Công thức tính hằng số cân bằng Kc lớp 11 (hay, chi tiết)
Bài viết Công thức tính hằng số cân bằng Kc lớp 11 trình bày đầy đủ công thức, ví dụ minh họa có lời giải chi tiết và các bài tập tự luyện giúp học sinh nắm vững kiến thức trọng tâm về Công thức tính hằng số cân bằng Kc từ đó học tốt môn Hóa học.
Công thức tính hằng số cân bằng Kc lớp 11 (hay, chi tiết)
I. Lý thuyết và phương pháp giải
- Xét phản ứng thuận nghịch tổng quát: aA + bB cC + dD
Ở trạng thái cân bằng, hằng số cân bằng (KC) tính theo công thức:
Trong đó:
● [A], [B], [C], [D] là nồng độ các chất ở trạng thái cân bằng.
● a, b, c, d là hệ số tỉ lượng trong phương trình.
● Đối với phản ứng có chất rắn tham gia, không biểu diễn nồng độ chất rắn trong biểu thức tính hằng số cân bằng.
- Mở rộng:
+ Hằng số cân bằng (KC) chỉ phụ thuộc vào nhiệt độ và bản chất của phản ứng.
+ Đối với các phản ứng có chất rắn tham gia, không biểu diễn nồng độ của chất rắn trong biểu thức hằng số cân bằng.
+ Biểu thức xác định hằng số cân bằng cho thấy: Kc càng lớn thì phản ứng thuận càng chiếm ưu thế hơn và ngược lại KC càng nhỏ thì phản ứng nghịch càng chiếm ưu thế hơn.
II. Ví dụ minh hoạ
Ví dụ 1: Cho phản ứng thuận nghịch: . Hằng số cân bằng của phản ứng trên là
A. .
B. .
C. .
D.
Hướng dẫn giải
Đáp án đúng là: A
Hằng số cân bằng của phản ứng trên là .
Ví dụ 2. Cho cân bằng hoá học sau: 2CO2(g) 2CO(g) + O2(g)
Ở T oC, nồng độ các chất ở trạng thái cân bằng như sau: [CO2] = 1,2 M, [CO] = 0,35 M và [O2] = 0,15 M. Hằng số cân bằng của phản ứng tại T oC là
A. 1,276.10-2.
B. 4,375.10-2.
C. 78,36.
D. 22,85.
Hướng dẫn giải
Đáp án đúng là: A
Ví dụ 3. Cho cân bằng: N2O4(g) 2NO2(g). Ban đầu có 0,02 mol N2O4 trong bình kín có thể tích 500 mL, khi phản ứng đạt trạng thái cân bằng thì nồng độ của N2O4 là 0,0055 M. Giá trị của hằng số cân bằng KC là
A. 0,87.
B. 12,5.
C. 6,27.
D. 0,14.
Hướng dẫn giải
Đáp án đúng là: A
Nồng độ N2O4 ban đầu là
Ta có 0,04 – x = 0,0055 ⇒ x = 0,0345 M ⇒ [NO2] = 0,069 M.
III. Bài tập minh hoạ
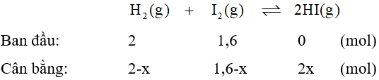
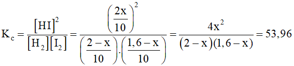
Câu 1: Cho phản ứng sau ở 430oC: H2(g) + I2(g) 2HI(g). Ở trạng thái cân bằng, nồng độ các chất là: [H2] = [I2] = 0,107 M; [HI] = 0,786 M. Hằng số cân bằng của phản ứng ở nhiệt độ trên là
A. 53,96.
B. 59,36.
C. 56,39.
D. 53,69.
Hướng dẫn giải
Đáp án đúng là: A
Câu 2: Xét cân bằng: N2O4 (g) 2NO2 (g) ở 25oC. Khi chuyển dịch sang một trạng thái cân bằng mới nếu nồng độ của N2O4 tăng lên 9 lần thì nồng độ của NO2:
A. tăng 9 lần.
B. tăng 3 lần.
C. tăng 4,5 lần.
D. giảm 3 lần.
Hướng dẫn giải
Đáp án đúng là: B
N2O4 (g) 2NO2 (g)
Hằng số cân bằng:
Khi tăng nồng độ N2O4 lên 9 lần để hằng số K không đổi thì nồng độ NO2 phải tăng lên 3 lần.
