Công thức tính số hoán vị lớp 10 (hay, chi tiết)
Bài viết Công thức tính số hoán vị lớp 10 trình bày đầy đủ công thức, ví dụ minh họa có lời giải chi tiết và các bài tập tự luyện giúp học sinh nắm vững kiến thức trọng tâm về Công thức tính số hoán vị từ đó học tốt môn Toán.
Công thức tính số hoán vị lớp 10 (hay, chi tiết)
1. Công thức tính số hoán vị
Cho tập hợp A gồm n phần tử (n ℕ*).
Mỗi kết quả của sự sắp xếp thứ tự n phần tử của tập hợp A được gọi là một hoán vị của n phần tử đó.
Kí hiệu Pn là số các hoán vị của n phần tử. Ta có: Pn = n(n – 1)…2.1.
Quy ước: Tích 1.2…n được viết là n! (đọc là n giai thừa), tức là n! = 1.2…n.
Như vậy Pn = n!.
Chú ý:
+ Có n! cách xếp n người vào n ghế xếp thành một dãy.
+ Có (n – 1)! Cách xếp n người vào n ghế xếp quanh một bàn tròn nếu không có sự phân biệt giữa các ghế.
2. Ví dụ minh họa tính số hoán vị
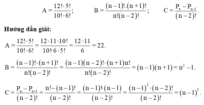
Ví dụ 1. Rút gọn:
Ví dụ 2. Hỏi có bao nhiêu cách sắp xếp 5 bạn nam và 5 bạn nữ vào 1 hàng dọc theo 1 thứ tự bắt kỳ?
Hướng dẫn giải:
Số cách sắp xếp 5 bạn nam và 5 bạn nữ vào 1 hàng dọc theo 1 thứ tự bắt kỳ có 10! cách.
Ví dụ 3. Có 3 cuốn sách Toán, 4 cuốn sách Ngữ văn, 5 cuốn sách Ngoại ngữ. Hỏi có bao nhiêu cách sắp xếp các cuốn sách trên vào giá sách nếu:
a) Sắp xếp tùy ý?
b) Các cuốn sách cùng môn học đứng cạnh nhau?
Hướng dẫn giải:
a) Có tất cả 12 cuốn sách nên có 12! cách sắp xếp các cuốn sách trên vào giá sách.
b) Ta phân giá sách làm 3 khu để 3 loại sách Toán; Ngữ văn; Ngoại ngữ có tất cả 3! cách phân như vậy.
Có 3! cách sắp xếp 3 cuốn sách Toán vào khu đã được phân.
Có 4! cách sắp xếp 4 cuốn sách Ngữ văn vào khu đã được phân.
Có 5! cách sắp xếp 5 cuốn sách Ngoại ngữ vào khu đã được phân.
Vậy có tất cả 3!.3!.4!.5! = 103 680 cách sắp xếp các cuốn sách cùng môn học đứng cạnh nhau trên giá.
Ví dụ 4. Cho các số tự nhiên: 0, 1, 2, 3, 4.
a) Hỏi lập được bao nhiêu số tự nhiên có 5 chữ số khác nhau?
b) Hỏi lập được bao nhiêu số tự nhiên có 5 chữ số và chữ số 3 đứng ở chính giữa?
Hướng dẫn giải:
a) Mỗi số có 5 chữ số khác nhau được thành lập từ các số trên là một hoán vị của {0; 1; 2; 3; 4}.
Các số có dạng mà a; b; c; d khác nhau là một hoán vị của các số {1; 2; 3; 4}.
Nên 5 có tất cả 5! – 4! = 96 số có 5 chữ số khác nhau được thành lập từ các số trên.
b) Tương tự phần a; các số có dạng bằng với số hoán vị của 4 số {0; 1; 2; 4}.
Các số có dạng bằng số hoán vị của 3 số {l; 2; 4}.
Nên có tất cả 4! – 3! = 18 số có 5 chữ số khác nhau có số 3 đứng giữa được thành lập từ các số trên.
Ví dụ 5. Bao nhiêu cách sắp xếp 7 bạn A, B, C, D, E, F, G vào 1 hàng sao cho:
a) A đứng chính giữa?
b) A, B ngồi đứng 2 đầu dãy?
