với thì nên phương trình tiếp tuyến cần tìm là hay .
3. Bài tập tự luyện Công thức Đạo hàm sơ cấp, cấp cao, lượng giác
Bài 1. Các khẳng định sau Đúng hay Sai
Bài 2. Thực hiện tính đạo hàm.
a) Cho y = 3x3 + x4 – 5x. Tính y'(1).
b) Cho . Tính y'(3).
c) Cho . Tính y'(−1).
d) Cho y = 4x + ex. Tính y'(2).
e) Cho y = 2xlnx. Tính y'(3).
f) Cho y = sinx + 2cosx – 3tanx + 4cotx. Tính .
Bài 3. Pháo hoa tầm thấp được bắn lên cao theo phương thẳng đứng có phương trình chuyển động h(t) = 9,8t2 + 19,6t – 18, trong đó t ≥ 0, t(s) là thời gian chuyển động và h(m) là độ cao so với mặt đất.
a) Sau bao lâu để từ khi bắn pháo hoa ở độ cao 1158m?
b) Vận tốc tức thời của pháo hoa khi ở độ cao 325m?
c) Tại thời điểm pháo hoa có vận tốc tức thời 78,4 (m/s) thì pháo hoa đang ở độ cao bao nhiêu so với mặt đất?
Bài 4. Cho hàm số y = (x3 – 2)(1 – x2).
a) Tính đạo hàm của đồ thị hàm số tại một điểm x0 bất kì;
b) Viết phương trình tiếp tuyến của đồ thị hàm số tại điểm có hoành độ x0 = 2;
c) Viết phương trình tiếp tuyến của đồ thị hàm số tại điểm có tung độ y0 = 0.
Bài 5. Một vật rơi tự do với vận tốc ban đầu v0 = 54 m/s (bỏ qua sức cản của không khí) sau thời gian t thì có phương trình , trong đó g ≈ 9,8 m/s2 là gia tốc trọng trường. Tính vận tốc khi vật đó chạm đất.
Xem thêm các bài viết về công thức Toán hay, chi tiết khác:
Công thức xác định số trung bình cộng của mẫu số liệu ghép nhóm
Công thức xác định trung vị, tứ phân vị của mẫu số liệu ghép nhóm
Tủ sách VIETJACK shopee lớp 6-8 (2025):
Đã có app VietJack trên điện thoại, giải bài tập SGK, SBT Soạn văn, Văn mẫu, Thi online, Bài giảng....miễn phí. Tải ngay ứng dụng trên Android và iOS.
Theo dõi chúng tôi miễn phí trên mạng xã hội facebook và youtube:Loạt bài 500 Công thức, Định Lí, Định nghĩa Toán, Vật Lí, Hóa học, Sinh học được biên soạn bám sát nội dung chương trình học các cấp.
Nếu thấy hay, hãy động viên và chia sẻ nhé! Các bình luận không phù hợp với nội quy bình luận trang web sẽ bị cấm bình luận vĩnh viễn.
- Đề thi lớp 1 (các môn học)
- Đề thi lớp 2 (các môn học)
- Đề thi lớp 3 (các môn học)
- Đề thi lớp 4 (các môn học)
- Đề thi lớp 5 (các môn học)
- Đề thi lớp 6 (các môn học)
- Đề thi lớp 7 (các môn học)
- Đề thi lớp 8 (các môn học)
- Đề thi lớp 9 (các môn học)
- Đề thi lớp 10 (các môn học)
- Đề thi lớp 11 (các môn học)
- Đề thi lớp 12 (các môn học)
- Giáo án lớp 1 (các môn học)
- Giáo án lớp 2 (các môn học)
- Giáo án lớp 3 (các môn học)
- Giáo án lớp 4 (các môn học)
- Giáo án lớp 5 (các môn học)
- Giáo án lớp 6 (các môn học)
- Giáo án lớp 7 (các môn học)
- Giáo án lớp 8 (các môn học)
- Giáo án lớp 9 (các môn học)
- Giáo án lớp 10 (các môn học)
- Giáo án lớp 11 (các môn học)
- Giáo án lớp 12 (các môn học)


Giải bài tập SGK & SBT
Tài liệu giáo viên
Sách
Khóa học
Thi online
Hỏi đáp

