Công thức tính góc giữa hai vectơ, hai đường thẳng lớp 10 (hay, chi tiết)
Bài viết Công thức tính góc giữa hai vectơ, hai đường thẳng lớp 10 trình bày đầy đủ công thức, ví dụ minh họa có lời giải chi tiết và các bài tập tự luyện giúp học sinh nắm vững kiến thức trọng tâm về Công thức tính góc giữa hai vectơ, hai đường thẳng từ đó học tốt môn Toán.
Công thức tính góc giữa hai vectơ, hai đường thẳng lớp 10 (hay, chi tiết)
1. Công thức tính góc giữa hai vectơ, hai đường thẳng
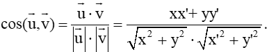
- Cho hai vectơ và . Khi đó, góc giữa hai vectơ và được xác định thông qua công thức:
- Cho hai đường thẳng d: ax + by + c = 0 và d1: a1x + b1y + c1 = 0 với các vectơ pháp tuyến và tương ứng. Khi đó, góc φ giữa hai đường thẳng đó được xác định thông qua công thức:
- Chú ý:
+ Góc giữa hai vectơ cùng chiều bằng 0°.
+ Góc giữa hai vectơ ngược chiều bằng 180°.
+ Góc giữa hai vectơ vuông góc bằng 90°.
+ Góc giữa hai đường thẳng lớn hơn bằng 0° và nhỏ hơn bằng 90°.
2. Ví dụ minh họa tính góc giữa hai vectơ, hai đường thẳng
Ví dụ 1. Cho , và . Tính góc giữa hai vectơ:
a) .
b) .
c) .
Hướng dẫn giải:
a) Ta có:
Suy ra .
b) Ta có
Suy ra .
c) Ta có:
Suy ra .
Ví dụ 2. Tính góc giữa hai đường thẳng:
a) d: x + y – 4 = 0 và d1: 3x – 2y + 8 = 0.
b) d: x – 1 = 0 và d1: 2x + y = 0.
Hướng dẫn giải:
a) Gọi φ là góc giữa hai đường thẳng d và d1.
Ta có và .
Suy ra φ ≈ 78°.
b) Gọi φ là góc giữa hai đường thẳng d và d1.
Ta có và .
Suy ra φ ≈ 26°.
3. Bài tập tự luyện tính góc giữa hai vectơ, hai đường thẳng
Bài 1. Tính góc giữa hai vectơ và .
Bài 2. Tính góc giữa hai đường thẳng d: 5x – 4y + 20 = 0 và .
Bài 3. Tính sin góc giữa hai đường thẳng d: x – y = 0 và d1: 9x + 2y – 14 = 0.
Bài 4. Tính tan góc giữa hai đường thẳng và d1: 2y = 6x + 5.
Bài 5. Cho hai đường thẳng d: x + y – 10 = 0 và d1: 4x + my + 70 = 0. Tìm m để góc giữa hai đường thẳng bằng 45°.
Xem thêm các bài viết về công thức Toán hay, chi tiết khác:
Tủ sách VIETJACK shopee lớp 6-8 (2025):
Đã có app VietJack trên điện thoại, giải bài tập SGK, SBT Soạn văn, Văn mẫu, Thi online, Bài giảng....miễn phí. Tải ngay ứng dụng trên Android và iOS.
Theo dõi chúng tôi miễn phí trên mạng xã hội facebook và youtube:Loạt bài 500 Công thức, Định Lí, Định nghĩa Toán, Vật Lí, Hóa học, Sinh học được biên soạn bám sát nội dung chương trình học các cấp.
Nếu thấy hay, hãy động viên và chia sẻ nhé! Các bình luận không phù hợp với nội quy bình luận trang web sẽ bị cấm bình luận vĩnh viễn.
- Đề thi lớp 1 (các môn học)
- Đề thi lớp 2 (các môn học)
- Đề thi lớp 3 (các môn học)
- Đề thi lớp 4 (các môn học)
- Đề thi lớp 5 (các môn học)
- Đề thi lớp 6 (các môn học)
- Đề thi lớp 7 (các môn học)
- Đề thi lớp 8 (các môn học)
- Đề thi lớp 9 (các môn học)
- Đề thi lớp 10 (các môn học)
- Đề thi lớp 11 (các môn học)
- Đề thi lớp 12 (các môn học)
- Giáo án lớp 1 (các môn học)
- Giáo án lớp 2 (các môn học)
- Giáo án lớp 3 (các môn học)
- Giáo án lớp 4 (các môn học)
- Giáo án lớp 5 (các môn học)
- Giáo án lớp 6 (các môn học)
- Giáo án lớp 7 (các môn học)
- Giáo án lớp 8 (các môn học)
- Giáo án lớp 9 (các môn học)
- Giáo án lớp 10 (các môn học)
- Giáo án lớp 11 (các môn học)
- Giáo án lớp 12 (các môn học)


Giải bài tập SGK & SBT
Tài liệu giáo viên
Sách
Khóa học
Thi online
Hỏi đáp

