Công thức tính nồng độ H+ lớp 11 (hay, chi tiết)
Bài viết Công thức tính nồng độ H+ lớp 11 trình bày đầy đủ công thức, ví dụ minh họa có lời giải chi tiết và các bài tập tự luyện giúp học sinh nắm vững kiến thức trọng tâm về Công thức tính nồng độ H+ từ đó học tốt môn Hóa học.
Công thức tính nồng độ H+ lớp 11 (hay, chi tiết)
I. Lý thuyết và phương pháp giải
Một số công thức tính nồng độ H+.
- Tính nồng độ H+ do acid mạnh phân li ra:
Giả sử acid mạnh có dạng: HaX ⇒ [H+] = a.[HaX]
- Tính nồng độ H+ dựa vào pH:
Giả sử dung dịch có pH = a ⇒ [H+] = 10-a.
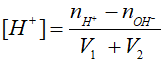
- Tính nồng độ H+ của dung dịch sau pha trộn acid mạnh với base mạnh:
Bước 1: Bản chất của phản ứng giữa acid mạnh với base mạnh là: H+ + OH- → H2O
Bước 2: Nếu acid dư : Tính nồng độ ion H+ dư:
Lưu ý: Vdd sau trộn = Vacid + Vbase = V1 + V2.
Chú ý: Thông thường bước tính nồng độ H+ là bước trung gian để tính pH của dung dịch.
pH = -log[H+]
II. Ví dụ minh họa
Ví dụ 1: Nồng độ H+ có trong dung dịch H2SO4 0,10 M là
A. 0,1M.
B. 1M.
C. 0,2M.
D. 0,01M.
Hướng dẫn giải
Đáp án đúng là: C
Ví dụ 2: Một mẫu nước mưa có pH = 4,82. Vậy nồng độ H+ trong đó là
A. 10-4M.
B. 10-5M.
C. > 10-5M.
D. < 10-5M.
Hướng dẫn giải
Đáp án đúng là: C
[H+] = 10-pH = 10-4,82M > 10-5M.
III. Bài tập vận dụng
Câu 1: Nồng độ H+ có trong dung dịch H2SO4 0,010 M là
A. 0,1M.
B. 0,02M.
C. 0,2M.
D. 0,01M.
Hướng dẫn giải
Đáp án đúng là: B
Câu 2: Nồng độ H+ có trong dung dịch HCl 0,010 M là
A. 0,1M.
B. 0,02M.
C. 0,2M.
D. 0,01M.
Hướng dẫn giải
Đáp án đúng là: D
Câu 3: Một mẫu nước mưa có pH = 5,6. Vậy nồng độ H+ trong đó là
A. 10-4M.
B. 10-5M.
C. > 10-5M.
D. < 10-5M.
Hướng dẫn giải
Đáp án đúng là: D
[H+] = 10-pH = 10-5,6M < 10-5M.
Câu 4: Trộn lẫn V mL dung dịch NaOH 0,01 M với V mL dung dịch HCl 0,03 M thu được 2V mL dung dịch Y. Nồng độ H+ có trong dung dịch Y là
A. 0,1M.
B. 0,02M.
C. 0,2M.
D. 0,01M.
Hướng dẫn giải
Đáp án đúng là: D
H+ + OH- → H2O
(dư) = 0,03V – 0,01V = 0,02V (mol).
Nồng độ mol của H+ trong dung dịch sau phản ứng =
Câu 5: Trộn 200ml dung dịch H2SO4 0,05M với 300ml dung dịch HCl 0,1M thu được dung dịch Y. Nồng độ H+ có trong dung dịch Y là
A. 0,1M.
B. 0,02M.
C. 0,2M.
D. 0,01M.
Hướng dẫn giải
Đáp án đúng là: A
= 2.0,2.0,05 +0,3.0,1 = 0,05M
Thể tích dung dịch sau khi trộn bằng 200 + 300 = 500 ml
⇒ Nồng độ H+ có trong dung dịch Y là [H+] = = 0,1M.