Hướng dẫn giải:
Vì bạn A đứng chính giữa và 6 bạn còn lại sắp xếp tùy ý nên có 6! cách sắp xếp một hàng.
Vì bạn A; B đứng 2 đầu dãy nên A; B có 2 cách chọn vị trí đứng.
5 bạn còn lại có 5! cách sắp xếp.
Vậy có tất cả 2.5! cách sắp xếp 7 bạn thành 1 hàng sao cho A, B đứng 2 đầu dãy.
Ví dụ 6. Có bao nhiêu cách sắp xếp 10 viên bi đỏ và 10 viên bi xanh vào 1 hàng sao không có 2 viên bi nào cùng màu đứng gần nhau?
Hướng dẫn giải:
Ta đánh số vị trí của hàng bằng các số 1 đến 20. Vì các viên bi cùng màu không đứng gần nhau nên các viên bi cùng màu được đánh số cùng chẵn hoặc cùng lẻ.
Cách sắp xếp 10 viên bi đỏ vào 10 vị trí cùng chẵn hoặc cùng lẻ có 10! cách.
Cách sắp xếp 10 viên bi xanh vào 10 vị trí cùng chẵn hoặc cùng lẻ có 10! cách.
Vậy có tất cả 2.10!.10! cách sắp xếp 10 viên bi đỏ và 10 viên bi xanh vào 1 hàng sao cho không có 2 viên bi nào cùng màu đứng gần nhau.
Ví dụ 7. Tính số các số tự nhiên đôi một khác nhau có 6 chữ số tạo thành từ các chữ số 0, 1, 2, 3, 4, 5 sao cho 2 chữ số 3 và 4 đứng cạnh nhau.
Hướng dẫn giải:
Xét số có 5 chữ số gồm 0, 1, 2, 5 và chữ số “kép” là (3, 4).
+ Loại 1: chữ số hàng trăm ngàn có thể là 0.
– Bước 1: sắp 5 chữ số vào 5 vị trí có 5! = 120 cách.
– Bước 2: với mỗi cách sắp chữ số kép có 2 hoán vị chữ số 3 và 4.
Suy ra có 120.2 = 240 số.
+ Loại 2: chữ số hàng trăm ngàn là 0.
– Bước 1: sắp 4 chữ số vào 4 vị trí còn lại có 4! = 24 cách.
– Bước 2: với mỗi cách sắp chữ số kép có 2 hoán vị chữ số 3 và 4.
Suy ra có 24.2 = 48 số. Vậy có 240 – 48 = 192 số.
Ví dụ 8.
a) Hỏi có bao nhiêu cách xếp 6 cặp vợ chồng ngồi xung quanh một chiếc bàn tròn, sao cho nam và nữ ngồi xen kẽ nhau?
b) Hỏi có bao nhiêu cách xếp 6 cặp vợ chồng ngồi xung quanh một chiếc bàn tròn, sao cho mỗi bà đều ngồi cạnh chồng của mình?
Hướng dẫn giải:
a) Ta tiến hành xếp chỗ ngồi theo hai công đoạn.
Bước 1. Xếp 6 nam ngồi quanh bàn tròn, có (6 – 1)! = 5! cách xếp.
Bước 2. Ta xem 6 người nam vừa xếp là 6 vách ngăn, vì 6 người nam ngồi quanh bàn tròn nên có 6 khoảng trống để xếp 6 người nữ, vậy có 6! cách xếp.
Theo quy tắc nhân có 5!.6! = 86 400 cách.
b) Ta tiến hành xếp chỗ ngồi theo hai công đoạn.
Bước 1. Xếp 6 người chồng ngồi quanh bàn tròn, có (6 – 1)! = 5! cách xếp (vì vợ ngồi gần chồng).
Bước 2. Mỗi cặp vợ chồng đổi chỗ cho nhau có 1 cách xếp mới, vậy có 26 cách.
Theo quy tắc nhân có 5!.26 = 7 680 cách.
3. Bài tập tự luyện tính số hoán vị
Bài 1. Có bao nhiêu các sắp xếp 10 bạn học sinh thành một hàng ngang?
Bài 2. Ban chấp hành chi đoàn lớp 11D có bạn An, Bình, Công. Hỏi có bao nhiêu cách phân công các bạn này vào các chức vụ Bí thư, phó Bí thư và Ủy viên mà không bạn nào kiêm nhiệm?
