Công thức tính độ điện li lớp 11 (hay, chi tiết)
Bài viết Công thức tính độ điện li lớp 11 trình bày đầy đủ công thức, ví dụ minh họa có lời giải chi tiết và các bài tập tự luyện giúp học sinh nắm vững kiến thức trọng tâm về Công thức tính độ điện li từ đó học tốt môn Hóa học.
Công thức tính độ điện li lớp 11 (hay, chi tiết)
I. Lý thuyết và phương pháp giải
- Độ điện li α (alpha) của chất điện li là tỉ số giữa số phân tử phân li thành ion và tổng số phân tử ban đầu.
Biểu thức :
Trong đó:
n' là số mol bị phân li thành ion; no số mol ban đầu.
C' nồng độ mol/l bị phân li; Co nồng độ mol/l ban đầu.
Giá trị α có thể tính theo đơn vị % ( .100)
- Các trường hợp của độ điện li:
+ α = 1: chất điện li mạnh.
+ 0 < α < 1: chất điện li yếu.
+ α = 0: chất không điện li.
- Độ điện phụ thuộc vào các yếu tố:
+ Nồng độ chất tan: tỉ lệ nghịch.
+ Nhiệt độ của dung dịch.
II. Ví dụ minh họa
Ví dụ 1: Độ điện li α của 100 mL dung dịch formic acid 0,46% (D = 1g/mL) có pH = 3 là
A. α = 0,015.
B. α = 0,005.
C. α = 0,01.
D. α = 0,02.
Hướng dẫn giải
Đáp án đúng là: C
Ví dụ 2: Trong 100 mL dung dịch nitrous acid ở nhiệt độ nhất định có 5,64.1021 phân tử HNO2 và 3,6.1020 ion . Độ điện li của nitrous acid trong dung dịch ở nhiệt độ trên là
A. 0,04.
B. 0,05.
C. 0,06.
D. 0,07.
Hướng dẫn giải
Đáp án đúng là: C
Số phân tử HNO2 phân li thành ion là : n’=3,6.1020 phân tử.
Số phân tử HNO2 hòa tan trong dung dịch là:
no = 3,6.1020 + 5,64.1021 = 6.1021 phân tử
Độ điện li là:
III. Bài tập vận dụng
Câu 1: Công thức tính độ điện li là
A. α = mchất tan / mdung dịch.
B. α = mđiện li / mchất tan.
C. α = nchất tan/ nphân li.
D. α = nphân li/ nchất tan.
Hướng dẫn giải
Đáp án đúng là: D
Công thức tính độ điện li là α = nphân li/ nchất tan.
Câu 2: Chất điện li mạnh có độ điện li
A. α = 1.
B. 0 < α < 1.
C. α = 0.
D. 0 < α.
Hướng dẫn giải
Đáp án đúng là: A
α = 1: chất điện li mạnh.
Câu 3: Chất điện li yếu có độ điện li
A. α = 1.
B. 0 < α < 1.
C. α = 0.
D. 0 < α.
Hướng dẫn giải
Đáp án đúng là: B
Chất điện li yếu có độ điện li: 0 < α < 1.
Câu 4: Chất không điện li có độ điện li
A. α = 1.
B. 0 < α < 1.
C. α = 0.
D. 0 < α.
Hướng dẫn giải
Đáp án đúng là: C
Chất không điện li có độ điện li α = 0.
Câu 5: Cân bằng sau tồn tại trong dung dịch: CH3COOH ⇌ H+ + CH3COO−. Độ điện li α của CH3COOH sẽ biến đổi khi ta pha loãng dung dịch là
A. giảm.
B. tăng.
C. không thay đổi.
D. tăng sau đó giảm.
Hướng dẫn giải
Đáp án đúng là: B
Khi pha loãng dung dịch độ điện li tăng.
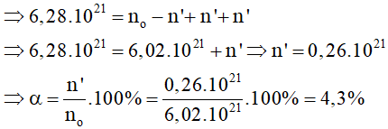
Câu 6: Một lít dung dịch CH3COOH 0,01M có chứa tổng số 6,28.1021 ion và phân tử CH3COOH. Độ điện li của acid này là
A. 4,3%
B. 4,0%
C. 5,3%
D. 5,0%
Hướng dẫn giải
Đáp án đúng là A
Tổng số phân tử CH3COOH hòa tan là:
Phương trình điện li:
Dung dịch chứa tổng số 6,28.1021 ion và phân tử CH3COOH
Câu 7: Cho dung dịch CH3COOH 0,1M. Hằng số phần li của acetic acid bằng 1,75.10-5. Độ điện li của dung dịch trên là
A. 1,31.10-1
B. 1,31. 10-2
C. 1,31. 10-3
D. 1,31. 10-4
Hướng dẫn giải
Đáp án đúng là: B
Câu 8: Tính hằng số điện li của acetic acid, biết rằng dung dịch 0,1M có độ điện li là 1,32%?
A.1,77.10-5
B. 1,97.10-5
C. 2,77.10-5
D. 2,97.10-5
Hướng dẫn giải
Đáp án đúng là: A
Xem thêm các bài viết về công thức Hóa học 11 hay, chi tiết khác:
Tủ sách VIETJACK shopee lớp 6-8 (2025):
Đã có app VietJack trên điện thoại, giải bài tập SGK, SBT Soạn văn, Văn mẫu, Thi online, Bài giảng....miễn phí. Tải ngay ứng dụng trên Android và iOS.
Theo dõi chúng tôi miễn phí trên mạng xã hội facebook và youtube:Loạt bài 500 Công thức, Định Lí, Định nghĩa Toán, Vật Lí, Hóa học, Sinh học được biên soạn bám sát nội dung chương trình học các cấp.
Nếu thấy hay, hãy động viên và chia sẻ nhé! Các bình luận không phù hợp với nội quy bình luận trang web sẽ bị cấm bình luận vĩnh viễn.
- Đề thi lớp 1 (các môn học)
- Đề thi lớp 2 (các môn học)
- Đề thi lớp 3 (các môn học)
- Đề thi lớp 4 (các môn học)
- Đề thi lớp 5 (các môn học)
- Đề thi lớp 6 (các môn học)
- Đề thi lớp 7 (các môn học)
- Đề thi lớp 8 (các môn học)
- Đề thi lớp 9 (các môn học)
- Đề thi lớp 10 (các môn học)
- Đề thi lớp 11 (các môn học)
- Đề thi lớp 12 (các môn học)
- Giáo án lớp 1 (các môn học)
- Giáo án lớp 2 (các môn học)
- Giáo án lớp 3 (các môn học)
- Giáo án lớp 4 (các môn học)
- Giáo án lớp 5 (các môn học)
- Giáo án lớp 6 (các môn học)
- Giáo án lớp 7 (các môn học)
- Giáo án lớp 8 (các môn học)
- Giáo án lớp 9 (các môn học)
- Giáo án lớp 10 (các môn học)
- Giáo án lớp 11 (các môn học)
- Giáo án lớp 12 (các môn học)


Giải bài tập SGK & SBT
Tài liệu giáo viên
Sách
Khóa học
Thi online
Hỏi đáp