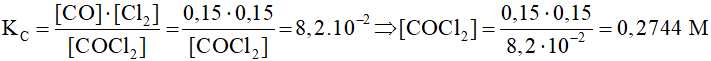
Câu 3: Cho phản ứng sau:
Ở trạng thái cân bằng, nếu nồng độ CO và Cl2 đều bằng 0,15 M thì nồng độ của COCl2 là
A. 0,2744.
B. 2,7440.
C. 0,4722.
D. 0,3727.
Hướng dẫn giải
Đáp án đúng là: A
Câu 4: Cho 0,4 mol SO2 và 0,6 mol O2 vào một bình dung tích 1 lít được giữ ở một nhiệt độ không đổi. Phản ứng trong bình xảy ra như sau:2SO2(g) + O2(g) 2SO3(g)
Khi phản ứng đạt đến trạng thái cân bằng, lượng SO3 trong bình là 0,3 mol. Tính hằng số cân bằng KC của phản ứng tổng hợp SO3 ở nhiệt độ trên là
A. 10.
B. 20.
C. 6.
D. 7.
Hướng dẫn giải
Đáp án đúng là: B
Do dung tích bình là 1 lít nên giá trị nồng độ bằng giá trị của số mol.
Vậy nồng độ SO2 ban đầu và nồng độ O2 ban đầu lần lượt là 0,4 và 0,6 M
⇒ [SO2] = 0,3 M.
KC =
Câu 5: Cho phản ứng:
H2 (g) + I2 (g) 2HI (g)
Ở nhiệt độ 430°C, hằng số cân bằng KC của phản ứng trên bằng 53,96. Đun nóng một bình kín dung tích không đổi 10 lít chứa 4,0 gam H2 và 406,4 gam I2. Khi hệ phản ứng đạt trạng thái cân bằng ở 430°C, nồng độ của HI là
A. 1,375.
B. 0,275.
C. 0,175.
D. 0,375.
Hướng dẫn giải
Đáp án đúng là: B
Ta có:
Suy ra, x = 1,375 (thoả mãn).
Vậy ở trạng thái cân bằng: [HI] = = 0,275 M.
Câu 6: Một bình phản ứng có dung tích không đổi, chứa hỗn hợp khí N2 và H2 với nồng độ tương ứng là 0,3 M và 0,7 M. Sau khi phản ứng tổng hợp NH3 đạt trạng thái cân bằng ở toC, H2 chiếm 50% thể tích hỗn hợp thu được. Hằng số cân bằng KC ở toC của phản ứng có giá trị là
A. 2,500.
B. 3,125.
C. 0,609.
D. 0,500.
Hướng dẫn giải
Đáp án đúng là: B
N2 (g) + 3H2 (g) 2NH3 (g)
Câu 7: Cho 0,4 mol CO tác dụng với 0,3 mol H2 trong bình có dung tích 1 lít ở nhiệt độ cao tạo ra sản phẩm CH3OH theo phản ứng: CO(g) + 2H2(g) CH3OH(g)
Khi phản ứng đạt trạng thái cân bằng, trong hỗn hợp có 0,06 mol CH3OH. Giá trị hằng số cân bằng KC là
A. 5,50.
B. 0,98.
C. 1,70.
D. 5,45.
Hướng dẫn giải:
Đáp án đúng là: D
Nồng độ của CO và H2 ban đầu lần lượt là 0,4 M và 0,3 M.