Bài 3. Tính số cách sắp xếp 6 nam sinh và 4 nữ sinh vào một dãy ghế hàng ngang có chỗ ngồi sao cho các nữ sinh luôn ngồi cạnh nhau.
Bài 4. Có 6 học sinh và 2 thầy giáo được xếp thành hàng ngang. Hỏi có bao nhiêu cách xếp sao cho hai thầy giáo không đứng cạnh nhau?
Bài 5. Từ các số 1, 2, 3, 4, 5 có thể lập được bao nhiêu số tự nhiên có 5 chữ số khác nhau đôi một?
Bài 6. Cho các chữ số 0, 1, 2, 3, 4, 5. Từ các chữ số đã cho lập được bao nhiêu số tự nhiên chẵn có 4 chữ số và các chữ số đôi một bất kỳ khác nhau?
Bài 7. Từ các chữ số 0, 2, 3, 5, 6, 8 có thể lập được bao nhiêu số tự nhiên gồm 6 chữ số đôi một khác nhau trong đó hai chữ số 0 và 5 không đứng cạnh nhau?
Bài 8. Một nhóm học sinh gồm 4 học sinh nam và 5 học sinh nữ. Hỏi có bao nhiêu cách sắp xếp 9 học sinh trên thành 1 hàng dọc sao cho nam nữ đứng xen kẽ?
Bài 9. Cho hai dãy ghế được xếp như sau:
|
Dãy 1 |
Ghế số 1 |
Ghế số 2 |
Ghế số 3 |
Ghế số 4 |
|
Dãy 2 |
Ghế số 1 |
Ghế số 2 |
Ghế số 3 |
Ghế số 4 |
Xếp 4 bạn nam và 4 bạn nữ vào hai dãy ghế trên. Hai người được gọi là ngồi đối diện nhau nếu ngồi ở hai dãy và có cùng vị trí ghế (số ở ghế). Có bao nhiêu cách xếp để mỗi bạn nam ngồi đối diện với một bạn nữ?
Xem thêm các bài viết về công thức Toán hay, chi tiết khác:
- Quy tắc cộng
- Quy tắc nhân
- Công thức tính số chỉnh hợp
- Công thức tính số tổ hợp
- Công thức khai triển nhị thức Newton
Tủ sách VIETJACK shopee lớp 6-8 (2025):
Đã có app VietJack trên điện thoại, giải bài tập SGK, SBT Soạn văn, Văn mẫu, Thi online, Bài giảng....miễn phí. Tải ngay ứng dụng trên Android và iOS.
Theo dõi chúng tôi miễn phí trên mạng xã hội facebook và youtube:Loạt bài 500 Công thức, Định Lí, Định nghĩa Toán, Vật Lí, Hóa học, Sinh học được biên soạn bám sát nội dung chương trình học các cấp.
Nếu thấy hay, hãy động viên và chia sẻ nhé! Các bình luận không phù hợp với nội quy bình luận trang web sẽ bị cấm bình luận vĩnh viễn.
- Đề thi lớp 1 (các môn học)
- Đề thi lớp 2 (các môn học)
- Đề thi lớp 3 (các môn học)
- Đề thi lớp 4 (các môn học)
- Đề thi lớp 5 (các môn học)
- Đề thi lớp 6 (các môn học)
- Đề thi lớp 7 (các môn học)
- Đề thi lớp 8 (các môn học)
- Đề thi lớp 9 (các môn học)
- Đề thi lớp 10 (các môn học)
- Đề thi lớp 11 (các môn học)
- Đề thi lớp 12 (các môn học)
- Giáo án lớp 1 (các môn học)
- Giáo án lớp 2 (các môn học)
- Giáo án lớp 3 (các môn học)
- Giáo án lớp 4 (các môn học)
- Giáo án lớp 5 (các môn học)
- Giáo án lớp 6 (các môn học)
- Giáo án lớp 7 (các môn học)
- Giáo án lớp 8 (các môn học)
- Giáo án lớp 9 (các môn học)
- Giáo án lớp 10 (các môn học)
- Giáo án lớp 11 (các môn học)
- Giáo án lớp 12 (các môn học)


Giải bài tập SGK & SBT
Tài liệu giáo viên
Sách
Khóa học
Thi online
Hỏi đáp