Câu 6: Hòa tan 4,9 gam H2SO4 vào nước thu được 10 lít dung dịch. Nồng độ H+ có trong dung dịch thu được là
A. 0,1M.
B. 0,2M.
C. 0,3M.
D. 0,4M.
Hướng dẫn giải
Đáp án đúng là: A
Ta có:
Câu 7: pH dung dịch X gồm HCl 0,01M và H2SO4 0,02M là
A. 4,3.
B. 1,3.
C. 2,3.
D. 3,3.
Hướng dẫn giải
Đáp án đúng là: B
∑[H+] = 0,01 + 0,02.2 = 0,05 M ⇒ pH = -log(0,05) = 1,3.
Câu 8: Cần pha loãng dung dịch HCl có pH = 2 bao nhiêu lần để được dung dịch có pH = 3?
A. 5.
B. 100.
C. 20.
D. 10.
Hướng dẫn giải
Đáp án đúng là: D
Gọi V1, V2 lần lượt là thể tích dung dịch HCl có pH = 2, pH = 3.
Do pH = 2 ⇒ [H+] = M ⇒ nH+trước khi pha loãng= V1
pH = 3 ⇒ [H+] = M ⇒ nH+sau khi pha loãng = V2
Ta có nH+trước khi pha loãng = nH+sau khi pha loãng ⇒ V1 = V2
⇒ . Vậy cần pha loãng acid 10 lần.
Câu 9: Trung hòa 300 ml dung dịch hỗn hợp HCl và HNO3 có pH = 2 cần V ml dung dịch NaOH0,02M. Giá trị của V là
A. 300.
B. 150.
C. 200.
D. 250
Hướng dẫn giải
Đáp án đúng là: B
pH = 2 ⇒ [H+] = 10-2M ⇒ nH+ = 0,3.10-2= 3.10-3 mol
nOH- = nH+ hay 3.10-3 = V.0,02 ⇒ V = 0,15 lít = 150 ml.
Câu 10: Trộn 200 ml dung dịch hỗn hợp gồm HNO3 0,3M và HClO4 0,5M với 200 ml dung dịch Ba(OH)2 aM, thu được dung dịch có pH = 3. Vậy a có giá trị là
A. 0,39.
B. 3,999.
C. 0,399.
D. 0,398.
Hướng dẫn giải
Đáp án đúng là: C
pH = 3 → [H+] dư = 10-3M
Xem thêm các bài viết về công thức Hóa học 11 hay, chi tiết khác:
Tủ sách VIETJACK shopee lớp 6-8 (2025):
Đã có app VietJack trên điện thoại, giải bài tập SGK, SBT Soạn văn, Văn mẫu, Thi online, Bài giảng....miễn phí. Tải ngay ứng dụng trên Android và iOS.
Theo dõi chúng tôi miễn phí trên mạng xã hội facebook và youtube:Loạt bài 500 Công thức, Định Lí, Định nghĩa Toán, Vật Lí, Hóa học, Sinh học được biên soạn bám sát nội dung chương trình học các cấp.
Nếu thấy hay, hãy động viên và chia sẻ nhé! Các bình luận không phù hợp với nội quy bình luận trang web sẽ bị cấm bình luận vĩnh viễn.
- Đề thi lớp 1 (các môn học)
- Đề thi lớp 2 (các môn học)
- Đề thi lớp 3 (các môn học)
- Đề thi lớp 4 (các môn học)
- Đề thi lớp 5 (các môn học)
- Đề thi lớp 6 (các môn học)
- Đề thi lớp 7 (các môn học)
- Đề thi lớp 8 (các môn học)
- Đề thi lớp 9 (các môn học)
- Đề thi lớp 10 (các môn học)
- Đề thi lớp 11 (các môn học)
- Đề thi lớp 12 (các môn học)
- Giáo án lớp 1 (các môn học)
- Giáo án lớp 2 (các môn học)
- Giáo án lớp 3 (các môn học)
- Giáo án lớp 4 (các môn học)
- Giáo án lớp 5 (các môn học)
- Giáo án lớp 6 (các môn học)
- Giáo án lớp 7 (các môn học)
- Giáo án lớp 8 (các môn học)
- Giáo án lớp 9 (các môn học)
- Giáo án lớp 10 (các môn học)
- Giáo án lớp 11 (các môn học)
- Giáo án lớp 12 (các môn học)


Giải bài tập SGK & SBT
Tài liệu giáo viên
Sách
Khóa học
Thi online
Hỏi đáp