Nồng độ của CH3OH tại thời điểm cân bằng là 0,06 M
Câu 8: Ở 800 oC, hằng số cân bằng của phản ứng: CO2(g) + H2(g) CO(g) + H2O(g) là KC = 1. Nồng độ ban đầu của CO2 là 0,2 M và H2 là 0,8 M. Nồng độ của H2 tại thời điểm cân bằng là
A. 0,64M.
B. 0,32M.
C. 0,16M.
D. 0,80M.
Hướng dẫn giải
Đáp án đúng là: A
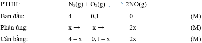
Câu 9: Khi xăng cháy trong động cơ ô tô sẽ tạo ra nhiệt độ cao, lúc đó N2 phản ứng với O2 tạo thành NO:
N2(g) + O2(g) 2NO(g) (1)
NO khi được giải phóng ra không khí nhanh chóng kết hợp với O2 tạo thành NO2 là một khí gây ô nhiễm môi trường. Ở 2000 oC, hằng số cân bằng KC của phản ứng (1) là 0,01.
Nếu trong bình kín dung tích 1 lít có 4 mol N2 và 0,1 mol O2 thì ở2000 oC lượng khí NO tạo thành là bao nhiêu (giả thiết NO chưa phản ứng với O2)?
A. 0,64M.
B. 0,54M.
C. 0,16M.
D. 0,80M.
Hướng dẫn giải
Đáp án đúng là: B
Nồng độ mol ban đầu của N2 và O2 lần lượt là 4 M và 0,1 M.
Ta có:
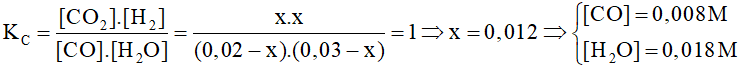
Câu 10. Cho 5,6 gam CO và 5,4 gam H2O vào một bình kín dung tích không đổi 10 lít. Nung nóng bình một thời gian ở 8300C để hệ đạt đến trạng thái cân bằng: CO (g) + H2O (g) CO2 (g) + H2 (g) (hằng số cân bằng KC = 1). Nồng độ cân bằng của CO, H2O lần lượt là
A. 0,018M và 0,008 M.
B. 0,012M và 0,024 M.
C. 0,08M và 0,18 M.
D. 0,008M và 0,018 M.
Hướng dẫn giải:
Đáp án đúng là: D
Xem thêm các bài viết về công thức Hóa học 11 hay, chi tiết khác:
Tủ sách VIETJACK shopee lớp 6-8 (2025):
Đã có app VietJack trên điện thoại, giải bài tập SGK, SBT Soạn văn, Văn mẫu, Thi online, Bài giảng....miễn phí. Tải ngay ứng dụng trên Android và iOS.
Theo dõi chúng tôi miễn phí trên mạng xã hội facebook và youtube:Loạt bài 500 Công thức, Định Lí, Định nghĩa Toán, Vật Lí, Hóa học, Sinh học được biên soạn bám sát nội dung chương trình học các cấp.
Nếu thấy hay, hãy động viên và chia sẻ nhé! Các bình luận không phù hợp với nội quy bình luận trang web sẽ bị cấm bình luận vĩnh viễn.
- Đề thi lớp 1 (các môn học)
- Đề thi lớp 2 (các môn học)
- Đề thi lớp 3 (các môn học)
- Đề thi lớp 4 (các môn học)
- Đề thi lớp 5 (các môn học)
- Đề thi lớp 6 (các môn học)
- Đề thi lớp 7 (các môn học)
- Đề thi lớp 8 (các môn học)
- Đề thi lớp 9 (các môn học)
- Đề thi lớp 10 (các môn học)
- Đề thi lớp 11 (các môn học)
- Đề thi lớp 12 (các môn học)
- Giáo án lớp 1 (các môn học)
- Giáo án lớp 2 (các môn học)
- Giáo án lớp 3 (các môn học)
- Giáo án lớp 4 (các môn học)
- Giáo án lớp 5 (các môn học)
- Giáo án lớp 6 (các môn học)
- Giáo án lớp 7 (các môn học)
- Giáo án lớp 8 (các môn học)
- Giáo án lớp 9 (các môn học)
- Giáo án lớp 10 (các môn học)
- Giáo án lớp 11 (các môn học)
- Giáo án lớp 12 (các môn học)


Giải bài tập SGK & SBT
Tài liệu giáo viên
Sách
Khóa học
Thi online
Hỏi đáp

