Công thức Toán 11 Quan hệ song song và quan hệ vuông góc (sách mới)
Tổng hợp công thức Toán 11 Quan hệ song song và quan hệ vuông góc sách mới Kết nối tri thức, Chân trời sáng tạo, Cánh diều như là cuốn sổ tay công thức giúp học sinh lớp 11 nắm vững kiến thức trọng tâm Toán 11 Quan hệ song song và quan hệ vuông góc.
Công thức Toán 11 Quan hệ song song và quan hệ vuông góc (sách mới)
Xem thêm tổng hợp công thức Toán lớp 11 đầy đủ và chi tiết khác:
- Công thức Giới hạn. Hàm số liên tục
- Công thức Toán 11 Hàm số mũ và hàm số lôgarit
- Công thức Toán 11 Đạo hàm
- Công thức Toán 11 Thống kê & Xác suất
- Công thức Toán 11 Hàm số lượng giác và phương trình lượng giác
- Công thức Toán 11 Dãy số - Cấp số cộng và cấp số nhân
Lưu trữ: Công thức Toán 11 Chương 2 Hình học (sách cũ)
1. Vị trí tương đối giữa đường thẳng và mặt phẳng
2. Vị trí tương đối giữa hai mặt phẳng
3. Vị trí tương đối giữa hai đường thẳng
4. Cách xác định giao tuyến giữa hai mặt phẳng
Cách 1: Tìm hai điểm chung của hai mặt phẳng.
Chú ý: Để tìm điểm chung của hai mặt phẳng ta thường tìm hai đường thẳng đồng phẳng lần lượt nằm trong hai mặt phẳng. Giao điểm, nếu có, của hai đường thẳng này chính là điểm chung cần tìm
Cách 2: Tìm một điểm chung của hai mặt phẳng và phương giao tuyến (tức tìm trong hai mặt phẳng hai đường thẳng song song với nhau).
5. Cách xác định giao điểm giữa đường thẳng và mặt phẳng
Để tìm giao điểm của d và (α) , ta tìm trong (α) một đường thẳng a cắt d tại M . Khi đó: M = d ∩ (α) .
Chú ý: Nếu a chưa có sẵn thì ta chọn (β) qua d và lấy a = (α) ∩ (β).
6. Thiết diện
Thiết diện của mặt phẳng (α) với hình chóp là đa giác giới hạn bởi các giao tuyến của (α) với các mặt của hình chóp. Như vậy, để tìm thiết diện ta lần lượt đi tìm giao tuyến của (α) với các mặt của hình chóp.
7. Chứng minh đường thẳng song song đường thẳng
Cách 1: Chứng minh hai đường thẳng đồng phẳng rồi áp dụng phương pháp chứng minh song song trong hình học phẳng (đường trung bình; định lí Tales…)
Cách 2: Hai đường thẳng phân biệt cùng song song với đường thẳng thứ ba thì song song với nhau.
Cách 3: Hai mặt phẳng cắt nhau theo giao tuyến và lần lượt chứa hai đường thẳng song song thì giao tuyến của nó sẽ có 3 trường hợp:
Như vậy, trong trường hợp này ta chỉ cần chỉ ra d không trùng với a hoặc b thì sẽ suy ra được hoặc
.
Cách 4: Hai mặt phẳng cắt nhau theo giao tuyến , đường thẳng nằm trong và song song với mặt phẳng còn lại thì sẽ song song với giao tuyến.
Cách 5: Hai mặt phẳng cắt nhau theo giao tuyến d , đường thẳng a song song với cả hai mặt phẳng thì sẽ song song với giao tuyến.
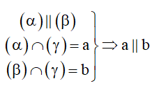
Cách 6: Hai mặt phẳng song song bị cắt bởi mặt phẳng thứ 3 thì hai giao tuyến đó song song.
Cách 7: Ba mặt phẳng cắt nhau theo 3 giao tuyến phân biệt, thì 3 giao tuyến ấy song song hoặc đồng quy.
Như vậy, ta chỉ cần chứng minh a;b;c không đồng quy thì sẽ suy ra được .
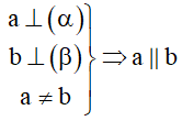
Cách 8: Hai đường thẳng phân biệt cùng vuông góc với một mặt phẳng thì song song với nhau.
8. Chứng minh đường thẳng song song với mặt phẳng
Cách 1: Chứng minh đường thẳng d không nằm trong (α) và song song với đường thẳng a nằm trong (α) .
Cách 2: Hai mặt phẳng song song với nhau, mọi đường thẳng nằm trong mặt này sẽ song song với mặt kia.
9. Chứng minh hai mặt phẳng song song
Cách 1: Chứng minh trong mặt phẳng thứ nhất chứa hai đường thẳng cắt nhau và song song mặt phẳng thứ hai, khi đó hai mặt phẳng song song với nhau.
Cách 2: Hai mặt phẳng phân biệt cùng vuông góc với một đường thẳng thì song song với nhau.
Tủ sách VIETJACK shopee lớp 6-8 (2025):
Đã có app VietJack trên điện thoại, giải bài tập SGK, SBT Soạn văn, Văn mẫu, Thi online, Bài giảng....miễn phí. Tải ngay ứng dụng trên Android và iOS.
Theo dõi chúng tôi miễn phí trên mạng xã hội facebook và youtube:Loạt bài 500 Công thức, Định Lí, Định nghĩa Toán, Vật Lí, Hóa học, Sinh học được biên soạn bám sát nội dung chương trình học các cấp.
Nếu thấy hay, hãy động viên và chia sẻ nhé! Các bình luận không phù hợp với nội quy bình luận trang web sẽ bị cấm bình luận vĩnh viễn.
- Đề thi lớp 1 (các môn học)
- Đề thi lớp 2 (các môn học)
- Đề thi lớp 3 (các môn học)
- Đề thi lớp 4 (các môn học)
- Đề thi lớp 5 (các môn học)
- Đề thi lớp 6 (các môn học)
- Đề thi lớp 7 (các môn học)
- Đề thi lớp 8 (các môn học)
- Đề thi lớp 9 (các môn học)
- Đề thi lớp 10 (các môn học)
- Đề thi lớp 11 (các môn học)
- Đề thi lớp 12 (các môn học)
- Giáo án lớp 1 (các môn học)
- Giáo án lớp 2 (các môn học)
- Giáo án lớp 3 (các môn học)
- Giáo án lớp 4 (các môn học)
- Giáo án lớp 5 (các môn học)
- Giáo án lớp 6 (các môn học)
- Giáo án lớp 7 (các môn học)
- Giáo án lớp 8 (các môn học)
- Giáo án lớp 9 (các môn học)
- Giáo án lớp 10 (các môn học)
- Giáo án lớp 11 (các môn học)
- Giáo án lớp 12 (các môn học)


Giải bài tập SGK & SBT
Tài liệu giáo viên
Sách
Khóa học
Thi online
Hỏi đáp

